1. Widerspricht die Anforderung einer Glücksspielabgabe von der Bf., die an den Kartenpokerspielverträgen der Spieler nicht beteiligt sei, dem Verfassungs- und Unionsrecht (Beihilfenverbot und Dienstleistungsfreiheit)? 2. Ist die Bf. als Veranstalterin von gewerblichem Kartenpokerspiel von ihrer finanziellen Belastung her gegenüber der Spielbankkonzessionärin im Nachteil? 3. Kann aus der Doppelbesteuerungsvermeidungsvorschrift gemäß § 57 Abs. 6 Z 1 GSpG eine Ungleichbehandlung der Bf. gegenüber der Spielbankenkonzessionärin abgeleitet werden? 4. Können Spielerschutzerwägungen eine verbotene Beihilfe wie § 57 Abs. 6 Z 1 GSpG aufwiegen, wenn die Spielbankkonzessionärin gleichzeitig massive Werbemaßnahmen durchführt?
European Case Law Identifier: ECLI:AT:BFG:2019:RV.7105897.2015
Beachte:
Revision beim VwGH anhängig zur Zahl Ra 2020/17/0009. Zurückweisung mit Beschluss vom 1.6.2023.
Entscheidungstext
IM NAMEN DER REPUBLIK
Das Bundesfinanzgericht hat durch die Vorsitzende Mag.DDr. Hedwig Bavenek-Weber (Berichterstatterin) und die weiteren Senatsmitglieder Richterin Mag.Dr. Birgitt Koran gemäß § 12 Abs. 5 BFGG, Frau Mag. Gertraud Lunzer und Herrn KR Christian Gerzabek in der Beschwerdesache des ****Bf.+ADRESSE**** vertreten durch Cerha Hempel Spiegelfeld Hlawati, Rechtsanwälte GmbH, Parkring 2, 1010 Wien
1. gegen 15 Bescheide gemäß § 201 BAO vom 20. November 2014, mit welchen die Glücksspielabgabe gemäß § 57 Abs. 1 GSpG für die Monate Februar bis Dezember 2012 und Jänner bis Juli 2013 festgesetzt wurde (RV/7105897/2015 RV/7105898/2015 RV/7105899/2015 RV/7105900/2015 RV/7105901/2015 RV/7105902/2015 RV/7105903/2015 RV/7105904/2015 RV/7105905/2015 RV/7105906/2015 RV/7105907/2015 RV/7105908/2015 RV/7105909/2015 RV/7105910/2015 RV/7105911/2015),
2. gegen 3 Bescheide vom 20. November 2014, mit welchen der Antrag auf Festsetzung der Glücksspielabgaben gemäß § 57 Abs. 1 GSpG für die Monate Mai bis Juli 2013 abgewiesen wurde (RV/7105912/2015 RV/7105913/2015 RV/7105914/2015),
3. gegen 17 Bescheide gemäß § 201 BAO vom 30. November 2016, mit welchen die Glücksspielabgabe gemäß § 57 Abs. 1 GSpG für die Monate August, September, November 2013 (RV/7102863/2017 RV/7102871/2017 RV/7102872/2017), für die Monate April, September, Oktober, November, Dezember 2014 (RV/7102867/2017, RV/7102881/2017, RV/7102882/2017, RV/7102883/2017, RV/7102884/2017), für die Monate Jänner, Februar, März, April, Juni, Juli, August, Oktober und November 2015 (RV/7102888/2017, RV/7102890/2017, RV/7102891/2017, RV/7102892/2017, RV/7102893/2017, RV/7102894/2017, RV/7102895/2017, RV/7102896/2017, RV/7102897/2017, RV/7102898/2017, RV/7102899/2017) festgesetzt wurde und
4. gegen 12 Bescheide vom 30. November 2016, mit welchen der Antrag auf Festsetzung der Glücksspielabgaben gemäß § 57 Abs. 1 GSpG für die Monate Oktober, Dezember 2013 und Jänner, Februar 2014 (RV/7102864/2017, RV/7102873/2017, RV/7102874/2017, RV/7102875/2017), für die Monate März, Mai, Juni, Juli, August 2014 (RV/7102866/2017, RV/7102877/2017, RV/7102878/2017, RV/7102879/2017, RV/7102880/2017), für die Monate Mai, September und Dezember 2015 (RV/7102889/2017) abgewiesen wurde,
alle des Finanzamtes für Gebühren, Verkehrsteuern und Glücksspiel StNr. ****x1****, in der Sitzung am 26. August 2019 nach Durchführung der mündlichen Verhandlung zu Recht erkannt:
Die Beschwerden werden gemäß § 279 BAO als unbegründet abgewiesen.
Die Bescheide bleiben aufrecht.
Es wird kein Normprüfungsantrag gestellt.
Es wird kein Ersuchen um Vorabentscheidung an den EuGH gerichtet.
Die Beweisanträge vom 26. August 2019 (Sachverständigenbestellung zur Glücksspielabgabe und Erhebung der Zusatzkosten der Spielbankkonzessionärin im glücksspielgesetzlichen Bereich) werden abgelehnt.
Gegen dieses Erkenntnis ist eine Revision an den Verwaltungsgerichtshof nach Art. 133 Abs. 4 Bundes-Verfassungsgesetz (B-VG) nicht zulässig.
Entscheidungsgründe
Strittige Punkte
Nach Ansicht der Bf. kommt Poker die Glücksspieleigenschaft iSd § 1 GSpG weder nach der alten noch nach der neuen Rechtslage zu, weswegen mangels einer "Ausspielung" keine Glücksspielabgabenpflicht gemäß § 57 GSpG ausgelöst werden könne. Aus den Übergangsbestimmungen ergäbe sich, dass gewerberechtliche Pokersalons bis zum Auslaufen rechtmäßig betrieben werden dürfen, weshalb keine Glücksspielabgabe anfalle. Überdies widerspräche die Anforderung einer Glücksspielabgabe von der Bf., die an den Spielverträgen der Spieler nicht beteiligt sei, dem Verfassungs- und Unionsrecht. Die Bf. als Veranstalterin von gewerblichem Kartenpokerspiel sei von ihrer finanziellen Belastung her gegenüber der Spielbankkonzessionärin im Nachteil und aus § 57 Abs. 6 Z 1 GSpG könne eine Ungleichbehandlung der Bf. gegenüber der Spielbankenkonzessionärin abgeleitet werden. Es stelle sich die Frage, ob Spielerschutzerwägungen eine verbotene Beihilfe wie § 57 Abs. 6 Z 1 GSpG aufwiegen können, wenn die Spielbankkonzessionärin gleichzeitig massive Werbemaßnahmen durchführt.
Überblick:
1. Kurzdarstellung des Verfahrens
2. Detaillierte Darstellung des Verfahrens
2.1. Zeiträume 2-12/2012 und 1-7/2013
2.2. Zeiträume 8-12/2013, 1-12/2014 und 1-12/2015
3. Verfahrensverbindung vor dem Bundesfinanzgericht
4. Beweisverfahren
4.1. Beweiserhebungen durch das Bundesfinanzgericht
4.2. Einsicht in das Firmenbuch
4.3. Vorbereitungsvorhalt
4.4. Mündliche Verhandlung vor dem Senat
5. Gesetzliche Grundlagen
6. Zur Person der Bf.
7. Neueste Rechtsprechung des Verwaltungsgerichtshofes zur Glücksspielabgabenpflicht des Kartenpokerspiels
7.1. Der Kartenpokerspielvertrag im Grundtatbestand des § 57 Abs. 1 GSpG
7.2. Die Aufnahme von "Poker" in § 1 Abs. 2 GSpG diente lediglich der Klarstellung, Poker war bereits vor der GSpG-Novelle 2010 gebührenpflichtig
7.3. Für Poker fallen auch im Zeitraum August 2013 bis Februar 2014, in dem das Wort "Poker" in § 1 Abs. 2 GSpG durch VfGH 27.6.2013, G 26/2013 aufgehoben gewesen war, Glücksspielabgaben an, weil bereits vor Aufnahme des Wortes "Poker" in die demonstrative Aufzählung des § 1 Abs. 2 GSpG Poker als Glücksspiel qualifiziert wurde
8. Aus den Glücksspielabgaben ergibt sich keine Unionsrechtswidrigkeit des Glücksspielmonopols
8.1. Unionsrechtliches Vorbringen der Bf. zum Beihilfenverbot: Spielerschutzerwägungen würden eine verbotene Beihilfe nicht aufwiegen, wenn die Konzessionärin gleichzeitig massive Werbemaßnahmen für Glücksspiel durchführt.
8.2. Einteilung des Glücksspielgesetzes in einen ordnungspolitischen und abgabenrechtlichen Teil
8.3. Unionsrechtliche Vorgaben für das Glücksspielmonopol
8.4. Kein grenzüberschreitender Sachverhalt
8.5. Zum Einwand der Verfassungswidrigkeit der Glücksspielabgabe gemäß § 57 GSpG aus Sicht des abgabenrechtlichen Teils des Glücksspielgesetzes
8.5.1. Mittelbare Verbindung der Glücksspielabgaben durch § 57 Abs. 2 letzter Satz GSpG, § 57 Abs. 4 GSpG und § 57 Abs. 6 GSpG zum ordnungspolitischen Teil (Präjudizialität)
8.5.2. 1. Schritt: Die Rechtsentwicklung der Glücksspielbesteuerung und deren Implementierung in das Glücksspielgesetz mit besonderer Berücksichtigung des Kartenpokerspiels aus Sicht der Gebühren und Verkehrsteuern
8.5.2.1. Rechtsentwicklung der Glücksspielabgaben bis 1960
8.5.2.2. Rechtsentwicklung der Konzessions- und Spielbankabgabe
8.5.2.3. Besteuerung des Kartenpokerspiels außerhalb des konzessionierten Bereiches mit Rechtsgeschäftsgebühren ab BGBl. 1993/965
8.5.2.4. Judikatur und Schrifttum zum ordnungspolitischen Teil von 1997 bis 2010
8.5.2.5. Die Glücksspielgesetznovellen 2010
8.5.2.6. Namentliche Aufzählung von Poker in §1 Abs. 2 GSpG, gewerbliche Pokerspielsalons und Spielbank in Form eines Pokersalons gemäß § 22 GSpG
8.5.2.7. Glücksspielabgaben als Nachfolger der Rechtsgeschäftsgebühren gemäß § 33 TP 17 Abs. 1 Z 7 GebG/Verhältnis zur Spielbankabgabe
8.5.2.8. Zusammenhang zwischen Steuern und Glücksspiel&Spielerschutz über § 1 Abs. 4 GSpG und § 25 Abs. 3 GSpG
8.5.2.8.1. Finanzierungsbeitrag/Stabsstelle für Spielerschutz- Fachtagungen
8.5.2.8.2. Steuerliche "Korrekturmechanismen" bei Schadenersatz gemäß § 25 Abs. 3 GSpG oder Anfechtung von konzessionslos angebotenen Glücksspielverträgen?
8.5.2.9. Gesetzgebung, Judikatur und Schrifttum zum ordnungspolitischen Teil ab 2010
8.5.2.9.1. Glücksspiel Bericht 2010-2013 des BMF
8.5.2.9.2. Anfragen und Anfragebeantwortungen auf der Homepage des Parlamentes
8.5.2.9.3. VwGH 16.3.2016, 2015/17/0022, OGH 27.11.2013, 2 Ob 243/12t und VfGH 15.10.2016, E 945/2016ua
8.5.2.9.4. Glücksspielbericht 2014-2016 des BMF und weitere gesetzliche Änderungen
8.5.2.9. Bestätigung der Unionsrechtskonformität des Glücksspielmonopols durch das Erkenntnis VwGH 11.7.2018, Ra 2018/17/0048
8.5.2.10. VwGH 24.04.2019, Ra 2017/17/0962 zur Werbung der Konzessionäre
8.5.2.11. Übergang zum 2. Schritt
8.5.3. 2. Schritt: wie sich eine Verfassungswidrigkeit infolge Unionsrechtswidrigkeit auf die Glücksspielabgaben auswirken würde, mit spezieller Untersuchung der Kosten, die dem Spielbankkonzessionär anfallen, gegenüber den Kosten der Bf. als Veranstalterin gewerblicher Pokerspiele
8.5.3.1. Die Glücksspielabgaben knüpfen an ordnungspolitische Definitionen an, ohne dadurch den Charakter von Rechtsverkehrsteuern zu verlieren
8.5.3.2. Verhältnis der Konzessions- und Spielbankabgabe und Glücksspielabgaben zu den Rechtsverkehrsteuern
8.5.3.3. Der Nichtkonzessionär ist glücksspielabgabenrechtlich gegenüber dem Konzessionär nicht benachteiligt
8.5.3.4. Erwägungen zum Vorbringen der Bf., dass die Glücksspielabgabe letztlich zwingend zur Insolvenz des Unternehmens führt
8.5.3.4.1. Urteil des EuGH in der Rechtssache Berlington Hungary (EuGH 11.6.2015, C-98/14 Berlington Hungary Tanacsado es Szolgaltato kft ua).
8.5.3.4.2. Bezug der Entscheidungen des Europäischen Gerichtshofes für Menschenrechte (EGMR 14.5.2013, 66529/11 N.K.M. v. Hungary ua.) zu den Glücksspielabgaben
8.5.4. Keine unterschiedliche Besteuerung von Poker im Lebendspiel und von Onlinepoker, da § 57 Abs. 1 GSpG die Grundnorm der Glücksspielbesteuerung ist
8.5.5. Glücksspielabgaben fallen trotz Gewerbeberechtigung für "Pokerspieler im Lebendspiel ohne Bankhalter" an
8.6. Die Beschlüsse des Verfassungsgerichtshofes zu den Rechtsgeschäftsgebühren und Glücksspielabgaben
8.7. Ergebnis der Untersuchung
9. Ablehnung von zwei Beweisanträgen, die anlässlich der mündlichen Verhandlung vor dem Senat gestellt wurden
10. Thesenartige Zusammenfassung des Ergebnisses
11. Schlussfolgerungen
12. Unzulässigkeit der Revision
1. Kurzdarstellung des Verfahrens
Bemerkt wird, dass bezüglich der Rechtsverkehrsbesteuerung des Kartenpokerspiels der Bf. zu den Zeiträumen 20. Juli 2010 bis 31. Jänner 2012 das Erkenntnis BFG 26.4.2019, RV/7102176/2012 erging.
Die Bf. betreibt in den streitgegenständlichen Zeiträumen 1. Februar 2012 bis 31. Dezember 2015 am Standort ****STANDORT**** 36 ein Kartencasino, in dem sie als Veranstalter interessierten Personen die Möglichkeit bietet, zusammen mit anderen Besuchern organisierte Kartenspiele mit Geldeinsätzen an ca. 50 Pokertischen zu spielen. Es wird vorwiegend Poker in unterschiedlichen Spielvarianten (Texas Hold'Em, Omaha und 7 Card Stud) in Form von Cashgames und Turnieren angeboten. Die Bf. selbst beteiligt sich nicht an diesen Spielen und tritt nicht als Bankhalter auf. Die Bf. ist seit 23. Oktober 2008 im Firmenbuch des Handelsregisters Wien eingetragen (FN ****x2****). und hat eine Gewerbeberechtigung "Halten von erlaubten Kartenspielen, bei denen der Spielerfolg nicht ausschließlich oder überwiegend vom Zufall abhängig ist, ohne Bankhalter." Das Gewerbe wurde am 10. Februar 2010 dem Magistrat der ****STADT**** gemeldet.
Verfahren zu 1. gegen 15 Bescheide gemäß § 201 BAO vom 20. November 2014, mit welchen die Glücksspielabgabe gemäß § 57 Abs. 1 GSpG für die Monate Februar bis Dezember 2012 und Jänner bis April 2013 festgesetzt wurde
(RV/7105897/2015 RV/7105898/2015 RV/7105899/2015 RV/7105900/2015 RV/7105901/2015 RV/7105902/2015 RV/7105903/2015 RV/7105904/2015 RV/7105905/2015 RV/7105906/2015 RV/7105907/2015 RV/7105908/2015 RV/7105909/2015 RV/7105910/2015 RV/7105911/2015),
Verfahren zu 2. gegen 3 Bescheide vom 20. November 2014, mit welchen der Antrag auf Festsetzung der Glücksspielabgaben gemäß § 57 Abs. 1 GSpG für die Monate Mai bis Juli 2013 abgewiesen wurde (RV/7105912/2015 RV/7105913/2015 RV/7105914/2015),
Verfahren zu 3. gegen 17 Bescheide gemäß § 201 BAO vom 30. November 2016, mit welchen die Glücksspielabgabe gemäß § 57 Abs. 1 GSpG für die Monate August, September, November 2013 (RV/7102863/2017 RV/7102871/2017 RV/7102872/2017), für die Monate April, September, Oktober, November, Dezember 2014 (RV/7102867/2017, RV/7102881/2017, RV/7102882/2017, RV/7102883/2017, RV/7102884/2017), für die Monate Jänner, Februar, März, April, Juni, Juli, August, Oktober und November 2015 (RV/7102888/2017, RV/7102890/2017, RV/7102891/2017, RV/7102892/2017, RV/7102893/2017, RV/7102894/2017, RV/7102895/2017, RV/7102896/2017, RV/7102897/2017, RV/7102898/2017, RV/7102899/2017) festgesetzt wurde und
Verfahren zu 4. gegen 12 Bescheide vom 30. November 2016, mit welchen der Antrag auf Festsetzung der Glücksspielabgaben gemäß § 57 Abs. 1 GSpG für die Monate Oktober, Dezember 2013 und Jänner, Februar 2014 (RV/7102864/2017, RV/7102873/2017, RV/7102874/2017, RV/7102875/2017), für die Monate März, Mai, Juni, Juli, August 2014 (RV/7102866/2017, RV/7102877/2017, RV/7102878/2017, RV/7102879/2017, RV/7102880/2017), für die Monate Mai, September und Dezember 2015 (RV/7102889/2017) abgewiesen wurde.
Mit Schreiben vom 12. März 2012 gab die Bf. eine Abgabenmeldung gemäß § 57 GSpG für Februar 2012 ab und legte zu den Pokerturnieren und Cashgames Aufstellungen bei. Dazu gab die Bf. an, dass sich die Bemessungsgrundlage der Glücksspielabgabe aus den Einsätzen der Spieler zusammensetze. Da für die Umsatz- bzw. Gewinnermittlung des Unternehmens die Einsätze der Spieler nicht relevant seien, seien auch keine Grund- und Hilfsaufzeichnungen vorhanden. Die Bemessungsgrundlagen für die Glücksspielabgaben seien daher aufgrund von bestehenden Erfahrungswerten geschätzt worden und zwar anhand des Tischgeldes (Rake), das aufgrund eigener und internationaler Erfahrungswerte 3,5% des Einsatzes der Spieler betrage. Es werde auch darauf hingewiesen, dass aufgrund der geltenden Übergangsbestimmungen der GSpG-Novelle 2008 § 57 GSpG idgF nicht anwendbar sei. Abschließend stellte die Bf. den Antrag, die Glücksspielabgaben gemäß § 201 BAO festzusetzen.
Die Bf. überreichte weitere Abgabenmeldungen gemäß § 57 GSpG für die Zeiträume März 2012, April 2012, Mai 2012, Juni 2012, Juli 2012, August 2012, September 2012, Oktober 2012, November 2012, Dezember 2012, Jänner 2013, Februar 2013, März 2013, April 2013, Mai 2013, Juni 2013 und Juli 2013, und stellte jeweils den Antrag, die Glücksspielabgaben gemäß § 201 BAO festzusetzen.
Über diese Zeiträume Februar 2012 bis Juli 2013 fanden drei Außenprüfungen durch das Finanzamt statt.
Die erste Überprüfung der Unterlagen umfasste die Zeiträume 1. Februar 2012 bis 31. Juli 2012 (****x3**** - Korrektur 21.124,20 Euro).
Die zweite Überprüfung der Unterlagen umfasste die Zeiträume 1. August 2012 bis 31. Jänner 2013 (****x4**** - Korrektur 40.760,49 Euro).
Die dritte Überprüfung der Unterlagen umfasste die Zeiträume 1. Februar 2013 bis 31. Juli 2013 (****x5**** - Korrektur 14.544,60 Euro).
Mit 15 Bescheiden gemäß § 201 Abs. 3 Z 1 BAO vom 20. November 2014 setzte das Finanzamt die Glücksspielabgaben gemäß § 57 Abs. 1 GSpG für die Monate Februar bis Dezember 2012 und Jänner bis April 2013 fest.
Mit 3 Bescheiden vom 20. November 2014 wies das Finanzamt die Anträge auf Festsetzung der Glücksspielabgaben gemäß § 57 Abs. 1 GSpG für die Monate Mai bis Juli 2013 gemäß § 201 BAO als unbegründet ab.
Fristgerecht wurden gegen die 18 Bescheide Beschwerden, datiert mit 10. Dezember 2014, Postaufgabe vom 19. Dezember 2014, eingebracht:
Die Bf. stellte die Anträge, den Beschwerden stattzugeben und die Glücksspielabgabe jeweils mit 0 festzusetzen. Beschwerdepunkte sind:
Es wäre die jeweilige Rechtslage zu berücksichtigen gewesen. Am 1.1.2010 sei Poker im Glücksspielgesetz nicht ausdrücklich genannt gewesen, weswegen ein Sachverständigengutachten einzuholen gewesen wäre, ob im Einzelfall ein Spiel vorgelegen hätte, bei dem Gewinn oder Verlust ausschließlich oder vorwiegend vom Zufall abhängig seien. Sei Poker kein Glücksspiel, könne auch keine Ausspielung vorliegen.
Poker in Turnierform sei kein Glücksspiel, das habe auch schon der UFS 24.7.2007, RV/0369-W/02 und RV/0036-W/02 erkannt.
Zu den meisten Pokervarianten gäbe es mittlerweile eine äußerst umfangreiche internationale und deutschsprachige Literatur, mit welcher sich auch der Verfassungsgerichtshof in VfGH 27.6.2013, G 26/2013 befasst habe.
Der Verfassungsgerichtshof habe mit Erkenntnis VfGH 27.6.2013, G 26/2013 das Wort Poker in § 1 Abs. 2 GSpG, § 22 GSpG, sowie in § 60 Abs. 24 GSpG aufgehoben, wodurch Poker vom Glücksspielbegriff des § 1 GSpG nicht mehr erfasst sei. Jede andere Interpretation sei nicht verfassungskonform.
Die Spieler würden lediglich untereinander spielen, weshalb der Bf. keine Einsätze zukommen und ihr daher auch nicht zugemutet werden könne, eine Steuer für die Einsätze zu entrichten. Die Bemessungsgrundlage bei den Cashgames seien die Einsätze, die auf Basis des Tischgeldes und Erfahrungswerten näherungsweise hochgerechnet wurden. Die Bemessungsgrundlage zu den Turnieren sei anhand der Turnieraufzeichnungen (Startkapital pro Spieler und Anzahl der Teilnehmer) berechnet worden, doch können alle diese Beträge tatsächlich nicht entrichtet werden.
Durch die Übergangsbestimmungen der GSpG-Novellen 2008 und 2010 sei der rechtmäßige Bestand von gewerblichen Pokersalons gemäß der Rechtslage vom 1.1.2010 anerkannt worden.
Die Bf. sei keine Steuerschuldnerin gemäß § 59 GSpG, weil sie weder Konzessionärin, noch Bewilligungsinhabern sei und ihr auch kein Berechtigungsverhältnis fehle, weil sie eine Gewerbeberechtigung iSd § 60 Abs. 24 GSpG besitze.
Das GSpG sei über die Befristung hinaus auf die Bf. nicht anzuwenden.
Mit Beschwerdevorentscheidungen vom 16. Juli 2015 wurden die Beschwerden betreffend Zeiträume 2-12/2012 und 1-7/2013 als unbegründet abgewiesen:
Fristgerecht wurden 18 Vorlageanträge, datiert mit 5. August 2015, Postaufgabe vom 12. August 2015, eingebracht.
Aus den §§ 57-59 GSpG werde deutlich, dass nur verbotene Ausspielungen der Glücksspielabgabe unterliegen sollten, erlaubte Ausspielungen, wie in Spielbanken iSd § 21 GSpG, würden nicht der Glücksspielabgabe unterliegen.
Auch, dass die Spielbankenkonzessionärin gemäß § 57 Abs. 6 GSpG nicht der Glücksspielabgabe unterliege, stelle einen Verstoß gegen den Gleichheitsgrundsatz dar.
Weiters äußerte die Bf. verfassungsrechtliche Bedenken wegen gleichheitswidriger, exzessiver Besteuerung und verwies dabei auf Entscheidungen des Europäischen Gerichtshofes für Menschenrechte (EGMR 14.5.2013, 66529/11 N.K.M. v. Hungary ua.).
Die Bf. stellte daher die Anregung, das Bundesfinanzgericht möge einen Antrag auf Aufhebung von § 57 GSpG oder § 57 Abs. 5 GSpG wegen Verfassungswidrigkeit an den Verfassungsgerichtshof richten und dem EuGH zur Vorabentscheidung vorlegen, ob § 57 Abs. 6 GSpG eine unionsrechtswidrige Beihilfe darstelle.
Weiters beantragte die Bf. eine mündliche Verhandlung durchzuführen.
Das Finanzamt legte die Beschwerden dem Bundesfinanzgericht vor und gab dazu noch eine umfangreiche Stellungnahme ab, die der Bf. auch zugestellt wurde.
Die Bf. überreichte weitere Abgabenmeldungen gemäß § 57 GSpG für die Zeiträume 8-12/2013, 1-12/2014 und 1-12/2015, und stellte jeweils den Antrag, die Glücksspielabgaben gemäß § 201 BAO festzusetzen.
Über diese Zeiträume August 2013 bis Dezember 2015 fanden drei Außenprüfungen durch das Finanzamt statt.
Die erste Überprüfung der Unterlagen umfasste die Zeiträume 1. August 2013 bis 28. Februar 2014 (****x6**** - Korrektur 542,88 Euro).
Die zweite Überprüfung der Unterlagen umfasste die Zeiträume 1. März 2014 bis 31. Dezember 2014 (****x7**** - Korrektur 16.409,47 Euro).
Die dritte Überprüfung der Unterlagen umfasste die Zeiträume 1. Jänner 2015 bis 31. Dezember 2015 (****x8**** - Korrektur 11.882,56 Euro).
Mit 17 Bescheiden gemäß § 201 Abs. 3 Z 1 BAO vom 30. November 2016, setzte das Finanzamt die Glücksspielabgaben gemäß § 57 Abs. 1 GSpG für die Monate August, September, November 2013 (RV/7102863/2017 RV/7102871/2017 RV/7102872/2017), für die Monate April, September, Oktober, November, Dezember 2014 (RV/7102867/2017, RV/7102881/2017, RV/7102882/2017, RV/7102883/2017, RV/7102884/2017), für die Monate Jänner, Februar, März, April, Juni, Juli, August, Oktober und November 2015 (RV/7102888/2017, RV/7102890/2017 RV/7102891/2017 RV/7102892/2017 RV/7102893/2017 RV/7102894/2017 RV/7102895/2017 RV/7102896/2017 RV/7102897/2017 RV/7102898/2017 RV/7102899/2017) fest.
Mit 12 Bescheiden vom 30. November 2016 wies das Finanzamt die Anträge auf Festsetzung der Glücksspielabgaben gemäß § 57 Abs. 1 GSpG für die Monate Oktober, Dezember 2013 und Jänner, Februar 2014 (RV/7102864/2017, RV/7102873/2017, RV/7102874/2017, RV/7102875/2017), für die Monate März, Mai, Juni, Juli, August 2014 (RV/7102866/2017, RV/7102877/2017 RV/7102878/2017 RV/7102879/2017 RV/7102880/2017), für die Monate Mai, September und Dezember 2015 (RV/7102889/2017) gemäß § 201 BAO als unbegründet ab.
Fristgerecht wurden 29 Beschwerden am 16. Dezember 2016 eingebracht.
Infolge Aufhebung des Wortes Poker in § 1 Abs. 2 GSpG durch VfGH 27.6.2013, G 26/2013 bestehe keine Abgabepflicht gemäß §§ 57 bis 59 GSpG. Für den vorliegenden Beschwerdefall sei diese Entscheidung insofern von Relevanz, als der Verfassungsgerichtshof damit aussprach, dass "Pokersalons" bis zum Auslaufen der Übergangsbestimmung rechtmäßig betrieben werden dürften.
Mit Beschwerdevorentscheidungen vom 20. März 2017 wurden die Beschwerden betreffend Zeiträume 8-12/2013, 1-12-/2014 und 1-12/2015 als unbegründet abgewiesen.
Fristgerecht wurden 29 Vorlageanträge in mehreren Schriftsätzen, datiert vom 31. März 2017, Postaufgabe vom 3. April 2017 eingebracht.
Ein Gutachten von Univ.Prof. Dr.Dr.h.c. ****NAME**** vom 7.1.2014 habe untermauert, dass infolge Aufhebung des Wortes Poker in § 1 Abs. 2 GSpG durch VfGH 27.6.2013, G 26/2013 keine Abgabepflicht gemäß §§ 57 bis 59 GSpG bestehe.
Verfassungsrechtliche Bedenken gegen § 57 GSpG würden sich aus der exzessiven Besteuerung ergeben, da die Bf. nur Tischgeld in Höhe von 3,5% des geleisteten Entgelts, das wären bei 104 Euro 3,64% verdiene. Die Glücksspielabgabe betrage aber 104 x 16% = 16,64 und damit das Fünffache des Tischgeldes.
Die Bf. habe unter Bezugnahme auf EuGH 11.6.2015, C-98/14 Berlington Hungary Tanacsado es Szolgaltato kft ua. auch unionsrechtliche Bedenken, ob § 57 GSpG gegen die Dienstleistungsfreiheit iSd Art. 56 AEUV verstoße.
Im Fall der Bf. sei das Kohärenzgebot nicht eingehalten, da durch § 31a GSpG mit BGBl. I 2010/73 die gesetzlichen Rahmenbedingungen für das Pokerangebot der Konzessionärin verbessert worden seien. Schließlich werde das Ziel des Spielerschutzes durch expansive Werbung der Konzessionäre konterkariert.
Argumentum ad absurdum - Der Vergleich mit Online-Poker ergäbe, dass Online-Poker günstiger besteuert werde, als Poker im Lebendspiel. Gemäß § 57 Abs. 2 GSpG sei für Online-Poker 40% des Tischgeldes als Abgabe zu entrichten. Daher werde Online-Poker - obwohl sein "Gefährdungspotential" sehr hoch eingeschätzt werde, - niedriger besteuert als Live-Poker.
Die Bf. stellte die Anregung, das Bundesfinanzgericht möge einen Antrag auf Aufhebung von § 2 Abs. 2, § 2 Abs. 4, § 3, § 52 Abs. 1 Z 1 und § 57 GSpG oder einzelner Bestimmungen sowie in eventu des Glücksspielgesetzes in seiner Gesamtheit wegen Verfassungswidrigkeit an den Verfassungsgerichtshof richten.
Die Bf. stellte die Anregung, das Bundesfinanzgericht möge dem EuGH die Frage zur Vorabentscheidung vorlegen, ob das Glücksspielmonopol mit der Dienstleistungsfreiheit im Hinblick auf die umfangreichen Werbeaktivitäten der konzessionierten Spielbanken vereinbar sei.
Die Bf. stellte die Anregung, das Bundesfinanzgericht möge einen Antrag auf Aufhebung von § 57 GSpG oder § 57 Abs. 5 GSpG wegen Verfassungswidrigkeit an den Verfassungsgerichtshof richten und dem EuGH zur Vorabentscheidung vorlegen, ob § 57 Abs. 6 GSpG eine unionsrechtswidrige Beihilfe darstelle.
Die Bf. stellte die Anträge, eine mündliche Verhandlung durchzuführen, und dass die Entscheidung durch den Senat zu treffen ist.
Das Finanzamt legte die Beschwerden dem Bundesfinanzgericht vor und gab dazu noch eine umfangreiche Stellungnahme ab, die der Bf. auch zugestellt wurde.
Am 15. November 2018 teilte das Finanzamt dem Bundesfinanzgericht betreffend aller Verfahren der Bf. mit, dass über die Bf. mit 23. Oktober 2018 das Konkursverfahren eröffnet worden sei.
2. Detaillierte Darstellung des Verfahrens
2.1. Zeiträume 2-12/2012 und 1-7/2013
Mit Schreiben vom 12. März 2012 gab die Bf. eine Abgabenmeldung gemäß § 57 GSpG für Februar 2012 ab und zwar: Pokerturniere gemäß § 57 Abs. 1 GSpG Bemessungsgrundlage 37.200,00 x 16% = 5.952,00 Euro und Poker "Cashgame" gemäß § 57 Abs. 1 GSpG Bemessungsgrundlage 1,655.326,19 x16% = 264.852,19 Euro. Zu den Pokerturnieren und Cashgames legte die Bf. Aufstellungen bei. Dazu legte die Bf. dar, dass sich die Bemessungsgrundlage der Glücksspielabgabe aus den Einsätzen der Spieler zusammensetze. Da für die Umsatz- bzw. Gewinnermittlung des Unternehmens die Einsätze der Spieler nicht relevant seien, seien auch keine Grund- und Hilfsaufzeichnungen vorhanden. Die Bemessungsgrundlagen für die Glücksspielabgaben seien daher aufgrund von bestehenden Erfahrungswerten geschätzt worden und zwar anhand des Tischgeldes (Rake) das aufgrund eigener und internationaler Erfahrungswerte 3,5% des Einsatzes der Spieler betrage. Es werde auch darauf hingewiesen, dass aufgrund der geltenden Übergangsbestimmungen der GSpG-Novelle 2008 § 57 GSpG idgF nicht anwendbar sei. Abschließend stellte die Bf. den Antrag, die Glücksspielabgaben gemäß § 201 BAO festzusetzen.
Die Bf. überreichte weitere Abgabenmeldungen gemäß § 57 GSpG für die Zeiträume März 2012, April 2012, Mai 2012, Juni 2012, Juli 2012, August 2012, September 2012, Oktober 2012, November 2012, Dezember 2012, Jänner 2013, Februar 2013, März 2013, April 2013, Mai 2013, Juni 2013 und Juli 2013, und stellte jeweils den Antrag, die Glücksspielabgaben gemäß § 201 BAO festzusetzen.
Über diese Zeiträume Februar 2012 bis Juli 2013 fanden drei Außenprüfungen durch das Finanzamt statt.
Die erste Überprüfung der Unterlagen umfasste die Zeiträume 1. Februar 2012 bis 31. Juli 2012 (****x3**** - Korrektur 21.124,20 Euro).
Die zweite Überprüfung der Unterlagen umfasste die Zeiträume 1. August 2012 bis 31. Jänner 2013 (****x4**** - Korrektur 40.760,49 Euro).
Die dritte Überprüfung der Unterlagen umfasste die Zeiträume 1. Februar 2013 bis 31. Juli 2013 (****x5**** - Korrektur 14.544,60 Euro).
Mit 15 Bescheiden gemäß § 201 Abs. 3 Z 1 BAO vom 20. November 2014 setzte das Finanzamt die Glücksspielabgaben gemäß § 57 Abs. 1 GSpG für die Monate Februar bis Dezember 2012 und Jänner bis April 2013 fest.
Mit 3 Bescheiden vom 20. November 2014 wies das Finanzamt die Anträge auf Festsetzung der Glücksspielabgaben gemäß § 57 Abs. 1 GSpG für die Monate Mai bis Juli 2013 gemäß § 201 BAO als unbegründet ab.
In den gesonderten Bescheidbegründungen führte das Finanzamt folgendes aus:
Die von der Bf. angebotenen am häufigsten gespielten Pokervarianten sind Texas Hold'Em Limit und No Limit, Omaha Pot Limit. Es werden auch Turniere mit einem oder mehreren Rebuys und Add-Ons angeboten. Zu den Turnieren werden Aufzeichnungen in Form einer Salesdatei geführt. In den zu den Turnieren geführten Aufzeichnungen ist jedes einzelne Turnier enthalten (Turniernummer, Spielvariante, Turnierform, Anzahl der Teilnehmer, Wert = Summe Entry fee und Buy In). Zu den Cashgames werden täglich Aufzeichnungen betreffend der einzelnen Tische geführt (Tischnummer, Öffnung und Schließung der Tische, Dauer, Spiel, Limit). Es gibt einen Abrechnungsbeleg über die Einnahmen aus dem Spielbetrieb aller Tische eines Tages ohne Aufsplittung auf Einzeltische, obwohl das Tischgeld pro Tisch in einzelne Dropboxen eingeworfen wird.
Das Finanzamt ermittelte die Bemessungsgrundlagen zu den Cashgames aufgrund der von der Bf. selbst vorgenommenen Schätzung auf Basis des Tischgeldes, verglich die Tagesabrechnungsbelege mit den geschätzten Einnahmen aus dem Spielbetrieb und beurteilte die Schätzung als plausibel. Das Finanzamt stellte fest, dass in den Glücksspielabgabenanmeldungen über die Turniere der Gewinn folgendermaßen ausgewiesen wurde: Teilnehmer x Buy In, Rebuys, Addons - abzüglich 3% für die Monatswertung und 3% für das Casino = 94% der geleisteten Einsätze.
Das Finanzamt stellte fest, dass von Seiten der Bf. Satellite-Turniere, Free Roll-Turniere, Monatswertungsturniere und Turniere gemeinsam mit anderen Casinos veranstaltet wurden, die im geprüften Zeitraum nicht angemeldet und daher die Glücksspielabgaben dafür nicht berechnet wurde. Die Nachforderung an Glücksspielabgaben gegenüber den selbstberechneten Beträgen ergaben Korrekturen von 21.124,20 Euro, von 40.760,49 Euro und von 14.544,60 Euro.
In der rechtlichen Begründung legte das Finanzamt dar, dass in den Zeiträumen vor August 2013 Glücksspielabgaben trotz Aufhebung des Wortes Poker in § 1 Abs. 2 GSpG durch VfGH 27.6.2013, G 26/2013 zu entrichten seien, da die Sachverhalte vor der Aufhebung verwirklicht wurden. Glücksspielgesetzliche Unternehmereigenschaft sei auch dann gegeben, wenn die Kartenspieler gegeneinander spielen würden, der Unternehmer aber an der Durchführung des Spiels veranstaltend oder organisierend, wie durch Mischen und Austeilen der Karten, Festlegung von Spielregeln, Bereitstellen von Spielort, Spieltischen oder Spielpersonal mitwirkt. Eine Gewerbeberechtigung sei keine Berechtigung iSd § 59 Abs. 2 GSpG, auch die Übergangsbestimmungen des § 60 Abs. 24 GSpG schaffe für Pokersalons mit einer aufrechten Gewerbeberechtigung lediglich Straffreiheit für einen gewissen Zeitraum, befreie aber nicht von der Verpflichtung zur Entrichtung der Glücksspielabgaben.
Nach der Bescheidbegründung hinsichtlich der drei Bescheide, mit welchen die Anträge der Bf. betreffend bescheidmäßige Festsetzung gemäß § 201 BAO der Glücksspielabgaben abgewiesen wurden, wurde die Vollständigkeit und Richtigkeit der vorgelegten Turnieraufzeichnungen in Form von Stichproben ausgehend von der Salesdatei überprüft und ergab keine Beanstandungen. Da das Finanzamt zur Annahme gelangte, dass die Selbstberechnung der Bf. in den Monaten Mai bis Juli 2013 richtig ist, musste es die Anträge auf Festsetzung gemäß § 201 BAO als unbegründet abweisen.
Fristgerecht wurden dagegen 18 Beschwerden, datiert mit 10. Dezember 2014, Postaufgabe vom 19. Dezember 2014, eingebracht:
Gegen die Glücksspielabgabenbescheide 2-12/2012 wurden mit einem (1) Schriftsatz Beschwerden erhoben. Die Bf. stellte die Anträge, den Beschwerden stattzugeben und die Glücksspielabgabe jeweils mit 0 festzusetzen.
Die Bf. sei in die Spielverträge der Spieler nicht eingebunden und wisse auch nicht, wie viel die Spieler tatsächlich an Einsatz leisten bzw. wie viel sie gewinnen oder verlieren. Sie sei auch nicht in der Lage bekannt zu geben, welche Einsätze die Besucher leisten würden. Einem Unternehmer, der keine Einsätze entgegennehme und der somit kein Glücksspielunternehmer sei, könne nicht zugemutet werden, eine Steuer für die Einsätze zu entrichten.
Das Finanzamt hätte klarstellen müssen, auf welche Rechtslage es die Vorschreibungen stütze. Am 1.1.2010 sei Poker im Glücksspielgesetz nicht ausdrücklich genannt gewesen, weswegen ein Sachverständigengutachten einzuholen gewesen wäre, ob im Einzelfall ein Spiel vorgelegen hätte, bei dem Gewinn oder Verlust ausschließlich oder vorwiegend vom Zufall abhängig seien. Wäre Poker nämlich schon am 1.1.2010 ganz allgemein als Glücksspiel unter dem GSpG einzustufen gewesen, dann hätte es der ausdrücklichen Einbeziehung unter die Glücksspiele durch die GSpG-Novelle 2008 und der Ausnahmeregelung des § 60 Abs. 24 GSpG wohl nicht bedurft. Nach § 2 Abs. 1 GSpG idF BGBl. 1997/69 vom 1.1.2010 sei es außerdem darauf angekommen, ob der Unternehmer den Spielern eine vermögensrechtliche Gegenleistung in Aussicht stelle oder ob er oder ein Dritter eine solche organisiere, veranstalte oder anbiete. Da sich in einem gewerblichen Pokersalon die Spieler träfen, um miteinander Poker zu spielen, und die Bf. keinen Gewinn in Aussicht stelle und keine Gegenleistung für den Einsatz biete, würden die Kartenpokerspiele nicht einmal dann eine Ausspielung darstellen, wenn sie Glücksspiele wären.
Zu den meisten Pokervarianten gäbe es mittlerweile eine äußerst umfangreiche internationale und deutschsprachige Literatur, mit welcher sich auch der Verfassungsgerichtshof VfGH 27.6.2013, G 26/2013 befasst habe. So werde in dem Artikel von Hambach/Hettich/Kruis, Verabschiedet sich Poker aus dem Glücksspielrecht? Medien&Recht Int., 2009 Heft 2, Seite 41, aufgezeigt, dass das Pokerspiel Texas Hold'em ein Geschicklichkeits- und kein Glücksspiel sei. Diesen Ergebnissen habe sich auch das Landgericht Karlsruhe in seinem Berufungsurteil vom 20.1.2009, AZ: 18 AK 127/08 angeschlossen. Poker in Turnierform sei kein Glücksspiel, das habe auch schon der UFS 24.7.2007, RV/0369-W/02 und RV/0036-W/02 erkannt.
Durch die Übergangsbestimmungen der GSpG-Novellen 2008 und 2010 sei der rechtmäßige Bestand von gewerblichen Pokersalons gemäß der Rechtslage vom 1.1.2010 anerkannt worden. Das habe der Verfassungsgerichtshof durch die Erkenntnisse VfGH 30.6.2012, G 51/11 und VfGH 21.9.2013 B 1357/12 zum Ausdruck gebracht. Aus dem Erkenntnis VfGH 30.6.2012, G 51/11 ergäbe sich, dass Pokersalons bis zum Auslaufen der Übergangsbestimmung rechtmäßig betrieben werden dürfen. Der Betrieb von Pokersalons sei bisher wenigstens "hingenommen" worden.
Der Verfassungsgerichtshof habe mit Erkenntnis VfGH 27.6.2013, G 26/2013 das Wort Poker in § 1 Abs. 2 GSpG, sowie in § 60 Abs. 24 GSpG aufgehoben, wodurch Poker vom Glücksspielbegriff des § 1 GSpG nicht mehr erfasst sei. Voraussetzung der Glücksspielabgabenpflicht nach dem 1.1.2011 sei eine Ausspielung und eine Ausspielung könne nicht mehr vorliegen, wenn kein Glücksspiel vorliege. Denn durch die bloß demonstrative Aufzählung werde § 1 Abs. 1 GSpG nicht derogiert. Soweit bei einem in § 1 Abs. 2 GSpG genannten Spiel oder dessen Spielvariante die Entscheidung über das Spielergebnis nicht ausschließlich oder vorwiegend vom Zufall abhängt, sei § 1 Abs. 1 GSpG nicht erfüllt, womit weiterhin kein Glücksspiel vorliege. Damit bleibe weiterhin Tatsachenfrage, ob Poker unter § 1 Abs. 1 GSpG falle. Der Gesetzgeber hätte ein Spiel zu einem Glücksspiel erklären können, aber genau das hat er nicht getan. § 1 Abs. 2 GSpG regle genaugenommen nicht, dass die dort genannten Spiele jedenfalls Glücksspiele seien, sondern möchte nur zur Illustration Beispiele nennen.
Die Bf. sei keine Steuerschuldnerin gemäß § 59 GSpG, weil sie weder Konzessionärin, noch Bewilligungsinhabern sei und ihr auch kein Berechtigungsverhältnis fehle, weil sie eine Gewerbeberechtigung iSd § 60 Abs. 24 GSpG besitze.
Gegen die Glücksspielabgabenbescheide 1-4/2013 wurden mit einem (1) Schriftsatz Beschwerden erhoben, zusätzlich zu der im Wesentlichen gleichen Begründung brachte die Bf. vor, die Bemessungsgrundlage zu den Turnieren sei anhand der Turnieraufzeichnungen (Startkapital pro Spieler und Anzahl der Teilnehmer), die Bemessungsgrundlage bei den Cashgames seien die Einsätze, die auf Basis des Tischgeldes und von Erfahrungswerten näherungsweise hochgerechnet wurden, doch könnten diese Beträge tatsächlich nicht entrichtet werden. Der VfGH 27.6.2013, G 26/2013 habe auch § 22 GSpG und die Befristung in der Übergangsbestimmung aufgehoben. Wenn das Finanzamt wiederum diese Beschränkung der Übergangsbestimmung einwende, interpretiere sie diese nicht verfassungskonform. Das GSpG sei über die Befristung hinaus auf die Bf. nicht anzuwenden.
Gegen die "Glücksspielabgabenbescheide" 5-7/2013 (Abweisungsbescheide) wurden mit einem (1) Schriftsatz Beschwerden erhoben, zusätzlich zu der im Wesentlichen gleichen Begründung brachte die Bf. vor, dass die Abweisung der bescheidmäßigen Festsetzung für sie nicht nachvollziehbar sei, da die Bemessung der Abgaben auf Grund fremder Umsätze, nämlich der Umsätze der Spieler durchgeführt worden sei, was jedenfalls rechtswidrig sei.
Mit Beschwerdevorentscheidungen vom 16. Juli 2015 wurden die Beschwerden betreffend Zeiträume 2-12/2012 und 1-7/2013 als unbegründet abgewiesen:
Das Finanzamt hielt der Bf. entgegen, dass Ziel und Zweck der Übergangsbestimmungen des § 60 Abs. 24 GSpG ist, dass die Vorschrift des § 2 Abs. 4 GSpG über verbotene Ausspielungen über einen gewissen Zeitraum auf Pokersalons nicht anzuwenden ist, wenn diese Inhaber einer Gewerbeberechtigung sind, um ihnen - nach der damaligen Rechtslage - den Erwerb einer Pokersalonkonzession iSd § 22 GSpG zu ermöglichen. Weder § 60 Abs. 24 GSpG, noch § 111 GewO würden Auswirkungen auf die Glücksspielabgabenpflicht haben. Der Gesetzgeber habe durch die Aufnahme des Wortes Poker in die beispielhafte Aufzählung des § 1 Abs. 2 GSpG für Klarstellung und Rechtssicherheit gesorgt und nicht wie die Bf. vorgebracht habe, "einen Lebenssachverhalt in sein Gegenteil verkehrt". Zur Frage, ob Kartenpokerspiel eine Ausspielung sei, legte das Finanzamt unter anderem ausführlich dar, dass bereits nach alter Rechtslage der Unternehmerbegriff bei den Pokercasinobetrieben gegeben gewesen sei. Mit der Glücksspielgesetznovelle 1995, BGBl. I 1996/747 sei § 2 Abs. 4 GSpG neu geschaffen, der Begriff der Ausspielung und des veranstaltenden Unternehmers klarer formuliert worden. Der Judikatur des Verwaltungsgerichtshofes sei Rechnung getragen worden, die wiederholt ausgesprochen habe, dass der Unternehmer die Gegenleistung nicht selbst erbringen müsse, sondern, dass es ausreichend sei, dass den Leistungen der Spieler im Gewinnfall eine Gegenleistung gegenüberstehe. Es sei auch gleichgültig, wem gegenüber der Spieler die vermögensrechtliche Leistung zu erbringen habe, es müsse die Leistung des Spielers auch nicht dem Unternehmer zufließen. Die Bf. sei eindeutig Unternehmerin iSd § 2 GSpG, weil sie interessierten Personen in ihrem Pokercasino die Möglichkeit biete, an von ihr angebotenen Kartenpokerspielen in Form von Cashgame oder in Turnierform teilzunehmen. Damit sei § 57 Abs. 1 GSpG steuerrechtlich automatisch verwirklicht worden.
Fristgerecht wurden 18 Vorlageanträge, datiert mit 5. August 2015, Postaufgabe vom 12. August 2015, eingebracht.
Mit 11 Schriftsätzen vom 5. August 2015 wurden fristgerecht die Vorlageanträge gegen die Bescheide betreffend Zeiträume 2-12/2012 gestellt:
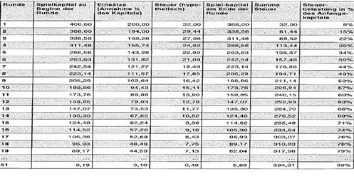
Zusätzlich zum Beschwerdevorbringen legte die Bf. dar, dass eine verfassungskonforme Umsetzung des Erkenntnisses VfGH 27.6.2013, G 26/2013 nur dann vorliege, wenn das GSpG in seiner Gesamtheit nicht angewendet, die Glücksspieleigenschaft von Poker verneint, das Vorliegen einer Ausspielung verneint und die Anwendung der §§ 57 bis 59 GSpG unterlassen werde. Weiters äußerte die Bf. verfassungsrechtliche Bedenken wegen gleichheitswidriger Besteuerung und illustrierte dieses anhand eines Beispiels: "An einem Poker-Cashgame nehmen vier Spieler mit einem Spielkapital von jeweils 100 Euro teil. Spieler A mit einem Spielkapital von 100 Euro setzt 2 Euro Mindesteinsatz. Spieler B, setzt 4 Euro Mindesteinsatz. Danach werden die Karten an alle Spieler ausgeteilt. Alle Spieler A, B, C und D setzen daraufhin die Hälfte ihres Spielkapitals. A setzt weiter 48, B setzt weiter 46 und C und D setzen jeweils 50. Beim Vergleich der Karten geht D als Sieger mit dem Blatt hervor und erhält 200 Euro als Gewinn = Einsatz A 50 Euro + Einsatz der anderen Spieler 150 Euro". Nach Auffassung des Finanzamtes sei die Steuer von 200 zu bemessen und betrage 32 Euro. Nach 10 solcher Runden würde eine Abgabenbelastung von 226,24 Euro entstehen, d.h. 57% des Spielkapitals von 400 Euro weggesteuert. Nach 51 Runden betrage die Steuerbelastung bereits 99%, was aus der beiliegenden Tabelle ersichtlich sei:
Das sei eine exzessive Besteuerung, die verfassungswidrig sei, dazu werde auf die Entscheidungen des Europäischen Gerichtshofes für Menschenrechte (EGMR 14.5.2013, 66529/11 N.K.M. v. Hungary ua.) verwiesen. Weiters habe der EuGH bereits einmal entschieden, dass die Ausgestaltung des österreichischen Glücksspielmonopols gegen das Unionsrecht, nämlich die Niederlassungsfreiheit und die Dienstleistungsfreiheit verstoße, weil es so ausgestaltet sei, dass nur eine bestimmte Person eine realistische Chance auf eine Konzession habe.
Auch, dass die Spielbankenkonzessionärin gemäß § 57 Abs. 6 GSpG nicht der Glücksspielabgabe unterliege, stelle einen Verstoß gegen den Gleichheitsgrundsatz dar. Diese Ungleichbehandlung stelle eine unionsrechtswidrige Beihilfe dar. Tatsächlich sei auf die Bf. die Befreiungsbestimmung gemäß § 57 Abs. 6 GSpG anzuwenden.
Mit 7 Schriftsätzen vom 5. August 2015 wurden fristgerecht die Vorlageanträge gegen die Bescheide betreffend Zeiträume 1-7/2013 gestellt:
Die Bf. wiederholte die Beschwerdevorbringen und führte über das bisherige Vorbringen hinaus aus, dass die Auffassung des Finanzamtes, die Übergangsbestimmung des § 60 Abs. 24 GSpG auf den vorliegenden Fall nicht anzuwenden, gegen eine verfassungskonforme Interpretation iSd VfGH 27.6.2013, G 26/2013 verstoße. Im Ergebnis sei die Rechtslage vom 1.1.2010 über den 31.12.2012 hinaus aus verfassungsrechtlichen Gründen auf den Betrieb der Bf. anzuwenden. Daher könnten auch die §§ 57-59 GSpG, welche erst am 1.1.2011 in Kraft getreten seien, in den Beschwerdezeiträumen 1-7/2012 nicht angewendet werden, womit den bekämpften Bescheiden jegliche rechtliche Grundlage entzogen sei.
Aus der Systematik des GSpG und dem § 57 Abs. 6 GSpG ergäbe sich eindeutig, dass der Gesetzgeber Tätigkeiten, die nicht unter das Monopol fallen, bzw. von diesem ausgenommen seien, auch nicht der Glücksspielabgabe habe unterwerfen wollen. Aus den §§ 57-59 GSpG werde deutlich, dass nur verbotene Ausspielungen der Glücksspielabgabe unterliegen sollten, erlaubte Ausspielungen, wie in Spielbanken iSd § 21 GSpG, würden nicht der Glücksspielabgabe unterliegen.
Die Bf. stellte daher in allen 18 Vorlageanträgen die Anregung,
- das Bundesfinanzgericht möge einen Antrag auf Aufhebung von § 57 GSpG oder § 57 Abs. 5 GSpG wegen Verfassungswidrigkeit an den Verfassungsgerichtshof richten und
- das Bundesfinanzgericht möge dem EuGH folgende Fragen gemäß Art. 267 AEUV zur Vorabentscheidung vorlegen:
"Stehen Art. 107 Abs. 1 AEUV oder Art. 49 AEUV oder Art. 56 AEUV Rechtsvorschriften eines Mitgliedsstaates wie § 57 GSpG und § 57 Abs. 6 GSpG entgegen, die eine Steuerbefreiung für Pokerspiele innerhalb konzessionierter Spielbanken nach dem GSpG vorsehen, der gleichen Tätigkeit aber, wenn sie auf Basis einer gültigen gewerberechtlichen Bewilligung ausgeübt wird, diese Steuerbefreiung versagen, und eine Abgabe in Höhe von mehr als 99% der Umsätze des Unternehmers vorschreiben?"
Weiters beantragte die Bf. eine mündliche Verhandlung durchzuführen.
Das Finanzamt legte die Beschwerden dem Bundesfinanzgericht vor und gab dazu noch eine umfangreiche Stellungnahme ab, die der Bf. auch zugestellt wurde.
2.2. Zeiträume 8-12/2013, 1-12/2014 und 1-12/2015
Die Bf. überreichte weitere Abgabenmeldungen gemäß § 57 GSpG für die Zeiträume 8-12/2013, 1-12/2014 und 1-12/2015, und stellte jeweils den Antrag, die Glücksspielabgaben gemäß § 201 BAO festzusetzen.
Über diese Zeiträume August 2013 bis Dezember 2015 fanden drei Außenprüfungen durch das Finanzamt statt.
Die erste Überprüfung der Unterlagen umfasste die Zeiträume 1. August 2013 bis 28. Februar 2014 (****x6**** - Korrektur 542,88 Euro).
Die zweite Überprüfung der Unterlagen umfasste die Zeiträume 1. März 2014 bis 31. Dezember 2014 (****x7**** - Korrektur 16.409,47 Euro).
Die dritte Überprüfung der Unterlagen umfasste die Zeiträume 1. Jänner 2015 bis 31. Dezember 2015 (****x8**** - Korrektur 11.882,56 Euro).
Mit 17 Bescheiden gemäß § 201 Abs. 3 Z 1 BAO vom 30. November 2016, setzte das Finanzamt die Glücksspielabgaben gemäß § 57 Abs. 1 GSpG für die Monate August, September, November 2013 (RV/7102863/2017 RV/7102871/2017 RV/7102872/2017), für die Monate April, September, Oktober, November, Dezember 2014 (RV/7102867/2017, RV/7102881/2017, RV/7102882/2017, RV/7102883/2017, RV/7102884/2017), für die Monate Jänner, Februar, März, April, Juni, Juli, August, Oktober und November 2015 (RV/7102888/2017, RV/7102890/2017 RV/7102891/2017 RV/7102892/2017 RV/7102893/2017 RV/7102894/2017 RV/7102895/2017 RV/7102896/2017 RV/7102897/2017 RV/7102898/2017 RV/7102899/2017) fest.
Mit 12 Bescheiden vom 30. November 2016 wies das Finanzamt die Anträge auf Festsetzung der Glücksspielabgaben gemäß § 57 Abs. 1 GSpG für die Monate Oktober, Dezember 2013 und Jänner, Februar 2014 (RV/7102864/2017, RV/7102873/2017, RV/7102874/2017, RV/7102875/2017), für die Monate März, Mai, Juni, Juli, August 2014 (RV/7102866/2017, RV/7102877/2017 RV/7102878/2017 RV/7102879/2017 RV/7102880/2017), für die Monate Mai, September und Dezember 2015 (RV/7102889/2017) gemäß § 201 BAO als unbegründet ab.
In den gesonderten Bescheidbegründungen führte das Finanzamt folgendes aus:
Die von der Bf. angebotenen am häufigsten gespielten Pokervarianten sind Texas Hold'Em, Omaha und 7 Card Stud. Es werden auch Turniere mit einem oder mehreren Rebuys und Add-Ons angeboten. Zu den Turnieren werden Aufzeichnungen in Form einer Salesdatei geführt. In den zu den Turnieren geführten Aufzeichnungen ist jedes einzelne Turnier enthalten (Turniernummer, Spielvariante, Turnierform, Anzahl der Teilnehmer, Wert = Summe Entry fee und Buy In). Zu den Cashgames werden täglich Aufzeichnungen betreffend der einzelnen Tische geführt (Tischnummer, Öffnung und Schließung der Tische, Dauer, Spiel, Limit). Es gibt einen Abrechnungsbeleg über die Einnahmen aus dem Spielbetrieb aller Tische eines Tages ohne Aufsplittung auf Einzeltische, obwohl das Tischgeld pro Tisch in einzelne Dropboxen eingeworfen wird. Das Finanzamt ermittelte die Bemessungsgrundlagen zu den Cashgames aufgrund der von der Bf. selbst vorgenommenen Schätzung auf Basis des Tischgeldes, verglich die Tagesabrechnungsbelege mit den geschätzten Einnahmen aus dem Spielbetrieb und beurteilte die Schätzung als plausibel. Das Finanzamt stellte fest, dass in den Glücksspielabgabenanmeldungen über die Turniere der Gewinn folgendermaßen ausgewiesen wurde: Teilnehmer x Buy In, Rebuys, Addons - abzüglich 3% für die Monatswertung und 3% für das Casino = 94% der geleisteten Einsätze.
Das Finanzamt stellte fest, dass von Seiten der Bf. Satellite-Turniere, Free Roll-Turniere, Monatswertungsturniere und Turniere gemeinsam mit anderen Casinos veranstaltet wurden, die im geprüften Zeitraum nicht angemeldet und daher die Glücksspielabgaben dafür nicht berechnet wurde. Die Nachforderung an Glücksspielabgaben gegenüber den selbstberechneten Beträgen ergab Korrekturen von 542,88 Euro, von 16.409,47 Euro und von 11.882,56 Euro.
In der rechtlichen Begründung legte das Finanzamt dar, dass Glücksspielabgaben trotz Aufhebung des Wortes Poker in § 1 Abs 2 GSpG durch VfGH 27.6.2013, G 26/2013 von August 2013 bis Februar 2014 zu entrichten seien, wenn die gespielten Pokervarianten unter § 1 Abs. 1 GSpG zu subsumieren seien. Der Verwaltungsgerichtshof 8.9.2005, 2000/17/0201 habe jedenfalls die gängigen Kartenpokervarianten unter § 1 Abs. 1 GSpG fallend beurteilt. Glücksspielgesetzliche Unternehmereigenschaft sei auch dann gegeben, wenn die Kartenspieler gegeneinander spielen würden, der Unternehmer aber an der Durchführung des Spiels veranstaltend oder organisierend, wie durch Mischen und Austeilen der Karten, Festlegung von Spielregeln, Bereitstellen von Spielort, Spieltischen oder Spielpersonal mitwirkt. Eine Gewerbeberechtigung sei keine Berechtigung iSd § 59 Abs. 2 GSpG, auch die Übergangsbestimmung des § 60 Abs. 24 GSpG schaffe für Pokersalons mit einer aufrechten Gewerbeberechtigung lediglich Straffreiheit für einen gewissen Zeitraum, befreie aber nicht von der Verpflichtung zur Entrichtung der Glücksspielabgaben. Auch die Argumentation hinsichtlich der neuen Übergangsbestimmung gemäß § 60 Abs. 33 GSpG gehe ins Leere, da diese, so wie ihre Vorgängerbestimmung § 60 Abs. 24 GSpG keine abgabenrechtliche Anordnung enthalte.
Nach der im Wesentlichen gleichlautenden Bescheidbegründung wie zu den Festsetzungsbescheiden hinsichtlich der 12 Bescheide, mit welchen die Anträge der Bf. betreffend bescheidmäßige Festsetzung gemäß § 201 BAO der Glücksspielabgaben abgewiesen wurden, sei die Vollständigkeit und Richtigkeit der vorgelegten Turnieraufzeichnungen in Form von Stichproben ausgehend von der Salesdatei überprüft worden und habe keine Beanstandungen ergeben. Ebenso wurde bei den Cashgames, bei Überprüfung der Schätzung des Tischgeldes beim Vergleich der Belege und der Einnahmen bei diesen Prüfungen festgestellt, dass die von der Bf. vorgenommene Schätzung auf Basis des Tischgeldes plausibel war. Da das Finanzamt zur Annahme gelangte, dass die Selbstberechnung der Bf. in den Monaten Oktober, Dezember 2013, Jänner, Februar 2014, März, Mai, Juni, Juli, August 2014, und Mai, September und Dezember 2015 richtig ist, musste es die Anträge auf Festsetzung gemäß § 201 BAO als unbegründet abweisen.
Fristgerecht wurden 29 Beschwerden am 16. Dezember 2016 eingebracht:
Gegen die Glücksspielabgabenbescheide betreffend Zeiträume August, September, November 2013 wurden mit einem (1) Schriftsatz Beschwerden erhoben.
Gegen die Abweisungsbescheide betreffend Zeiträume Oktober, Dezember 2013, Jänner, Februar 2014 wurden mit einem (1) Schriftsatz Beschwerden erhoben.
Gegen die Abweisungsbescheide betreffend Zeiträume März, Mai, Juni, Juli August 2014 wurden mit einem (1) Schriftsatz Beschwerden erhoben.
Gegen die Glücksspielabgabenbescheide betreffend Zeiträume April, September, Oktober, November, Dezember 2014 wurden mit einem (1) Schriftsatz Beschwerden erhoben.
Gegen die Glücksspielabgabenbescheide betreffend Zeiträume Jänner, Februar, März April, Juni, Juli, August, Oktober, November 2015 wurden mit einem (1) Schriftsatz Beschwerden erhoben.
Gegen die Abweisungsbescheide betreffend Zeiträume Mai, September, Dezember 2015 wurden mit einem (1) Schriftsatz Beschwerden erhoben.
Die Bf. stellte die Anträge, den Beschwerden stattzugeben und die Glücksspielabgabe jeweils mit 0 festzusetzen. Zusätzlich zu der im Wesentlichen gleichen Begründung wie in ihren Beschwerden vom 10. Dezember 2014 brachte die Bf. vor, dass der Verfassungsgerichtshof 30.6.2012, G 51/11 und VfGH 21.9.2013, B 1357/11 Teile der Übergangsbestimmung des § 60 Abs. 24 GSpG als verfassungswidrig aufgehoben habe. Für den vorliegenden Beschwerdefall sei diese Entscheidung insofern von Relevanz, als der Verfassungsgerichtshof damit aussprach, dass "Pokersalons" bis zum Auslaufen der Übergangsbestimmung rechtmäßig betrieben werden dürften. Infolge Aufhebung des Wortes Poker in § 1 Abs. 2 GSpG durch VfGH 27.6.2013, G 26/2013 bestehe keine Abgabepflicht gemäß §§ 57 bis 59 GSpG.
Mit Beschwerdevorentscheidungen vom 20. März 2017 wurden die Beschwerden betreffend Zeiträume 8-12/2013, 1-12-/2014 und 1-12/2015 als unbegründet abgewiesen.
Fristgerecht wurden 29 Vorlageanträge in mehreren Schriftsätzen, datiert vom 31. März 2017, Postaufgabe vom 3. April 2017 eingebracht.
Zusätzlich zu der im Wesentlichen gleichen Begründung wie in ihren Beschwerden brachte die Bf. vor, dass infolge Aufhebung des Wortes Poker in § 1 Abs. 2 GSpG durch VfGH 27.6.2013, G 26/2013 keine Abgabepflicht gemäß §§ 57 bis 59 GSpG bestehe. Das sei durch ein Gutachten von Univ.Prof. Dr.Dr.h.c. ****NAME**** vom 7.1.2014 untermauert worden. Die Allgemeinverbindlichkeit des Erkenntnisses trete mit Ablauf des Tages der Kundmachung im BGBl, somit am 3.8.2013 in Kraft.
Verfassungsrechtliche Bedenken gegen § 57 GSpG: Der überwiegende Teil der in den Pokersalons der Bf. durchgeführten Pokerspiele seien Cashgames, Bemessungsgrundlage gemäß § 57 Abs. 1 GSpG ist der Einsatz. Nach Ansicht der Abgabenbehörde seien alle Einsätze aller Spieler jeder einzelnen Spielrunde als Bemessungsgrundlage für die Glücksspielabgabe heranzuziehen. Daraus folge aber eine exzessive Besteuerung. Das zeige sich an folgendem Beispiel: Vier Spieler mit einem Spielkapital von je 100 Euro spielen Poker. Ein Spieler setzt noch 2 Euro und ein anderer 4 Euro. Der erstgenannte Spieler setzt dann noch 98. Alle Spieler steigen aus, der erste Spieler erhält seinen Einsatz von 100 und 4 Euro Einsatz des zweiten Spielers. Die Bf. verdient bei einem solchen Spiel nur Tischgeld in Höhe von 3,5% des geleisteten Entgelts, das wären bei 104 Euro 3,64%. Die Glücksspielabgabe betrage aber 104 x 16% = 16,64 und damit das Fünffache des Tischgeldes.
Die Bf. habe auch unionsrechtliche Bedenken gegen § 57 GSpG: Es liege ein Eingriff in die Grundrechte wie im Sachverhalt von EuGH 11.6.2015, C-98/14 Berlington Hungary Tanacsado es Szolgaltato kft ua. vor: In Ungarn sei der Betrieb von Spielautomaten ursprünglich sowohl in konzessionierten Spielcasinos als auch in Spielhallen erlaubt gewesen. In ihren Spielhallen hätten die Klägerinnen Spielautomaten betrieben, wofür sie eine monatliche Pauschalsteuer pro Spielautomat entrichten mussten. Mit dem Änderungsgesetz 2011 sei die Pauschalsteuer für Spielhallen verfünffacht und zusätzlich eine Prozentualsteuer eingeführt worden, die Besteuerung der Spielautomaten in Spielcasinos hingegen blieb unverändert. Dazu seien die Genehmigungen für Spielautomaten in Spielhallen erloschen, eine Entschädigungsregelung wurde nicht vorgesehen. Der EuGH entschied, dass hier tatsächlich ein Hindernis für die Dienstleistungsfreiheit iSd Art. 56 AEUV vorliegen würde, was das nationale Gericht zu prüfen habe.
Im Fall der Bf. sei das Kohärenzgebot nicht eingehalten: das Kohärenzgebot stelle klar, dass der jeweilige Mitgliedstaat das legitime Ziel erfülle und nicht nur als Vorwand für die Verfolgung protektionistischer oder fiskalischer Interessen benütze. Diese Voraussetzungen seien nicht erfüllt worden, da durch Aufnahme der Grundsatzbestimmung in § 31a GSpG mit BGBl. I 2010/73 die gesetzlichen Rahmenbedingungen für das Pokerangebot der Konzessionärin verbessert worden seien. Schließlich werde das Ziel des Spielerschutzes durch expansive Werbung der Konzessionäre konterkariert.
Die Glücksspielabgabe für die Bf. verstoße gegen das Beihilfenverbot: Die Bf. unterliege der Glücksspielabgabe, während ihr bedeutendster Mitbewerber als Anbieter von Pokerspielen, die **SPIELBANKKONZESSIONÄRIN**, auf Basis von § 57 Abs. 6 GSpG von der Glücksspielabgabe befreit sei, selbst wenn die gleiche Tätigkeit ausgeübt werde. Diese Ungleichbehandlung stelle eine unionsrechtswidrige Beihilfe dar. Dadurch würden der **SPIELBANKKONZESSIONÄRIN** bedeutende wirtschaftliche Vorteile zugeführt. Die Besteuerung nach § 28 GSpG führe zu einer selektiven und unmittelbaren Begünstigung der **SPIELBANKKONZESSIONÄRIN**, sodass in diesem Fall eindeutig von einer Beihilfe gesprochen werden könne.
Argumentum ad absurdum - Vergleich mit Online-Poker: Dass der Gesetzgeber nicht beabsichtigt habe, die Abgabe in Höhe von 16% der Einsätze zu bemessen, ergäbe sich aus einem Vergleich mit der Besteuerung von Online-Poker gemäß § 57 Abs. 2 GSpG. Die Bemessungsgrundlage bilde das Tischgeld (Rake), da von den Einsätzen die ausbezahlten Gewinne in Abzug gebracht werden können. Somit sei für Online-Poker 40% des Tischgeldes als Abgabe zu entrichten. Daher werde Online-Poker - obwohl sein "Gefährdungspotential" sehr hoch eingeschätzt werde, - niedriger besteuert als Live-Poker.
Die Bf. stellte daher die Anregung,
- das Bundesfinanzgericht möge einen Antrag auf Aufhebung von § 2 Abs. 2, § 2 Abs. 4, § 3, § 52 Abs. 1 Z 1 und § 57 GSpG oder einzelner Bestimmungen sowie in eventu des Glücksspielgesetzes in seiner Gesamtheit wegen Verfassungswidrigkeit an den Verfassungsgerichtshof richten und
- das Bundesfinanzgericht möge dem EuGH folgende Fragen gemäß Art. 267 AEUV zur Vorabentscheidung vorlegen:
"Steht Art. 56 AEUV Rechtsvorschriften eines Mitgliedstaates wie § 3 GSpG entgegen, die das Recht zur Durchführung von Glücksspielen dem Bund vorbehalten, wenn die nationalen Behörden nicht dafür Sorge tragen, dass die konzessionierten Spielbanken durch umfangreiche Werbeaktivitäten nicht neue Kunden gewinnen?"
"Stehen Art. 107 Abs. 1 AEUV und/oder Art. 56 AEUV Rechtsvorschriften eines Mitgliedsstaates wie § 57 GSpG und § 57 Abs. 6 GSpG entgegen, die eine Steuerbefreiung für Pokerspiele innerhalb konzessionierter Spielbanken nach dem GSpG vorsehen, der gleichen Tätigkeit aber, wenn sie auf Basis einer gültigen gewerberechtlichen Bewilligung ausgeübt wird, diese Steuerbefreiung versagen, und eine Abgabe in Höhe von mehr als 400% der Umsätze des Unternehmers vorschreiben?"
Weiters beantragte die Bf. eine mündliche Verhandlung durchzuführen, und dass die Entscheidung durch den Senat zu treffen ist.
Das Finanzamt legte die Beschwerden dem Bundesfinanzgericht vor und gab dazu noch eine umfangreiche Stellungnahme ab, die der Bf. auch zugestellt wurde.
Am 15. November 2018 teilte das Finanzamt dem Bundesfinanzgericht betreffend aller Verfahren der Bf. mit, dass über die Bf. mit 23. Oktober 2018 das Konkursverfahren eröffnet worden sei und legte einen Ausdruck aus der Insolvenzdatei bei.
3. Verfahrensverbindung vor dem Bundesfinanzgericht
Da die Bf. in den Verfahren zu den Zeiträumen 2-12/2012 und 1-7/2013 mündliche Verhandlung vor dem Einzelrichter und in den Verfahren betreffend Zeiträume 8-12/2013, 1-12/2014 und 1-12/2015 mündliche Verhandlung vor dem Senat beantragte, wurden von Seiten des Bundesfinanzgerichtes über Verlangen des Einzelrichters diese zu einem gemeinsamen Verfahren verbunden, um eine gemeinsame mündliche Verhandlung vor dem Senat abhalten zu können:
In den Beschwerden/Vorlageanträgen der Bf. gegen 18 Bescheide gemäß § 201 BAO vom 20. November 2014 wurde zwar ein Antrag auf mündliche Verhandlung vor dem Bundesfinanzgericht, aber kein Antrag auf Entscheidung durch den Senat gestellt. In den Beschwerden/Vorlageanträgen der Bf. gegen 29 Bescheide gemäß § 201 BAO vom 30. November 2016 wurden sowohl ein Antrag auf mündliche Verhandlung, als auch ein Antrag auf Entscheidung durch den Senat gestellt. Gemäß § 272 Abs. 2 Z 2 iVm Abs. 3 BAO wird das Verfahren betreffend die 18 Bescheide gemäß § 201 BAO vom 20. November 2014 mit dem Verfahren betreffend die 29 Bescheide gemäß § 201 BAO vom 30. November 2016, über die der Senat nach Durchführung einer mündlichen Verhandlung zu entscheiden hat, zu einem gemeinsamen Verfahren verbunden, um eine gemeinsame mündliche Verhandlung vor dem Senat abhalten zu können, da diese Vorgangsweise zur Vereinfachung und Beschleunigung des Verfahrens zweckmäßig ist.
4. Beweisverfahren
4.1. Beweiserhebungen durch das Bundesfinanzgericht
Beweis durch Bundesfinanzgericht wurde erhoben,
- durch Einsicht in die elektronisch vorgelegten Teile der Finanzamtsakten und der Außenprüfungsunterlagen,
- durch Einsicht in das Firmenbuch der Bf. FN ****x2****,
- sowie durch Internetrecherche über die Veranstaltung der Bf. (**** dargestellt im Erkenntnis BFG 26.4.2019, RV/7102176/2012 über die Rechtsgeschäftsgebühren bzw. Glücksspielabgabenpflicht der Bf. in den Vorzeiträumen,
- https://de.wikipedia.org/wiki/Onlinepoker (elektronic document, 17.6.2019).
- Vorhalt zur Vorbereitung auf die mündliche Verhandlung vor dem Senat vom 25.Juni 2019
- Abhaltung der mündlichen Verhandlung vor dem Senat am 26. August 2019.
4.2. Einsicht in das Firmenbuch
Die Einsicht in das Firmenbuch ergab, dass über die Bf. das Konkursverfahren eröffnet wurde und für sie seit 23. Oktober 2018 ein Masseverwalter bestellt worden war. Zum Jahresabschluss 2017, in welchem ein negatives Eigenkapital von 22.573.854,42 Euro ausgewiesen wurde, gab die Bf. folgende Fortbestandsprognose ab: Die Bf. sei als Pokercasino seit den Novellen des Glückspielgesetzes 2008 und 2010 in Ihrer geschäftlichen Tätigkeit behindert. Ein gewisser rechtssicherer Raum sei erst durch den Entscheid des Verfassungsgerichtshofes im Jahr 2013 geschaffen worden. Jedoch sei die Bf. über das Jahr 2014 hinaus mit Abgabenforderungen konfrontiert, die an sich nicht mehr haltbar und längst zu überarbeiten seien. Obwohl eine Übergangsfrist und die Rechtmäßigkeit der gewerblichen Pokeranbieter festgestellt worden sei, werde die Glücksspielabgabe weiter angefordert. Durch eine klarere gesetzliche Regelung bis 2020 konnten entsprechend umsatzsteigernde Maßnahmen bereits getroffen und weiter effektiv umgesetzt werden. Das Vertrauen der Gäste in die Geschäftstätigkeit der Bf. konnte weiter zurück gewonnen werden. Das negative Eigenkapital in der Bilanz 2017 von 22.573.854,42 Euro würde sich als unrechtmäßige Forderung des Finanzamtes neutralisieren und sich ein positiver Saldo ergeben.
4.3. Vorbereitungsvorhalt
Mit der Ladung zur mündlichen Senatsverhandlung wurde der Bf. und dem Finanzamt der Vorbereitungsvorhalt zur mündlichen Verhandlung vom 25. Juni 2019 mitgereicht, und beiden Parteien die Möglichkeit gegeben, dazu eine schriftliche Stellungnahme abzugeben oder weitere Beweismittel zu nennen.
Die Bf. hat bis zum Tag vor der mündlichen Verhandlung keine schriftliche Stellungnahme abgegeben.
Das Finanzamt hat bis zum Tag vor der mündlichen Verhandlung keine schriftliche Stellungnahme abgegeben.
4.4. Mündliche Verhandlung vor dem Senat
Die mündliche Verhandlung vor dem Senat fand am 26. August 2019 statt:
Zum Sachverhalt befragt, gab der PV an: "Zum Umstand, dass die Abgabe selbst berechnet wurde, und die Selbstberechnung sich als richtig erwiesen hat, wird vorgebracht, dass es sich lediglich um eine Schätzung handelte. Eine Berechnung war nicht möglich, da die Bf. nicht weiß, wie hoch die Einsätze der Spieler sind. Lediglich um finanzstrafrechtliche Folgen zu vermeiden, erfolgte die Schätzung mit diesem Betrag. Zu den Turnieren wird vorgebracht, dass diese auch von Besuchern aus dem EU-Ausland besucht werden, die eigens dafür anreisen und die Bf. mit ihren Dienstleistungen auch im grenzüberschreitenden Bereich im direkten Wettbewerb mit **SPIELBANKKONZESSIONÄRIN** steht."
Anschließend beantragte der PV die Vernehmung von Herrn ****NAME*Gf****, ehemaliger Geschäftsführer der Bf., der zur Verhandlung persönlich für die Bf. erschienen war, zum Beweis dafür, dass es wirtschaftlich und organisatorisch nicht möglich sei, eine Abgabe in Höhe von 16% der Einsätze zu erheben, zu berechnen und abzuführen. Die Einvernahme des ehemaligen Geschäftsführers der Bf. als Auskunftsperson ergab folgendes:
"Ich war von 2010 bis zur Schließung des Unternehmens Geschäftsführer. Das Unternehmen ist, glaube ich seit September oder Oktober 2018 geschlossen, das war im Zusammenhang mit dem Insolvenzverfahren. Grundsätzlich ist es so, dass wir für Organisation und Kundenbetreuung, sowie Bankangelegenheiten und administrative Sachen zuständig waren. Wir vermieten unsere Leistung. Der Dealer am Tisch leitet das Spiel. Sollte es Zweifelsfragen geben, konnten sich die Teilnehmer in 2. Instanz an den Saalchef wenden. Sollte noch immer etwas zweifelhaft sein, wurde auch ich zur Schlichtung solcher Zweifelsfragen eingesetzt. Ich habe die komplette Ausbildung zum Carddealer gemacht und gleich danach bei der Vorgängerin der Bf. als Carddealer zu arbeiten begonnen. Als die Vorgängerin der Bf. in Konkurs gegangen ist, habe ich die Geschäftsführung bei der Bf. übernommen.
Die Räumlichkeiten wurden angemietet, von der Bf. Dort befindet sich auch eine Gastronomie, die aber nicht von der Bf. betrieben wird. In den Räumlichkeiten sind die Tische, auf denen die Varianten von Kartenpoker gespielt werden. Die Gäste kommen zu uns ins Haus und je nach dem, ob sie Cashgame und Turnier spielen wollen, sagen sie das dem Saalchef, sowie, welche Art von Poker sie spielen möchten. Der Saalchef führt die Gäste zu dem entsprechenden Tisch. Beim Cashgame gibt es das Rake (Tischgeld), das ist unsere Einnahme, beim Turnierspiel ist das entry fee, das ist unsere Einnahme. Das entry fee wird zu Beginn des Turniers eingehoben, das Rake wird nach jeder gespielten Hand, d.h. nach jeder Runde eingehoben. Das Rake kann unterschiedlich sein und wird erst nach der Potgröße (Gewinn) berechnet. Das Rake war bei uns im Haus zwischen 1 und maximal 15 Euro, das kann in anderen Häusern anders sein. Es obliegt dem Betreiber des jeweiligen Pokercasinos in welcher Höhe er das Rake festlegt.
Die Problematik ist, dass von den Einsätzen einer jeden Runde 16% als Glücksspielabgabe abzuführen wären. Wir bekommen von den Gästen eine Tischmiete. Die Steuer wird aber von den Einsätzen berechnet, das ist für uns nicht machbar. Das ist deshalb für uns nicht machbar, weil wie sollen wir den Spielteilnehmern die Glücksspielabgabe von den Einsätzen abziehen, wie sollen wir das wegnehmen. Wir haben eine Vereinbarung mit den Spielteilnehmern, der Spielteilnehmer weiß, dass für die Dienstleistung ein Betrag von 1 bis 15 Euro eingehoben wird, er weiß, dass er für die Dienstleistung bezahlt.
Wir haben einmal versucht, für uns herauszufinden, was passiert, wenn ich für jeden Pot 16% abführen würde. Wir haben ein Kartenpokerspiel mit 9 Personen gespielt und nach jeder Runde 16% abgezogen. Nach einer viertel Stunde war das Spielkapital wegbesteuert (siehe Beispiele in den Beschwerden).
Die Berechnung der Glücksspielabgaben in dem Sinn ist schwierig, weil ein Spiel ca. 1 Minute dauert. Ich müsste quasi zu jedem Gast einen Mitarbeiter dazusetzen, dass dieser vom Einsatz die Glücksspielabgabe berechnet. Dazu kommt, dass unser Betrieb grundsätzlich viel Personal braucht. Ich war in pokertechnisch in vielen Ländern unterwegs, dort war die Einhebung der Steuern einfacher geregelt als in Österreich, weil dort die Einnahmen des Casinos besteuert werden und nicht die gespielten Hände.
Die Abfuhr der Glücksspielabgaben ist nicht möglich, weil die Abgabe nicht eingehoben werden kann.
Wirtschaftliche Unmöglichkeit der Einbehaltung der Abgabe: wenn das Finanzamt zu jedem Tisch jemanden setzt, der die Glücksspielabgabe einhebt, wird niemand mehr kommen. Die Gäste kommen nicht nur aus Österreich, sondern auch aus den Nachbarstaaten, sowohl um Turnier, als auch Cashgame zu spielen.
Organisatorische Unmöglichkeit der Einbehaltung der Abgabe: weil man dazu massiv mehr Personal bräuchte.
Herr ****BEISITZER****: "Es müssten 16% der Einsätze abgeführt werden, auch wenn jemand verliert?"
Der Gf.: "Ja, vom Verlierer müsste ich noch 16% vom Einsatz wegnehmen."
Über Befragen des PV gab der ehemalige Geschäftsführer an, dass bei der Bf. verboten war, mit Bargeld zu spielen. Die Spielteilnehmer wechselten das Bargeld in Jetons und die Einsätze wurden in Jetons geleistet. Wenn nach den Spielen bei dem betreffenden Spielteilnehmer noch Jetons übrig waren, tauschte er die Jetons an der Kassa wieder in Bargeld um. Außerhalb des Casinos hatten die Spielmünzen keinen Wert.
Das Finanzamt hatte keine Fragen an die Auskunftsperson.
Danach wurde die mündliche Verhandlung fortgesetzt. Der PV gab folgende Stellungnahme ab:
"Zum Beihilfenverbot wird auf die jüngste Rechtsprechung des VwGH vom 21.1.2019 Ra 2018/17/0150 verwiesen. Hier ging es um die Frage, ob es eine verbotene Beihilfe darstellt, dass die **SPIELBANKKONZESSIONÄRIN** nach § 57 Abs. 6 GSpG von dieser Abgabe vollständig befreit ist. Der VwGH führte dazu aus, dass diese Befreiung (Begünstigung) durch gemeinwirtschaftliche Verpflichtungen der **SPIELBANKKONZESSIONÄRIN** gerechtfertigt sein könnte. Die Bundesregierung brachte dazu bereits im Verfahren vor dem VfGH vom 27.6.2013 vor, dass die Ungleichbehandlung durch Spielerschutzerwägungen gerechtfertigt sei und Poker ein hohes Suchtpotenzial aufweise. Dazu bringt die Bf. vor, dass Spielerschutzerwägungen eine verbotene Beihilfe nicht aufwiegen, wenn die Konzessionärin gleichzeitig massive Werbemaßnahmen für Glücksspiel durchführt. Auf der Website der **SPIELBANKKONZESSIONÄRIN**, abgerufen am heutigen Tag, wird die sogenannte *SPIELBANKKONZESSIONÄRIN* Poker Tour 2019 mit folgenden Worten beworben: "Spannung pur! Ob Neueinsteiger, Hobbyspieler oder Fortgeschrittener. Wir bieten Ihnen und Ihrer Familie auch rund um die Pokertische beste Unterhaltung und ein unvergessliches Erlebnis." Nach Ansicht der Bf. sind Spielerschutzerwägungen lediglich ein Vorwand dafür, die **SPIELBANKKONZESSIONÄRIN** vor Wettbewerb zu schützen. Wettbewerber werden durch die Glücksspielabgabe, die die **SPIELBANKKONZESSIONÄRIN** nicht zu entrichten hat, so hoch besteuert, dass sie letztlich alle Insolvenz anmelden mussten.
Zur Dienstleistungsfreiheit wird vorgebracht, dass das Beweisverfahren ergeben hat, dass die Bf. auch grenzüberschreitend im Wettbewerb mit den *SPIELBANKKONZESSIONÄRIN* steht und daher Schutz durch die passive Dienstleistungsfreiheit genießt. In der E 21.1.2019, führte der VwGH aus, dass der Bf. die Schlechterstellung gegenüber der Spielbankenkonzessionärin darzulegen hat. Dazu wird ausgeführt, dass die **SPIELBANKKONZESSIONÄRIN** lediglich die Spielbankabgabe zu bezahlen hat, welche lediglich 30% der Spieleinnahmen beträgt, im konkreten Fall sind das 30% des Rake. Während also die Bf. eine Abgabe in Höhe des 4-fachen ihrer Einnahmen (Rake) zu bezahlen hat, zahlen die *SPIELBANKKONZESSIONÄRIN* eine Abgabe von nur 1/3 des Rake. Eine Rechtfertigung dafür aus Spielerschutzüberlegungen ist nicht erkennbar und es ist Sache der Bundesregierung, den Nachweis zu erbringen, inwiefern eine abgabenrechtliche Begünstigung der **SPIELBANKKONZESSIONÄRIN** dem Spielerschutz dient. Nach Ansicht der Bf. spielt viel eher eine Rolle, dass die Einnahmen der **SPIELBANKKONZESSIONÄRIN**, an der der Bund beteiligt ist, erhöht werden sollen.
Abschließend stellte der PV zwei Beweisanträge:
"Es wird weiters der Antrag gestellt, auf Bestellung eines amtlich beeideten und gerichtlich zertifizierten Sachverständigen, aus dem Bereich Rechnungswesen, Fachgruppe 92, zum Beweis dafür, dass die Glücksspielabgabe es
1. unmöglich macht, die Gewerbeberechtigung auszuüben,
2. unmöglich macht, die Kosten des Unternehmens zu decken,
3. nicht auf den Spieler abgewälzt werden kann,
4. auch nicht durch eine Erhöhung der Preise auf die Dienstleistung entrichtet werden könnte und
5. die Anmeldung der Abgabe bzw. ihre Selbstberechnung in der vom Gesetzgeber gewünschten Höhe zwingend zur Insolvenz des Unternehmens führt.
Weiters wird der Antrag gestellt, auf Erhebung der Zusatzkosten, welche der **SPIELBANKKONZESSIONÄRIN** durch die Einhaltung der ihr angeblich auferlegten Verpflichtungen entstehen."
Dazu verwies das Finanzamt auf das bisherige Vorbringen, sowie auf die bisher ergangene Rechtsprechung. Abschließend beantragte das Finanzamt, die Beschwerden als unbegründet abzuweisen. Der PV verwies auf das bisher Vorgebrachte und beantragte, den Beschwerden stattzugeben.
5. Gesetzliche Grundlagen
Definition des Glücksspiels in der Fassung ab 20. Juli 2010
§ 1 Abs. 1 GSpG: Ein Glücksspiel im Sinne dieses Bundesgesetzes ist ein Spiel, bei dem die Entscheidung über das Spielergebnis ausschließlich oder vorwiegend vom Zufall abhängt.
§ 1 Abs. 2 GSpG: Glücksspiele im Sinne dieses Bundesgesetzes sind insbesondere die Spiele Roulette, Beobachtungsroulette, Poker, Black Jack, Two Aces, Bingo, Keno, Baccarat und Baccarat chemin de fer und deren Spielvarianten. Der Bundesminister für Finanzen ist ermächtigt, aus Gründen der Rechtssicherheit durch Verordnung weitere Spiele als Glücksspiele im Sinne des Abs. 1 zu bezeichnen
.....
(4) Der Bundesminister für Finanzen hat eine Stelle für Spielerschutz einzurichten, deren Aufgabe die inhaltliche, wissenschaftliche und finanzielle Unterstützung des Spielerschutzes ist. Zur Finanzierung der Arbeit dieser Stelle wird ab 1. Jänner 2011 ein Finanzierungsbeitrag von 1 vT der jeweiligen Bemessungsgrundlage nach § 28 sowie nach § 57 Abs. 4 gemeinsam mit den jeweiligen Abgaben erhoben."
Ausspielung
Gemäß § 2 Abs. 1 GSpG sind Ausspielungen Glücksspiele,
1. die ein Unternehmer veranstaltet, organisiert, anbietet oder zugänglich macht und
2. bei denen Spieler oder andere eine vermögenswerte Leistung in Zusammenhang mit der Teilnahme am Glücksspiel erbringen (Einsatz) und
3. bei denen vom Unternehmer, von Spielern oder von anderen eine vermögenswerte Leistung in Aussicht gestellt wird (Gewinn).
Gemäß § 2 Abs. 2 GSpG ist Unternehmer, wer selbstständig eine nachhaltige Tätigkeit zur Erzielung von Einnahmen aus der Durchführung von Glücksspielen ausübt, mag sie auch nicht auf Gewinn gerichtet sein. Wenn von unterschiedlichen Personen in Absprache miteinander Teilleistungen zur Durchführung von Glücksspielen mit vermögenswerten Leistungen im Sinne der Z 2 und 3 des Abs. 1 an einem Ort angeboten werden, so liegt auch dann Unternehmereigenschaft aller an der Durchführung des Glücksspiels unmittelbar beteiligten Personen vor, wenn bei einzelnen von ihnen die Einnahmenerzielungsabsicht fehlt oder sie an der Veranstaltung, Organisation oder dem Angebot des Glücksspiels nur beteiligt sind.
...."
Spielbanken
Konzession
§ 21. (1) Der Bundesminister für Finanzen kann das Recht zum Betrieb einer Spielbank durch Konzession übertragen. Der Konzessionserteilung hat eine öffentliche Interessentensuche voranzugehen, ….
(2) Eine Konzession nach Abs. 1 darf nur einem Konzessionswerber erteilt werden, wenn
1. das Unternehmen in der Rechtsform einer Kapitalgesellschaft mit Aufsichtsrat geführt wird und sein Sitz nach Maßgabe des Abs. 3 in einem Mitgliedstaat der Europäischen Union oder in einem Staat des Europäischen Wirtschaftsraumes liegt und die Abwicklung des Spielbetriebs in einer Form erfolgt, die eine effektive und umfassende ordnungspolitische Aufsicht nach diesem Bundesgesetz erlaubt;
2. die Satzung der Kapitalgesellschaft keine Bestimmungen enthält, die die Sicherheit und die ordnungsgemäße Spieldurchführung gefährden;
3. die Kapitalgesellschaft über ein eingezahltes Stamm- oder Grundkapital von mindestens 22 Millionen Euro verfügt, deren rechtmäßige Mittelherkunft in geeigneter Weise nachgewiesen wird und die den Geschäftsleitern unbeschränkt und nachgewiesener Maßen für den Spielbetrieb im Inland zur freien Verfügung stehen und im Zeitpunkt der Konzessionsbewerbung nicht durch Bilanzverluste geschmälert worden sind (Haftungsstock);
….
7. vom Konzessionswerber insbesondere auf Grund seiner Erfahrungen, Infrastrukturen, Entwicklungsmaßnahmen und Eigenmittel sowie seiner Systeme und Einrichtungen zur Spielsuchtvorbeugung, zum Spielerschutz, zur Geldwäsche- und Kriminalitätsvorbeugung, zur Betriebssicherheit, zur Qualitätssicherung, zur betriebsinternen Aufsicht und zu anderen ihn treffenden Bestimmungen dieses Bundesgesetzes die beste Ausübung der Konzession zu erwarten ist.
(3) Zur Bewerbung um eine Konzession ist für Interessenten ein Sitz in einem Mitgliedstaat der Europäischen Union oder einem Staat des Europäischen Wirtschaftsraumes erforderlich. …. zulässig. Über die Organbeschlüsse der ausländischen Kapitalgesellschaft ist dem Bundesminister für Finanzen unverzüglich zu berichten, soweit sie auch die Geschäftsführung der österreichischen Niederlassung betreffen. Zudem hat eine getrennte Buch- und Geschäftsführung für alle inländischen Betriebe zu erfolgen.
(4) Vor der Entscheidung über den Antrag ist dem Bundesland und der Gemeinde, in deren Bereich eine Spielbank errichtet werden soll, Gelegenheit zur Stellungnahme zu geben.
(5) Insgesamt dürfen höchstens fünfzehn Konzessionen im Sinne des Abs. 1 erteilt werden.
….
(7) Die Konzession ist bei sonstiger Nichtigkeit schriftlich zu erteilen; sie kann mit Nebenbestimmungen versehen sein, wenn dies im öffentlichen Interesse, insbesondere der Sicherung der Entrichtung der Konzessionsabgaben und der Glücksspielabgabe liegt. Im Konzessionsbescheid ist insbesondere festzusetzen:
1. Die Dauer der Konzession; sie darf 15 Jahre nicht überschreiten;
2. die Höhe und die Art der zu leistenden Sicherstellung; diese ist mit mindestens 10 vH des Grundkapitals des Konzessionärs festzusetzen; die finanziellen Verpflichtungen des Konzessionärs gegenüber dem Bund und den Spielern sind hiebei zu berücksichtigen;
3. die Bezeichnung und die Art der Durchführung der Glücksspiele, die in Spielbanken betrieben werden dürfen;
4. die Art der Kontrolle der Besucher gemäß § 25;
5. die Spielzeit in den Spielbanken und der Preis der Eintrittskarten;
6. eine Betriebspflicht für Lebendspiele.
….
(9) Der Konzessionär hat dem Bundesminister für Finanzen für unmittelbar im Spielbetrieb eingesetzte Personen, insbesondere Croupiers, eine Ausbildungsordnung vorzulegen.
(10) Der Bundesminister für Finanzen ist ermächtigt, durch Verordnung bau- und spieltechnische Merkmale von Glücksspielautomaten in Spielbanken näher zu regeln sowie Aufzeichnungs- und Aufbewahrungspflichten festzulegen. Glücksspielautomaten in Spielbanken sind verpflichtend an die Bundesrechenzentrum GmbH elektronisch anzubinden…. .
….
[Folgende Bestimmung wurde mit dem Steuerreformgesetz 2015/16 BGBl. 2015/118 wieder gestrichen; Pokersalon
§ 22. Der Bundesminister für Finanzen kann das Recht zum Betrieb weiterer drei Spielbanken durch Erteilung von Konzessionen gemäß § 21 übertragen, wenn er diese zum ausschließlichen Betrieb jeweils eines Pokersalons für Pokerspiele ohne Bankhalter im Lebendspiel beschränkt. Dabei reduziert sich das erforderliche eingezahlte Grundkapital auf mindestens 5 Millionen Euro.]
§ 23. Treten nach Erteilung der Konzession Umstände auf, die den Voraussetzungen des § 21 Abs. 2 widersprechen oder verletzt der Konzessionär Bestimmungen dieses Bundesgesetzes oder des Konzessionsbescheides oder sonstiger Bescheide oder Verordnungen, die auf Grund dieses Bundesgesetzes erlassen worden sind, so hat dieser
1. dem Konzessionär unter Androhung einer Zwangsstrafe aufzutragen, den entsprechenden Zustand binnen jener Frist herzustellen, die im Hinblick auf die Erfüllung seiner Aufgaben und im Interesse der Spielteilnehmer angemessen ist;
2. im Wiederholungsfall den Geschäftsleitern des Konzessionärs die Geschäftsführung ganz oder teilweise zu untersagen;
3. die Konzession zurückzunehmen, wenn andere Maßnahmen nach diesem Bundesgesetz die Einhaltung dieses Bundesgesetzes nicht sicherstellen können.
….
Spielbankbesucher
§ 25. (1) Der Besuch der Spielbank ist nur Personen gestattet, die das achtzehnte Lebensjahr vollendet haben.
(2) Die Spielbankleitung kann Personen ohne Angabe von Gründen vom Besuch der Spielbank ausschließen. Die Spielbankleitung hat ihre Mitarbeiter in Zusammenarbeit mit zumindest einer Spielerschutzeinrichtung im Umgang mit Spielsucht zu schulen.
(3) Entsteht bei einem Staatsbürger eines Mitgliedstaates der Europäischen Union oder eines Staates des Europäischen Wirtschaftsraumes die begründete Annahme, dass Häufigkeit und Intensität seiner Teilnahme am Spiel für den Zeitraum, in welchem er mit dieser Intensität und Häufigkeit spielt, das Existenzminimum gefährden, hat die Spielbankleitung wie folgt vorzugehen:
1. Es sind Auskünfte bei einer unabhängigen Einrichtung einzuholen, die Bonitätsauskünfte erteilt (unabhängige Bonitätsauskünfte).
a) Wird durch diese Auskünfte die begründete Annahme, dass die fortgesetzte und unveränderte Teilnahme am Spiel das konkrete Existenzminimum dieses Spielers gefährdet, bestätigt, hat die Spielbank durch besonders geschulte Mitarbeiter mit dem Spielteilnehmer ein Beratungsgespräch zu führen, in welchem der Spielteilnehmer auf die Gefahren der Spielteilnahme und der möglichen Gefährdung des Existenzminimums hingewiesen wird und sind dem Spielteilnehmer Informationen über Beratungseinrichtungen anzubieten.
b) Nimmt der Spielteilnehmer trotz dieses Beratungsgespräches unverändert häufig und intensiv am Spiel teil oder verweigert er dieses Beratungsgespräch, ist die Spielbankleitung verpflichtet, ihm den Besuch der Spielbank dauernd oder auf eine bestimmte Zeit zu untersagen oder die Anzahl der Besuche einzuschränken.
2. Ist die Einholung unabhängiger Bonitätsauskünfte nicht möglich oder sind diese nicht aussagekräftig, so hat die Spielbank
a) durch besonders geschulte Mitarbeiter mit dem Spielteilnehmer ein Beratungsgespräch zu führen, in welchem der Spielteilnehmer auf die Gefahren der Spielteilnahme und der möglichen Gefährdung des Existenzminimums hingewiesen wird und sind dem Spielteilnehmer Informationen über Beratungseinrichtungen anzubieten.
b) Im Anschluss daran ist der Spielteilnehmer zu befragen, ob seine Einkommens- und Vermögenssituation derart ist, dass durch seine Teilnahme am Spiel sein konkretes Existenzminimum gefährdet ist.
c) Wird durch das Beratungsgespräch und die Befragung des Spielteilnehmers über eine allfällige Gefährdung seines Existenzminimums die begründete Annahme bestätigt, dass die fortgesetzte und nach Häufigkeit und Intensität unveränderte Teilnahme am Spiel sein konkretes Existenzminimum gefährden würde, oder verweigert der Spielteilnehmer das Beratungsgespräch oder die Auskunft, ob eine Gefährdung seines Existenzminimums vorliegt, ist die Spielbankleitung verpflichtet, ihm den Besuch der Spielbank dauernd oder auf eine bestimmte Zeit zu untersagen oder die Anzahl der Besuche einzuschränken.
Eine über die Einholung der unabhängigen Bonitätsauskünfte, das Beratungsgespräch oder die Befragung des Spielteilnehmers hinausgehende Überprüfungs- und Nachforschungspflicht der Spielbankleitung besteht nicht.
Verletzt die Spielbankleitung die nach Z 1 und 2 vorgeschriebenen Pflichten und beeinträchtigt der Spielteilnehmer durch die deshalb unveränderte Teilnahme am Spiel sein konkretes Existenzminimum, haftet die Spielbankleitung für die dadurch während der unveränderten Teilnahme am Spiel eintretenden Verluste. Das Existenzminimum ist nach der Exekutionsordnung in der jeweils geltenden Fassung (allgemeiner monatlicher Grundbetrag) zu ermitteln.
Die Haftung ist innerhalb von drei Jahren nach dem jeweiligen Verlust gerichtlich geltend zu machen. Die Spielbankleitung haftet nicht, sofern der Spielteilnehmer bei seiner Befragung nicht offensichtlich unrichtige oder unvollständige Angaben macht oder wenn ihr bei der Erfüllung ihrer Pflichten nur leichte Fahrlässigkeit vorwerfbar ist.
Dieser Absatz regelt abschließend alle Ansprüche des Spielteilnehmers gegen die Spielbankleitung im Zusammenhang mit der Gültigkeit des Spielvertrages oder mit Verlusten aus dem Spiel.
(4) Den Spielbankbesuchern ist das Mitführen technischer Hilfsmittel, die geeignet sind, sich oder anderen einen Spielvorteil zu verschaffen, nicht gestattet.
(5) Ergeben sich begründete Anhaltspunkte dafür, daß eine Person technische Hilfsmittel im Sinne des Abs. 4 mit sich führt, so hat die Spielbankleitung diese vom Besuch der Spielbank auszuschließen.
Besuchs- und Spielordnung
§ 26. (1) Der Konzessionär hat für jede von ihm betriebene Spielbank eine Besuchs- und Spielordnung festzusetzen und diese in geeigneter Weise durch Anschlag den Besuchern zur Kenntnis zu bringen. Die Besuchs- und Spielordnung hat insbesondere zu enthalten …. (2) Die Besuchs- und Spielordnung bedarf der Bewilligung des Bundesministers für Finanzen…...
….
Spielbankabgabe
§ 28. (1) Der Konzessionär hat eine Spielbankabgabe zu entrichten.
(2) Die Bemessungsgrundlage für die Spielbankabgabe bilden die Jahresbruttospieleinnahmen eines jeden Spielbankbetriebes, im Falle von Ausspielungen über Glücksspielautomaten die um die gesetzliche Umsatzsteuer verminderten Jahresbruttospieleinnahmen aus Glücksspielautomaten eines jeden Spielbankbetriebes. Jahresbruttospieleinnahmen sind die im Kalenderjahr dem Spielbankbetrieb zugekommenen Spieleinsätze und die ihm von den Spielern für die Überlassung von Spieleinrichtungen geleisteten Vergütungen abzüglich der vom Spielbankbetrieb ausgezahlten Gewinne und entweder jener Einsätze, die in Form besonders gekennzeichneter, in Geld nicht einlösbarer und nur mit Genehmigung des Bundesministers für Finanzen von der Spielbankunternehmung ausgegebener Spielmarken (Sonderjetons) geleistet werden oder eines vom Bundesminister für Finanzen festgesetzten Betrages für jeden registrierten Spielbankbesuch.
(3) Die Spielbankabgabe beträgt 30 vH.
§ 29. (1) Die Spielbankabgabe ist am 15. des der Spieleinnahme folgenden zweiten Kalendermonats fällig.
(2) Bis zum in Abs. 1 genannten Zeitpunkt hat der Konzessionär über die abzuführenden Beträge an Spielbankabgabe dem Finanzamt für Gebühren und Verkehrsteuern, ab 1. Jänner 2011 dem Finanzamt für Gebühren, Verkehrsteuern und Glücksspiel, eine nach Spielbanken und Spielarten gegliederte Abrechnung vorzulegen. Diese Abrechnung gilt als Abgabenerklärung. Der Konzessionär hat bis zum 15. März des Folgejahres für das abgelaufene Kalenderjahr eine Steuererklärung abzugeben, die alle in diesem Kalenderjahr endenden Veranlagungszeiträume zu erfassen hat. Diese Erklärung gilt als Jahresabgabenerklärung.
(3) Das Finanzamt ist unbeschadet der Befugnisse, die ihm nach der Bundesabgabenordnung, BGBl. Nr. 194/1961, in der jeweils geltenden Fassung, zustehen, berechtigt, den Betrieb der Spielbank zu überwachen. Insbesondere dürfen Organe des Finanzamtes zu Überwachungszwecken während der Spielzeit in den Räumen, in denen die Spiele stattfinden, anwesend sein. Der Konzessionär ist verpflichtet, solche Überwachungsmaßnahmen zu dulden. Die mit der Vornahme der Überwachungsmaßnahmen beauftragten Organe haben sich zu Beginn der Amtshandlung unaufgefordert über ihre Person und darüber auszuweisen, daß sie zur Vornahme der Überwachungsmaßnahmen berechtigt sind. Die Kosten der Überwachung trägt der Konzessionär; das Finanzamt hat den monatlichen Personal- und Sachaufwand für die Überwachung des Konzessionärs gemäß der WFA-FinAV, BGBl. II Nr. 490/2012, in der Fassung der Kundmachung BGBl. II Nr. 78/2019, mit Bescheid zu bemessen und dem Konzessionär innerhalb von drei Monaten nach Ablauf jedes Kalendermonates zur Zahlung innerhalb von 14 Tagen vorzuschreiben.
….
§ 31. (1) Der Bundesminister für Finanzen hat den Konzessionär auf die Einhaltung der Bestimmungen dieses Bundesgesetzes oder des Konzessionsbescheides oder sonstiger Bescheide oder Verordnungen, die auf Grund dieses Bundesgesetzes erlassen worden sind, zu überwachen. Zu diesem Zweck kann der Bundesminister für Finanzen auch in die Bücher und Schriften des Konzessionärs Einschau nehmen; er kann Überprüfungen an Ort und Stelle vornehmen oder durch Abschlußprüfer oder sonstige sachverständige Personen vornehmen lassen und vom Konzessionär Auskünfte über Geschäftsvorfälle, die Vorlage von Zwischenabschlüssen und von Ausweisen in bestimmter Form und Gliederung verlangen; solchen Verlangen hat der Konzessionär unverzüglich zu entsprechen. Organe und Personen, deren sich der Bundesminister für Finanzen zur Ausübung seines Aufsichtsrechtes bedient, dürfen die Geschäftsräume des Konzessionärs betreten und haben sich zu Beginn der Amtshandlung unaufgefordert durch Vorlage eines schriftlichen Prüfungsauftrages auszuweisen. Die Kosten der Überwachung trägt der Konzessionär; der Bundesminister für Finanzen hat den jährlichen Personal- und Sachaufwand für die Überwachung des Konzessionärs gemäß der WFA-FinAV, BGBl. II Nr. 490/2012, in der Fassung der Kundmachung BGBl. II Nr. 78/2019, mit Bescheid zu bemessen und dem Konzessionär innerhalb von drei Monaten nach Ablauf jedes Kalenderjahres zur Zahlung innerhalb von 14 Tagen vorzuschreiben.
….
(3) Der geprüfte Jahresabschluß, Lagebericht, Konzernabschluß und Konzernlagebericht sowie der Prüfungsbericht über den Jahresabschluß, Lagebericht, Konzernabschluß und Konzernlagebericht sind vom Konzessionär längstens innerhalb von sechs Monaten nach Abschluß des Geschäftsjahres dem Bundesminister für Finanzen vorzulegen.
(4) Der Bundesminister für Finanzen kann im Rahmen seines Aufsichtsrechtes Bescheide erlassen.
(5) Der Bundesminister für Finanzen hat bei der Aufsicht nach Abs. 1 zur Verhinderung der Geldwäscherei und Terrorismusfinanzierung die Bestimmungen der § 8 Abs. 5, § 9 Abs. 4, § 9a Abs. 2 bis 5, § 18, § 19 Abs. 3, § 24 Abs. 5, § 25 Abs. 2 und 5 bis 10, § 26, § 31 Abs. 1, 2 und 3 Z 1, § 32, § 33, § 37, § 38, § 40 Abs. 2 bis 4 FM-GwG sinngemäß anzuwenden.
….
§ 31b. Abs. 6 GSpG lautet: Ergibt sich nach Konzessions- bzw. Bewilligungserteilung nach den §§ 14, 21 und 56 Abs. 2, dass die nach diesem Gesetz wahrzunehmenden Interessen trotz Einhaltung der im Genehmigungsbescheid vorgeschriebenen Auflagen nicht hinreichend geschützt sind, so hat der Bundesminister für Finanzen die nach dem Stand der Technik oder der sonst in Betracht kommenden Wissenschaften zur Erreichung dieses Schutzes erforderlichen anderen oder zusätzlichen Auflagen vorzuschreiben;…..
(9) Jede Änderung in der Person der Geschäftsleiter und Aufsichtsratsmitglieder ist dem Bundesminister für Finanzen unverzüglich schriftlich anzuzeigen…...
Verhinderung der Geldwäscherei und Terrorismusfinanzierung im Glücksspielmarkt
§ 31c. (1) Die Konzessionäre nach den §§ 14 und 21 haben die potentiellen Risiken der Geldwäscherei und Terrorismusfinanzierung, denen ihr Unternehmen ausgesetzt ist, nach § 4 FM-GwG zu ermitteln, zu bewerten und aufzuzeichnen. Die Konzessionäre haben § 8 Abs. 1 bis 4 und § 9 Abs. 1 und 2 sowie § 9a Abs. 1 FM-GwG anzuwenden.
(2) Die Konzessionäre nach § 21 haben:
1. stets die Sorgfaltspflichten nach § 6 Abs. 1 Z 1, Abs. 2 Z 1 und Abs. 3 FM-GwG (Identitätsfeststellung der Besucher) bei Besuch der Spielbank sowie die Bestimmungen der § 2, § 5 Z 1 und 2 sowie 4 und 5, § 7 Abs. 5 bis 7, § 11 Abs. 1, 3 und 4, §§ 13 bis 15, § 16 Abs. 1, 2, 4 und 5, § 17, §§ 19 bis 21, § 23, § 24 Abs. 1 bis 4 und 6 sowie § 40 Abs. 1 FM-GwG anzuwenden und über Systeme zu verfügen, die es ihnen ermöglichen, auf eine Art und Weise, die die vertrauliche Behandlung der Anfragen sicherstellt, auf Anfragen der Geldwäschemeldestelle oder der Aufsichtsbehörde vollständig und rasch Auskunft darüber zu geben,
….."
Glücksspielabgaben gemäß § 57, § 59 GSpG
"Gemäß § 57 Abs. 1 GSpG unterliegen Ausspielungen, an denen die Teilnahme vom Inland aus erfolgt, - vorbehaltlich der folgenden Absätze - einer Glücksspielabgabe von 16 vH vom Einsatz. Bei turnierförmiger Ausspielung treten außerhalb des Anwendungsbereiches von § 17 Abs. 2 GSpG an Stelle der Einsätze die in Aussicht gestellten vermögenswerten Leistungen (Gewinne in Geld, Waren oder geldwerten Leistungen) des Turniers.
(2) Für Ausspielungen gemäß § 12a (elektronische Lotterien), an denen die Teilnahme vom Inland aus erfolgt und die nicht über Video-Lotterie-Terminals im Sinne des § 12a Abs. 2 durchgeführt werden, beträgt die Glücksspielabgabe 40 vH der Jahresbruttospieleinnahmen. Besteht eine Abgabenpflicht nach § 17 Abs. 3, sind Ausspielungen gemäß § 12a von der Glücksspielabgabe befreit.
(3) Für Ausspielungen mit Glücksspielautomaten und für elektronische Lotterien über Video-Lotterie-Terminals beträgt die Glücksspielabgabe - vorbehaltlich Abs. 4 - 30 vH der um die gesetzliche Umsatzsteuer verminderten Jahresbruttospieleinnahmen.
(4) Für Ausspielungen mit Glücksspielautomaten und für elektronische Lotterien über Video-Lotterie-Terminals beträgt die Glücksspielabgabe 10 vH der um die gesetzliche Umsatzsteuer verminderten Jahresbruttospieleinnahmen (Bundesautomaten- und VLT-Abgabe), wenn sie
-im Falle von Glücksspielautomaten auf Basis einer landesrechtlichen Bewilligung nach § 5 oder
-im Falle von Video-Lotterie-Terminals auf Basis einer Konzession des Bundesministers für Finanzen nach § 14 durchgeführt werden.
Die Regelung von Zuschlägen der Länder (Gemeinden) zur Bundesautomaten- und VLT-Abgabe bleibt den jeweiligen Finanzausgleichsgesetzen vorbehalten.
(5) Jahresbruttospieleinnahmen sind die Einsätze abzüglich der ausgezahlten Gewinne eines Kalenderjahres.
(6) Von der Glücksspielabgabe befreit sind
1. Ausspielungen in vom Bundesminister für Finanzen konzessionierten Spielbanken im Sinne des § 21,
2. Ausspielungen mit Glücksspielautomaten auf Basis einer landesrechtlichen Bewilligung unter Einhaltung der Vorgabe des § 4 Abs. 2 in der Fassung vor dem Bundesgesetz BGBl. I Nr. 73/2010,
3. die Ausnahmen aus dem Glücksspielmonopol des § 4 Abs. 3 bis 6.
Gemäß § 59 Abs. 1 GSpG entsteht die Abgabenschuld in den Fällen der §§ 57 und 58:
2. …. mit der Vornahme der Handlung, die den Abgabentatbestand verwirklicht. ....
Gemäß § 59 Abs. 2 GSpG sind Schuldner der Abgaben nach §§ 57 und 58
- der Konzessionär (§ 17 Abs. 6) oder der Bewilligungsinhaber (§ 5);
- bei Fehlen eines Berechtigungsverhältnisses der Vertragspartner des Spielteilnehmers, der Veranstalter der Ausspielung sowie der Vermittler (Abs. 5) .... zur ungeteilten Hand.
Gemäß § 59 Abs. 3 GSpG haben die Schuldner der Abgaben nach §§ 57 und 58 diese jeweils für ein Kalendermonat selbst zu berechnen und bis zum 20. des dem Entstehen der Abgabenschuld folgenden Kalendermonats (Fälligkeitstag) an das Finanzamt für Gebühren, Verkehrsteuern und Glücksspiel zu entrichten. Die Schuldner der Abgaben nach § 58 Abs. 3 haben diese jeweils für ein Kalenderjahr selbst zu berechnen und bis zum 20. des dem Entstehen der Abgabenschuld folgenden Kalendermonats (Fälligkeitstag) an das Finanzamt für Gebühren, Verkehrsteuern und Glücksspiel zu entrichten. Bis zu diesem Zeitpunkt haben sie eine Abrechnung über die abzuführenden Beträge in elektronischem Weg vorzulegen. Der Bundesminister für Finanzen kann dabei im Verordnungsweg nähere Details der elektronischen Übermittlung regeln. Dieser Abrechnung sind Unterlagen anzuschließen, die eine Überprüfung der Einsätze und Gewinne der Glücksspiele während des Abrechnungszeitraumes gewährleisten. Die Abrechnung gilt als Anzeige. § 29 Abs. 3 über die Überwachung der Abgaben gilt sinngemäß. Trifft die Verpflichtung zur Entrichtung zwei oder mehr Personen, so sind sie zur ungeteilten Hand verpflichtet.
Gemäß § 59 Abs. 5 GSpG gelten als Vermittlung jedenfalls die Annahme und die Weiterleitung von Spieleinsätzen oder -gewinnen sowie die Mitwirkung am Zustandekommen des Glücksspielvertrages auf andere Art und Weise."
Feste Gebühren gemäß § 59a GSpG
§ 59a. (1) Für Konzessionserteilungen nach diesem Bundesgesetz sind nach Maßgabe der folgenden Bestimmungen Gebühren zu entrichten. Die Gebühr beträgt
1. 10 000 Euro für Anträge auf Konzessionserteilung nach den §§ 14 und 21 sowie
2. 100 000 Euro für die Erteilung einer Konzession nach den §§ 14 und 21.
Übergangsbestimmungen des § 60 GSpG
§ 60 Abs. 24 GSpG lautete: Bis zur Erteilung einer Konzession im Sinn des § 22 GSpG, längstens bis 31.12.2012, steht § 2 in der Fassung dieses Bundesgesetzes dem Betrieb eines Pokersalons für Pokerspiele ohne Bankhalter im Lebendspiel dann nicht entgegen, wenn dieser Betrieb bereits auf Grundlage der Rechtslage zum 1. Jänner 2010 zulässig gewesen wäre und bereits vor dem 15. März 2010 auf Basis einer aufrechten gewerberechtlichen Bewilligung erfolgt ist. [BGBl. I 2010/73].
§ 60 Abs. 24 GSpG wurde durch BGBl. I 2012/69 infolge VfGH 30.6.2012, G 51/11-8 geändert, und schließlich mit BGBl I 2013/167, infolge VfGH 27.6.2013, G 26/2013 aufgehoben.
§ 60 Abs. 33 GSpG lautete: § 2 Abs. 4 GSpG ist auf Pokerangebote auf Grundlage einer gewerberechtlichen Bewilligung, die zum 31. Dezember 2012 aufrecht war, ab 1. Jänner 2017 anzuwenden. [ab BGBl. I I 2014/13 und aufgehoben ab 15.8.2015 mit dem StRefG 2015/16, BGBl. I 2015/118].
§ 60 Abs. 36 GSpG lautet: § 2 Abs. 4 GSpG ist auf Pokerangebote auf Grundlage einer gewerberechtlichen Bewilligung, die zum 31. Dezember 2012 aufrecht war, ab 1. Jänner 2020 anzuwenden. [ab StRefG 2015/16, BGBl. I 2015/118].
6. Zur Person der Bf.
Die Bf. wurde mit Notariatsakt vom 17. März 2008 gegründet und unter der FN ****x2**** im Firmenbuch eingetragen. Gegenstand des Unternehmens ist die Spiel- und Pokertischvermietung. Die Bf. trat als Veranstalterin der Spiele im ****CASINO*Bf**** auf. (vgl. BFG 26.4.2019, RV/7102176/2012). Die Bf. bietet als Veranstalter interessierten Personen die Möglichkeit, zusammen mit anderen Besuchern organisierte Kartenspiele mit Geldeinsätzen an ca. 50 Pokertischen zu spielen. Es wird vorwiegend Poker in unterschiedlichen Spielvarianten in Form von und Turnieren angeboten und zwar am häufigsten Texas Hold'Em Limit und No Limit, sowie Omaha Pot Limit. Es werden auch Turniere mit einem oder mehreren Rebuys und Add-Ons angeboten Die Bf. selbst beteiligt sich nicht an diesen Spielen und tritt nicht als Bankhalter auf. Die Bf. hat eine Gewerbeberechtigung "." Das Gewerbe wurde am 10. Februar 2010 dem Magistrat der ****STADT**** gemeldet.
Mit Beschluss des Landesgerichtes ****x10**** wurde über die Bf. der Konkurs eröffnet und die Bf. infolge Eröffnung des Konkursverfahrens aufgelöst. Masseverwalter der Bf. ist Rechtsanwalt Dr. Michael Lentsch.
Durch die Eröffnung des Konkurs- bzw. Insolvenzverfahrens über das Vermögen eines Steuerpflichtigen wird das gesamte der Exekution unterworfene Vermögen, das dem (Gemein)Schuldner zu dieser Zeit gehört oder das er während des Konkurses bzw. der Insolvenz erlangt (Konkursmasse bzw. Insolvenzmasse), dessen freier Verfügung entzogen (vgl. § 1 und 2 Abs. 2 IO). Nach Insolvenzeröffnung tritt der Insolvenz- bzw. Masseverwalter an die Stelle des Schuldners, der Masseverwalter ist für die Zeit seiner Bestellung gesetzlicher Vertreter des Schuldners iSd § 80 Abs. 1 BAO. Auch in einem Abgabenverfahren tritt nach der Konkurseröffnung der Masseverwalter an die Stelle des Gemeinschuldners, soweit es sich um Aktiv- oder Passivbestandteile der Konkursmasse handelt. Die Abgaben sind daher während des Konkursverfahrens gegenüber dem Masseverwalter, der insofern den Gemeinschuldner repräsentiert, festzusetzen. Während des Konkursverfahrens dürfen weder Abgabenbescheide noch Haftungsbescheide, an den Gemeinschuldner gerichtet werden. (VwGH 08.02.2007, 2006/15/0373; VwGH 24.06.2009, 2009/15/0044; VwGH 22.10.2013, 2012/10/0002; UFS 15.12.2011, RV/0264-I/11; BFG 13.5.2015, RV/6100353/2013). Gemäß § 1024 ABGB (ursprüngliche Fassung) iVm § 26 BAO erlöschen Vollmachten, die der Insolvenzschuldner erteilt hat (§ 83 Abs. 2 BAO; VwGH 20.11.2014, 2013/16/0171; VwGH 29.4.2015, Ro 2014/10/0080; UFS 04.12.2003, RV/0176-G/02; BFG 14.10.2014, RV/7300056/2012; BFG 17.02.2015, RV/7100138/2011; BFG 10.6.2016, RV/7101758/2012; BFG 21.8.2017, RV/7101181/2013; BFG 19.10.2017, RV/7103493/2014; BFG 26.4.2019, RV/7102176/2012).
Das Finanzamt hat die gegenständlichen 47 Bescheide vom 20. November 2014 und vom 30. November 2016 richtigerweise an die Bf. selbst zugestellt, da diese damals noch nicht im Konkurs war.
7. Neueste Rechtsprechung des Verwaltungsgerichtshofes zur Glücksspielabgabenpflicht des Kartenpokerspiels
Die Bf. betreibt ein Kartencasino, in dem sie als Veranstalter interessierten Personen die Möglichkeit bot, zusammen mit anderen Besuchern organisierte Kartenspiele mit Geldeinsätzen zu spielen. (siehe zu früheren Zeiträumen BFG 26.4.2019, RV/7102176/2012). Es wird vorwiegend Poker in unterschiedlichen Spielvarianten wie Texas Hold'EM, Omaha und Seven Card Stud, limit und no limit, in Form von Cashgames und Turnieren angeboten. Die Bf. selbst beteiligt sich nicht an diesen Spielen und tritt nicht als Bankhalter auf. Die Bf. hat eine Gewerbeberechtigung "Halten von erlaubten Kartenspielen".
Dieser Sachverhalt wurde von der Bf. nicht bestritten.
7.1. Der Kartenpokerspielvertrag im Grundtatbestand des § 57 Abs. 1 GSpG
Angeboten wird die Spielmöglichkeit mit anderen Spielern gemeinsam an einem Pokertisch. Der Spielvertrag beim Kartenpokerspiel beginnt, wenn der Spielteilnehmer das Angebot annimmt und seinen Einsatz übergibt. Beim Kartenpokerspiel besteht die Verpflichtung jedes Spielers, den Einsatz zu leisten, bzw. den Einsatz in die Mitte des Pokertisches zu legen, dagegen besteht der "Anspruch" eines jeden Spielers in der Hoffnung auf die Chance zu gewinnen, auf die Erwartung der allfälligen Gewinnauszahlung. Die Einsätze werden zumeist vor Spielbeginn getätigt ("Zuschieben der Jetons").
Das Kartenpokerspiel besteht aus 2 Phasen:
1. Phase: Verteilung der verdeckten und/oder offenen Karten an die Spieler, wie bei Seven Card Stud, z.B. bei Texas Hold'em Poker und Omaha kommt noch das Auflegen der Gemeinschaftskarten dazu, die jeder sehen und benutzen kann. Die Spieler bilden "ihr Blatt." Diese 1. Phase inkludiert das Überlegen jedes Spielers, wie er seine Karten nach der Spielregel bestmöglich kombinieren kann. Das aleatorische Moment der Ungewissheit über den Ausgang liegt darin, dass das Zufallen der Karten und das Auflegen der Gemeinschaftskarten zufallsbedingt ist. (UFS 13.12.2004, RV/0421-W/02; UFS 24.7.2007, RV/0369-W/02 ua.; BFG 25.9.2017, RV/7100907/2012, RV/7100908/2012).
2. Phase: Die Spieler schließen Wetten darüber ab, wer von ihnen - z.B. bei Texas Hold'em Poker und Omaha in Zusammenhang mit den Gemeinschaftskarten - die höchstwertigste Kartenkombination hat. Das kann in mehreren Wettphasen ["Setzrunden"] geschehen, wobei in der Wettphase eine weitere Karte ausgeteilt wird. In der 2. Phase versucht der Spieler, seine Chancen, ein besseres Blatt zu erhalten abzuschätzen: "Werde ich meine Einsätze verlieren? Werde ich gewinnen? Meine Einsätze und noch viel mehr dazu, den ganzen Pot?". (UFS 13.12.2004, RV/0421-W/02; UFS 24.7.2007, RV/0369-W/02 ua.). Das aleatorische Moment der Ungewissheit liegt darin, dass die Spielteilnehmer in der 2. Phase, in welcher sie darüber wetten, wer von ihnen die bestmögliche Kartenkombination hat, allein auf die Hoffnung auf eine Gewinnchance ihre Einsätze tätigen. (UFS 13.12.2004, RV/0421-W/02; UFS 24.7.2007, RV/0369-W/02 ua.).
Der Spielvertrag ist für den Spieler zu Ende, der vorzeitig aus dem Spiel ausscheidet und er damit seinen bisherigen Einsatz "verliert". Der Spielvertrag ist zu Ende, wenn nur mehr zwei Spieler übrig sind und der vorletzte Spieler aus dem Spiel ausscheidet. Schließlich wird dem gewinnenden Spieler der Gewinn zugeschoben. Das Spiel ist zwar zu Ende, wenn der Gewinner feststeht, doch der Spielvertrag endet für den einzelnen Spieler, wenn die Karten aufgedeckt werden und er als Gewinner oder Verlierer ermittelt wird oder wenn er das Spiel vorzeitig verlässt und er damit sein Geld verloren hat. (z.B. BFG 25.9.2017, RV/7100907/2012, RV/7100908/2012).
Der Kartenpokerspielvertrag wird dem bürgerlich-rechtlichen Spielvertrag iSd § 1272 ABGB zugeordnet. (z.B. Stefula in Fenyves/Kerschner/Vonklich, Klang3 § 1270-1272).
Das Kartenpokerspiel kann in Form von "Cashgames" oder in Turnierform gespielt werden, wobei der "Kartenpokerspielvertrag" im Grunde genommen gleich bleibt. Bei den Cashgames kann der Spieler "endlos" am Spiel teilnehmen und er scheidet nur dann aus dem Spiel aus, wenn er aus irgendwelchen Gründen nicht mehr weiter spielen möchte oder kann. Beim Cashgame gibt es je nach Höhe der Einsätze Vorgaben, mit welchem Betrag minimal/maximal man in das Spiel einsteigen kann. Ist das eingesetzte Geld verloren, kann sich der Spieler immer wieder nachkaufen, sodass es keine Grenzen gibt, wie viel Geld verspielt werden kann. (Biljana Djurdjevic, Spielsucht - untersucht und aufgezeigt anhand des Pokerspiels, 2008, unveröffentlichte Diplomarbeit, 10-11). Bei der Turnierform scheidet der Spieler, der verloren hat aus, und der Spieler, der am Längsten im Spiel bleibt, gewinnt das Turnier. Zusätzlich zu Gewinn oder Verlust werden nach Rang des Spielers Preisgelder verteilt. (z.B. VwGH 19.10.2017, Ro 2015/16/0024). Zu der ausführlichen Darstellung von Kartenpokerregeln, Cashgames und Turnierformat wird auf die Darstellung in UFS 7.10.2011, RV/0743-W/11 und BFG 18.12.2014, RV/7103332/2011, BFG 25.9.2017, RV/7100908/2012, vorher UFS 13.12.2004, RV/0421-W/02; UFS 24.7.2007, RV/0369-W/02 ua. verwiesen.
Die Bf. bestreitet jedoch, dass Poker ein Glücksspiel ist und daher keine Glücksspielabgabe gemäß § 57 Abs. 1 GSpG anfällt.
Das Kartenpokerspiel entspricht dem zweiseitig verbindlichen Spielvertrag des § 1272 ABGB, das heißt, es werden Einsätze geleistet und für die Hingabe des Einsatzes wird eine Hoffnung auf Gewinnchance erwartet. Da das Kartenpokerspiel zwischen zwei oder mehreren Spielern entgeltlich abgeschlossen wird und die Entscheidung über das Ergebnis des einzelnen Spiels zumindest vorwiegend vom Zufall abhängig ist, erfüllt es die Voraussetzungen des § 1 Abs. 1 GSpG iVm § 2 Abs. 1 GSpG. Als Ausspielung unterliegt das Kartenpokerspiel im konzessionierten Bereich der Konzessions- oder Spielbankabgabe, oder wie hier im Fall eines gewerberechtlichen Pokersalons dem Grundtatbestand der Glücksspielabgabe gemäß § 57 Abs. 1 GSpG. Das wurde in Judikatur bereits ausführlich dargestellt. (UFS 13.12.2004, RV/0421-W/02; UFS 24.7.2007, RV/0369-W/02 ua.; UFS 7.10.2011, RV/0743-W/11; UFS 5.4.2013, RV/1194-W/12 ua. BFG 10.6.2016, RV/7101758/2012; BFG 20.6.2016, RV/7101283/2013; BFG 25.9.2017, RV/7100907/2012, RV/7100908/2012; BFG 19.10.2017, RV/7103493/2014; BFG 4.4.2018, RV/7104839/2017; BFG 17.2.2019, RV/7106017/2018).
7.2. Die Aufnahme von "Poker" in § 1 Abs. 2 GSpG diente lediglich der Klarstellung, Poker war bereits vor der GSpG-Novelle 2010 gebührenpflichtig
In ihrer Beschwerde wendet sich die Bf. gegen die Glücksspielabgabenpflicht gemäß § 57 Abs. 1 GSpG, mit dem Argument, würde man isoliert die am 1.1.2011 in Kraft getretenen Bestimmungen der §§ 57-59 GSpG anwenden, und unterstellen, dass § 60 Abs. 24 GSpG nur eine Auswirkung auf die §§ 1 und 2 GSpG habe, so käme man dennoch zu keiner Glücksspielabgabenpflicht, weil die §§ 57-59 GSpG eine Ausspielung und die Ausspielung ein Glücksspiel voraussetze. Aufgrund der Übergangsbestimmung des § 60 Abs. 24 GSpG sei diese Frage nach der Rechtslage vor dem 1.1.2010 zu lösen. Und damals sei Poker in § 1 Abs. 2 GSpG noch nicht als Glücksspiel genannt gewesen. Man musste damals im Einzelfall entscheiden, ob die relevanten Pokerarten ein Glücksspiel seien. (VwGH 18.12.1995, 95/16/0047). In der Literatur und Judikatur sei belegt worden, dass die gängigsten Varianten des Poker Geschicklichkeitsspiele seien. (z.B. Hambach/Hettich/Kruis, Verabschiedet sich Poker aus dem Glücksspielrecht? Medien&Recht Int., 2009 Heft 2, Seite 41, Mag. Robert Wagner, Die Praktikabilität des Österreichischen Glücksspielbegriffs am Beispiel des Kartenspiels Poker, 2010, unveröffentlichten Dissertation, Landgericht Karlsruhe 20.1.2009, AZ: 18 AK 127/08). Als Beweis dafür lasse sich ein rechtliches argumentum e contrario ins Treffen führen: Wäre Poker schon am 1.1.2010 ganz allgemein als Glücksspiel iSd GSpG einzustufen gewesen, hätte es einer ausdrücklichen Einbeziehung in § 1 Abs. 2 GSpG und des § 60 Abs. 24 GSpG nicht bedurft. Dadurch sei Poker auch nach neuer Rechtslage kein Glücksspiel. Die Abgabepflicht nach § 57 GSpG setze eine Ausspielung voraus und diese wiederum ein Glücksspiel. Wenn Poker kein Glücksspiel sei, könne es auch zu keiner Ausspielung und keiner Glücksspielabgabenpflicht kommen.
Der Bf. ist zu entgegnen, dass bereits nach der "alten Rechtslage vor dem 1.1.2010" das Kartenpokerspiel als Glücksspiel eingestuft (VwGH 8.9.2005, 2000/17/0201, ergangen zum ordnungspolitischen Teil des Glücksspielgesetzes zu Seven Card Stud, Texas Hold'Em und Five Card Draw) und den Vorgängerbestimmungen des § 57 Abs. 1 GSpG, den Rechtsgeschäftsgebühren gemäß § 33 TP 17 Abs. 1 Z 7 GebG idFv 1.1.2011 unterlag, was sich aus § 15 Abs. 1 GebG "Rechtsgeschäfte….sind gebührenpflichtig" ergibt. (UFS 7.10.2011, RV/0943-W/11). Durch den Verweis auf § 1 Abs. 1 GSpG unterlagen der Rechtsgeschäftsgebühr die dort umschriebenen Glücksspiele. Wie das Finanzamt in seinen Beschwerdevorentscheidungen feststellte, unterlagen nach der Judikatur des Unabhängigen Finanzsenates infolge ihrer Glücksspieleigenschaft die Kartenpokerspiele Seven Card Stud, UFS 13.12.2004, RV/0421-W/02 (Ablehnung der Behandlung der Beschwerde VfGH 28.2.2006, B 63/05), Pai Gow Poker, UFS 5.4.2007, RV/1665-W/06, Concord Aces (Black Jack Variante) und Lucky 9 (Baccara Variante) UFS 5.4.2007, RV/1338-W/05, Texas Hold'em Poker und Pan Nine (Baccara Variante) UFS 24.7.2007, RV/0369-W/02, der Glücksvertragsgebühr gemäß § 33 TP 17 Abs. 1 Z 7b GebG idFv 1.1.2011 und zwar vor Inkrafttreten des § 1 Abs. 1 GSpG und § 1 Abs. 2 GSpG (ausführlich siehe BFG 18.12.2014, RV/7103332/2011). Nach den Entscheidungen UFS 13.5.2011, RV/0499-I/10, UFS 11.5.2011 RV/0500-I/10 ist das in Turnierform durchgeführte Kartenpokerspiel wie auch dessen Spielvariante Texas Hold'em Poker infolge der Glücksspieleigenschaft rechtsgeschäftsgebührenpflichtig, der Verwaltungsgerichtshof VwGH 26.6.2014, 2011/16/0158 und 2011/16/0159 lehnte die Behandlungen der dagegen erhobenen Beschwerden ab.
Mit der Glücksspielnovelle 2008 BGBl. I 2010/54 wurde § 33 TP 17 GebG geändert. Gemäß § 37 Abs. 27 GebG trat § 33 TP 17 in der Fassung vor dem BGBl. I 2010/54 mit 1. Jänner 2011 außer Kraft. Ab 1.1.2011 ersetzt die Glücksspielabgabe gemäß den §§ 57 ff GSpG die früheren Gebühren gemäß § 33 TP 17 Abs. 1 Z 7 und Z 8 GebG. (RV 658 BlgNR 24. GP , Besonderer Teil, zu Artikel 1, zu §§ 57 bis 59 und § 60 Abs. 22 GSpG, zu Artikel 3, Änderung des Gebührengesetzes 1957 und zu Artikel 6). Vom 20.7.2010 bis 31.12.2010 standen § 33 TP 17 GebG "alte Version" und § 1 Abs. 1 und § 1 Abs. 2 GSpG "neue Version" mit der Aufzählung von Poker als Glücksspiel nebeneinander in Geltung. Die Bestimmungen über die Glücksspielabgaben §§ 57 bis 59 GSpG erlangten erst nach Außerkrafttreten der alten Version des § 33 TP 17 GebG ab 1.1.2011 Geltung. (UFS 07.10.2011, RV/0743-W/11; UFS 19.11.2013, RV/0742-G/11 bis RV/0744-G/11, RV/0743-G/11, RV/0745-G/11 RV/0746-G/11; BFG 3.06.2016, RV/7102949/2014).
§ 1 Abs. 2 GSpG idF der Glücksspielnovelle 2008 BGBl. I 2010/54 bezeichnet "Poker" definitiv als Glücksspiel.
Mit der Ansicht, dass es einer ausdrücklichen Einbeziehung in § 1 Abs. 2 GSpG und des § 60 Abs. 24 GSpG nicht bedurft hätte, wenn Poker schon am 1.1.2010 ganz allgemein als Glücksspiel iSd GSpG einzustufen gewesen wäre, weshalb Poker auch nach der neuen Rechtslage kein Glücksspiel sei, ist die Bf. nicht im Recht:
Mit der expliziten Nennung von "Poker und seinen Varianten" durch die Glücksspielnovelle 2008, BGBl. I 2010/54 in § 1 Abs. 2 GSpG hat der Glücksspielgesetzgeber lediglich klargestellt, dass Poker ein Glücksspiel iSd Glücksspielgesetzes ist. Das bringen die parlamentarischen Materialien eindeutig zum Ausdruck: "Durch die Aufnahme von zusätzlichen Legaldefinitionen soll die Rechtssicherheit erhöht werden. Darüber hinaus soll der Gesetzestext auch höchstgerichtliche Judikatur stärker reflektieren. So ist Poker beispielsweise bereits derzeit auf Grund höchstgerichtlicher Judikatur Glücksspiel …." (RV 658 BlgNR XXIV. GP , 3).
"Zu Z 2 und 31 (§ 1 sowie § 60 Abs. 22GSpG): Durch die beispielhafte Aufzählung von bestimmten Arten an Glücksspielen in Abs. 2 soll für den Rechtsanwender ohne eingehendes Judikaturstudium für die gängigsten Spielvarianten eindeutig erkennbar sein, dass es sich bei den in diesem Absatz angeführten Spielen jedenfalls um Spiele im Sinne des Abs. 1 und somit - sofern kein Ausnahmetatbestand zur Anwendung kommt - um dem Glücksspielmonopol des Bundes unterliegende Glücksspiele handelt. Insofern wird ua der höchstgerichtlichen Judikatur Rechnung getragen, die Poker und andere Spiele als Glücksspiele bestätigt hat (VwGH vom 8.9.2005, 2000/17/0201). Überdies soll durch die Aufnahme des demonstrativen Katalogs von klassischen Glücksspielen die Rechtssicherheit erhöht werden und gerichtliche Auseinandersetzungen um deren Glücksspieleigenschaft im Interesse der Verfahrensökonomie und einer effektiven Umsetzung des GSpG vermieden werden ….". (RV 658 BlgNR XXIV. GP , 5).
In allen ihren Beschwerdevorbringen und ihren Vorbringen in den Vorlageanträgen beruft sich die Bf. auf das Erkenntnis VfGH 27.6.2013, G 26/2013 G 90/201, mit welchem Poker in § 1 Abs. 2 GSpG aufgehoben wurde.
Nach Ansicht des Bundesfinanzgerichtes ist zwar dieses Vorbringen der Bf. selbstverständlich richtig, nicht jedoch der Schluss, den die Bf. daraus folgert, nämlich, dass dadurch Poker vom Glücksspielbegriff des § 1 GSpG nicht mehr erfasst und jede andere Interpretation nicht verfassungskonform sei. Wie das Finanzamt bereits in den Beschwerdevorentscheidungen dargelegt hat, muss das Erkenntnis des Verfassungsgerichtshofes in seiner Gesamtheit gelesen werden:
Was die Bf. in ihrer Argumentationslinie übersieht, ist, dass der Verfassungsgerichtshof VfGH 27.6.2013, G 26/2013 G 90/2012 feststellte, dass die Hereinnahme von Poker in § 1 Abs. 2 GSpG "....für sich genommen nicht verfassungswidrig ist... Der Gesetzgeber ist jedoch von Verfassungs wegen nicht gehindert, angesichts des Suchtpotentials nicht nur von Glücksspielen im engeren Sinn, sondern auch von Spielen mit Glücksspiel- und Geschicklichkeitskomponenten .... das Pokerspiel generell dem Regime des Glücksspielgesetzes zu unterwerfen. Der Verfassungsgerichtshof kann dem Gesetzgeber unter dem Gesichtspunkt des Gleichheitsgrundsatzes daher nicht entgegentreten, wenn dieser das Pokerspiel allgemein in den Katalog der Glücksspiele in § 1 Abs. 2 GSpG aufnimmt."
Da in den beschwerdegegenständlichen Zeiträumen Februar bis Dezember 2012 und Jänner bis Juli 2013 Poker definitiv in § 1 Abs. 2 GSpG als Glücksspiel genannt ist, erübrigen sich weitere Überlegungen und die Einholung von Sachverständigengutachten, ob Poker nicht doch ein Geschicklichkeitsspiel sein könnte. Im Zurückweisungsbeschluss VwGH 4.5.2017, Ra 2017/16/0035 zur Rechtslage vor dem 1.1.2011 kam der Verwaltungsgerichtshof zu folgendem Ergebnis:
"Zur Zulässigkeit der Revision wird vorgebracht, es fehle Rechtsprechung des Verwaltungsgerichtshofes zur Frage, ob Pokerspiele in der Spielvariante Texas Hold'em, ausgetragen in Turnierform, als Glücksspiele im Sinn des § 1 Abs. 1 Glücksspielgesetz - GSpG in der Fassung vor dem BGBl. I Nr. 54/2010 zu qualifizieren seien. Ob bei Poker der Gewinn oder Verlust ausschließlich oder vorwiegend vom Zufall abhänge, stelle eine Tatsachenfrage dar, die der Einholung eines Sachverständigengutachtens bedurft hätte, zumal die Revisionswerberin im Verwaltungsverfahren vorgebrachte habe, es komme bei der in Rede stehenden Spielvariante mehr auf die Geschicklichkeit des Spielers als auf sein Glück an. Eine dahingehende Ermittlung hätte zur Einstufung als Geschicklichkeitsspiel, für das die Rechtsgeschäftsgebühr nicht festzusetzen sei, geführt.
Dem ist entgegenzuhalten, dass sich bereits die Abgabenbehörde zur Begründung ihrer Annahme der Zufallsabhängigkeit des von der Revisionswerberin veranstalteten Pokerturniers in der Spielart Texas Hold'em und der Entbehrlichkeit (weiterer) Sachverständigengutachten unter anderem auf die hg. Erkenntnisse vom 18. Dezember 1995, 95/16/0047, und vom 8. September 2005, 2000/17/0201 stützte. Der zuletzt genannten Entscheidung lag ein Sachverständigengutachten von Univ.- Prof. Dr. Ulrike L vom Institut für Statistik und Operations Research der Karl Franzens Universität Graz zu Grunde, das zum Ergebnis kam, dass der Ausgang der Spiele bei der Variante Texas Hold'em vorwiegend vom Zufall abhänge. Zur Entkräftung des auf diese Weise einbezogenen Gutachtens wäre es - so das Bundesfinanzgericht in seiner Begründung - an der Revisionswerberin gelegen, durch konkrete Ausführungen gegebenenfalls unter Zuhilfenahme einer Sachverständigenexpertise aufzuzeigen, auf Grund welcher Tatumstände die für die Zufallsabhängigkeit ins Treffen geführten Erwägungen hier nicht zuträfen. Damit hat das Bundesfinanzgericht durch das Unterlassen der Einholung (weiterer) Sachverständigengutachten seine amtswegige Ermittlungspflicht nicht verletzt (vgl. etwa das hg. Erkenntnis vom 23. Mai 2007, 2004/13/0091, mwN)."
Da § 1 Abs. 2 GSpG klargestellt hat, dass "Poker und seine Varianten" Glücksspiele sind, und keine Beurteilung im Einzelfall durch Einholung eines Sachverständigengutachtens anzustellen ist, sieht das Bundesfinanzgericht keinen Anlass, ein weiteres Sachverständigengutachten zur Zufallsabhängigkeit des Kartenpokerspiels in Auftrag zu geben. (bereits in der Entscheidung UFS 7.10.2011, RV/0743-W/11 zu § 33 TP 17 GebG, die sich auf den Zeitraum 19.7. bis 31.12.2010 bezog). Mit zurückweisendem Erkenntnis VwGH 18.10.2016, Ro 2014/16/0041 stellte der Verwaltungsgerichtshof erneut klar, dass der Gesetzgeber mit der GSpG-Novelle 2008 das Pokerspiel gemäß § 1 Abs. 2 GSpG dem Glücksspiel zugeordnet hat. Damit wurde diese Frage abschließend gelöst, sodass es keines Gutachtens über den Einfluss des Zufalls auf das Spielergebnis bedarf. Die von der Revisionswerberin zitierte Rechtsprechung des Verwaltungsgerichtshofes zur Einholung von Sachverständigengutachten über die Rolle des Zufalls beim Pokerspiel erging zu § 1 GSpG in der Fassung vor der GSpG-Novelle 2008 und ist infolge der geänderten Rechtslage nicht relevant.
Bereits in der Entscheidung UFS 7.10.2011, RV/0743-W/11 zu § 33 TP 17 GebG wurde festgestellt, dass die von der Bf. angegebene Literatur, die für die Geschicklichkeitsspieleigenschaft von Poker spräche und zwar insbesondere Hambach/Hettich/Kruis, Verabschiedet sich Poker aus dem Glücksspielrecht?, MR Int, 2009 Heft 2.; Bernd Holznagel, Poker - Glücks- oder Geschicklichkeitsspiel? MMR 7/2008, 439 (http://www.uni-muenster.de/Jura.tkr/oer/publikationen/ ) und Landgericht Karlsruhe, Urteil vom 9.1.2009, Az.: Ns 97 Js 14968/07, 18 AK 127/08 (http://www.aufrecht.de/urteile/delikt-strafr/pokerturnier-ist-kein-verbotenes gluecksspiel,) keinen Beweis zur Geschicklichkeitskomponente des Kartenpokerspiels darbietet, sondern detailliert die Illusion, die Spielwelt des Pokerspiels, die auf der Identifikation mit dem "geschickten" Gewinner aufbaut, beschreibt, die Situation des Verlierers aber ausblendet. Die als Argument für die Geschicklichkeitseigenschaft vorgebrachten Berufsspieler "verdienten" mit dem Kartenpokerspiel durch vergleichsweise hohen Kapitaleinsatz mit unter ökonomischem Druck stehenden "low limit" Spielern, und damit einem Faktor, der außerhalb der Spielregel seine Wirkung entfalte. Das Urteil LG Karlsruhe zur AZ: 18 AK 127/08 wurde über Internetrecherche (http://www.aufrecht.de/urteile/delikt-strafr/pokerturnier-ist-kein-verbotenes gluecksspiel, Abfrage vom 3.5.2011) ausgedruckt und auszugsweise wiedergegeben und bereits in der Entscheidung UFS 7.10.2011, RV/0743-W/11 besprochen, auf die hier verwiesen wird. Der VfGH 21.9.2012, B 1357 und der VwGH 9.9.2013, 2012/16/0188 lehnten die Behandlung der gegen UFS 7.10.2011, RV/0743-W/11 erhobenen Beschwerden ab (siehe BFG 25.9.2017, RV/7100908/2012 dort detailliert wiedergegeben).
In der Literatur wurde von Stefula in Fenyves/Kerschner/Vonklich, Klang3 § 1270-1272 Rz 53 dazu Stellung genommen: "An der Einstufung von Poker .... als Glücksspiel wird in der jüngeren Literatur zwar Kritik geübt (FN 254: Siehe Holznagel, MMR 2008, 439 ff; Hambach/Hettich/Kruis, MR-Int 2009, 41ff; Schmidt/Wittig, JR 2009, 45 ff; aus empirischer Sicht Meyer/Hayer, ZfWG 2008, 153 ff. Jüngst besonders ausführlich Winkler, Poker und Pokerspielsalons in der Glücksspielgesetzgebung -Dokumentation und Analyse der Glücksspielgesetzgebung mit kritischen Anmerkungen aus verfassungsrechtlicher Sicht [2011]) diese vermag, weil letztendlich oft das Kartenglück entscheidet, aber nicht zu überzeugen. (FN 255: So bereits vor langem OGH 29.11.1898 KH 2264: "weil....die Geschicklichkeit des Spielers darauf, welche Karten ursprünglich ausgeteilt und welche nachgekauft werden, wovon doch immer der schließliche Ausgang des Spieles abhängt, ganz ohne Einfluss sind") ..... Bei diesen Kartenspielen hängt der Spielausgang maßgeblich von der nach Zufall erfolgenden Kartenzuteilung ab; für ein Geschicklichkeitsspiel entsprechende Faktoren sind weniger maßgeblich. Am Glücksspielcharakter ändert sich nichts dadurch, dass das betreffende Kartenspiel im Rahmen eines Turniers gespielt wird. (FN 252: So OVG Berlin-Brandenburg, 20.4.2009, I S 203.08, ZfWG 2008, 190).
Beim Geschicklichkeitsspiel ist der Spieler in der Lage, "das Ergebnis des Spiels mit seinen Fähigkeiten so stark zu beeinflussen, dass der Zufall nicht mehr überwiegt" (Stefula in Fenyves/Kerschner/Vonklich, Klang3 § 1270-1272 Rz 49, FN 226: Fiedler, Glücks- und Geschicklichkeitsspiele 4). Derartige Fähigkeiten sind Schnelligkeit, Kraft, Geschicklichkeit, Wissen, Ausdauer, Konzentrationsfähigkeit, Routine, Kombinationsgabe, Rechengeschick udgl. …. Die Fähigkeit, beim Kartenspielen durch sog. "Bluffen" die Mitspieler über die Qualität des eigenen Blattes (auf nicht verbotene Art) zu täuschen, ist hingegen nicht als den oben genannten Fähigkeiten gleichwertig zu betrachten, weil das Reaktionsverhalten der Gegner auf das Bluffen "für den Bluffenden selbst wieder nur ein Zufall ist". (Stefula in Fenyves/Kerschner/Vonklich, Klang3 § 1270-1272 Rz 49 und Rz 53, FN 253: OGH 29.11.1898 KH 2264; VwGH 8.9.2005, 2000/17/0201 [zu dieser E. Strejcek/Wojnar, RdW 2006, 203 f]; VwGH 20.10.2009, 2008/05/0045). "Ein Überwiegen des aleatorischen Moments ist anzunehmen, wenn "nicht mehr eine berechtigte rationale Erwartung über den Spielausgang entwickelt, sondern letztlich nur auf Grund eines Hoffens, einer irrationalen Einstellung, auf dieses oder jenes einzelne Ergebnis des Spiels "gesetzt" werden kann". (Stefula in Fenyves/Kerschner/Vonklich, Klang3 § 1270-1272 Rz 49 FN 230: So Höpfel,ÖJZ 1978,424; ihm folgend Burgstaller, RZ 2004, 220).
Da die gegenständlichen Sachverhalte in den Zeiträumen Februar bis Dezember 2012 und Jänner bis Juli 2013 bereits im Geltungszeitraum des § 1 Abs. 2 GSpG idF BGBl. I 2010/54 bzw. BGBl. I 2014/13 verwirklicht wurden, ist eine Klärung der Frage, ob Poker ein Glücksspiel oder ein Geschicklichkeitsspiel ist, über Literatur nicht erforderlich, da § 1 Abs. 2 GSpG über authentische Interpretation "insbesondere Poker und dessen Spielvarianten" als Glücksspiele bezeichnet.
Die Bf. bringt vor, Poker in Turnierform sei kein Glücksspiel, das habe auch schon der UFS 24.7.2007, RV/0369-W/02 und RV/0036-W/02 erkannt.
Der Bf. ist zu entgegnen, dass es bei beiden Entscheidungen nach den Sachverhalten um "Cashgame" ging, ohne dass dieser Begriff verwendet wurde. Dass Pokermeisterschaften bzw. Turnierspiele nach "Spezialregeln" ablaufen, wurde im Fall der Bf. rechnerisch berücksichtigt. Während beim Cashgame ein nach Tischstunden wahrscheinlicher Stundensatz an Tischgeld, abhängig von der Spielvariante und vom Limit errechnet wurde und darauf aufbauend eine Schätzung der Einsätze und Berechnung der Bemessungsgrundlage = (Tischgeld:3,5) x 100 erfolgte, wurde bei den Anmeldungen über die Turniere der Gewinn folgendermaßen ausgewiesen: Teilnehmer x Buy In, Rebuys, Addons - abzüglich 3% für die Monatsbewertung und 3% für das Casino = 94% der geleisteten Einsätze. Zwischenzeitig wurde durch Judikatur und Literatur bestätigt, dass Poker in Turnierform ein Glücksspiel ist und den Glücksspielabgaben unterliegt. (ZB VwGH 4.5.2017, Ra 2017/16/0035; Stefula in Fenyves/Kerschner/Vonklich, Klang3 § 1270-1272 Rz 53)
Dazu kommt noch etwas. Während die Rechtsgeschäftsgebühren gemäß § 33 TP 17 Abs. 1 Z 7 GebG als Bemessungsgrundlage unabhängig von Cashgame oder Turnierspiel den Gewinn ("Gewinst") normierten, differenziert § 57 Abs. 1 GSpG. Bei Ausspielungen sind grundsätzlich die Einsätze die Bemessungsgrundlage, "Bei turnierförmiger Ausspielung treten außerhalb des Anwendungsbereiches von § 17 Abs. 2 GSpG an Stelle der Einsätze die in Aussicht gestellten vermögenswerten Leistungen (Gewinne in Geld, Waren oder geldwerten Leistungen) des Turniers." Bei dieser eindeutigen Gesetzeslage kann die Bf. nicht behaupten, Poker in Turnierform unterläge nicht den Glücksspielabgaben.
Der vorliegende Sachverhalt und die Beschwerdevorbringen der Bf. sind vergleichbar dem Erkenntnis BFG 18.12.2014, RV/7103332/2011 zugrundeliegenden Sachverhalten und Vorbringen betreffend Glücksspielabgaben, auf dessen Begründung verwiesen wird (https://findok.bmf.gv.at ). Die Revision gegen diese Entscheidung des Bundesfinanzgerichtes wies der Verwaltungsgerichtshof 19.10.2017, Ro 2015/16/0024 mit folgender Begründung ab:
Ab Randnummer 14: "Mit der GSpG Novelle 2008 nahm der Gesetzgeber eine beispielhafte Aufzählung von bestimmten Arten an Glücksspielen im § 1 Abs. 2 GSpG vor und nannte dabei ausdrücklich auch Poker. Damit wollte der Gesetzgeber erreichen, dass es für den Rechtsanwender ohne eingehendes Judikaturstudium für die gängigsten Spielvarianten eindeutig erkennbar sei, dass es sich bei den in diesem Absatz angeführten Spielen jedenfalls um Spiele im Sinn des § 1 Abs. 1 GSpG und somit - sofern kein Ausnahmetatbestand zur Anwendung komme - um dem Glücksspielmonopol des Bundes unterliegende Glücksspiele handle. Überdies solle durch die Aufnahme des demonstrativen Katalogs von klassischen Glücksspielen die Rechtssicherheit erhöht und gerichtliche Auseinandersetzungen um deren Glücksspieleigenschaft im Interesse der Verfahrensökonomie und einer effektiven Umsetzung des GSpG vermieden werden (ErläutRV 658, BlgNR 24. GP, 5). Der Verfassungsgerichtshof hegt dagegen insofern keine Bedenken, als er es grundsätzlich im rechtspolitischen Gestaltungsspielraum des Gesetzgebers gelegen sieht, wenn dieser das Pokerspiel dem Regime des Glücksspielgesetzes unterwirft (vgl. VfGH vom 27. Juni 2013, G 26/2013, G 90/2012, VfSlg. 19.767/2013).
15 Auch wenn mit dem zuletzt genannten Erkenntnis des Verfassungsgerichtshofes unter anderem das Wort Poker in § 1 Abs. 2 GSpG als verfassungswidrig aufgehoben wurde, so erfolgte dies im Zusammenhang mit der Übergangsbestimmung des § 60 Abs. 24 GSpG und wurde im Bundesgesetzblatt am 2. August 2013, also nach dem hier in Rede stehenden Abgabenzeitraum von Jänner bis April 2011, kundgemacht. Der von der Revisionswerberin behaupteten Anlassfallwirkung des erwähnten Erkenntnisses des Verfassungsgerichtshofes steht - unabhängig davon, ob die Revisionswerberin selbst Partei des genannten Verfahrens war - der Umstand entgegen, dass ein Individualantrag keine Anlassfallwirkung auslöst (vgl. das hg. Erkenntnis vom 4. Dezember 2003, 2003/16/0148). Bis zur Kundmachung des Erkenntnisses des Verfassungsgerichtshofes im Bundesgesetzblatt am 2. August 2013 ist daher davon auszugehen, dass Poker bereits auf Grund der beispielhaften Aufzählung im § 1 Abs. 2 GSpG ein Glücksspiel im Sinne des genannten Gesetzes ist.
16 Nach den Feststellungen im angefochtenen Erkenntnis bot die Revisionswerberin in den von ihr betriebenen Kartencasinos als Veranstalterin interessierten Personen die Möglichkeit, zusammen mit anderen Besuchern organisierte Kartenspiele mit Geldeinsätzen zu spielen. Damit liegen auch Ausspielungen im Sinn des § 2 Abs. 1 GSpG vor, welche Glücksspiele sind, die ein Unternehmer veranstaltet, organisiert, anbietet oder zugänglich macht, und bei denen Spieler eine vermögenswerte Leistung in Form eines Geldeinsatzes erbringen, sowie bei denen vom Unternehmer, von Spielern oder von anderen eine vermögenswerte Leistung (Gewinn) in Aussicht gestellt wird.
17 Diese Ausspielungen, an denen die Teilnahme unstrittig vom Inland aus erfolgte, unterliegen gemäß § 57 Abs. 1 GSpG einer Glücksspielabgabe von 16 % vom Einsatz. Außerhalb des konzessionierten Glücksspiels treten bei turnierförmiger Ausspielung an die Stelle der Einsätze die in Aussicht gestellten vermögenswerten Leistungen des Turniers.
18 Diese Regelung wurde im Grunde mit der GSpG Novelle 2008 getroffen. Die Glücksspielabgabe nach § 57 ist die allgemeine Abgabe auf Ausspielungen. Sie soll dem bisher auf Glücksspiele anwendbaren Steuersatz des Gebührengesetzes entsprechen und beträgt unverändert 16 % vom Einsatz, sie soll nach den Vorstellungen des Gesetzgebers auch verbotene Pokerturniere erfassen (ErläutRV 658, BlgNR 24. GP, 9). Mit der GSpG Novelle 2010 wurde bei Turnieren klargestellt, dass lediglich außerhalb des konzessionierten Glücksspiels anstelle des Einsatzes der vermögenswerte Gewinn tritt. Darüber hinaus werden die Befreiungsbestimmungen, etwa für konzessionierte Spielbanken und Wirtshauspoker damit begründet, dass Doppelbesteuerungen ausgeschlossen werden (ErläutRV 657, BlgNR 24. GP, 9 f).
19 Die Befreiungsbestimmungen für die Glücksspielabgabe nach § 57 Abs. 6 GSpG sind auf die Revisionswerberin nicht anzuwenden, weil sie weder eine konzessionierte Spielbank im Sinne des § 21 GSpG betrieb noch Ausspielungen mit Kartenspielen in Turnierform zum bloßen Zeitvertreib im Sinn des § 4 Abs. 6 GSpG ("Wirtshauspoker") durchführte.
20 Darüber hinaus kann auch der Argumentation der Revisionswerberin, aus § 57 Abs. 6 und § 59 GSpG ergebe sich, dass nur verbotene Ausspielungen der Abgabe unterlägen, nicht gefolgt werden, weil der Gesetzgeber mit diesen Regelungen - wie bereits dargestellt - nur Doppelbesteuerungen für konzessionierte Spielbanken, Wirtshauspoker und Glücksspielautomaten ausschließen wollte und der Gesetzgeber darüber hinaus durch die GSpG Novelle 2008 mit der neuen Glücksspielabgabe gemäß §§ 57 und 58 GSpG - abgesehen von der Ausweitung auf verbotene Ausspielungen - die bisherigen Gebühren gemäß § 33 TP 17 Abs. 1 Z 7 und Z 8 GebG ersetzen wollte (ErläutRV 658, BlgNR 24. GP, 11). Damit sollen neben den angesprochenen verbotenen auch erlaubte Ausspielungen erfasst werden. Die von der Revisionswerberin behauptete Einschränkung auf verbotene Ausspielungen findet auch im Gesetzeswortlaut keine Deckung.
21 Gemäß § 59 Abs. 2 Z 1 GSpG ist Schuldner der Glücksspielabgabe nach § 57 GSpG der Konzessionär nach § 17 Abs. 6 GSpG oder der Bewilligungsinhaber nach § 5 GSpG (erster Teilstrich) oder bei Fehlen eines Berechtigungsverhältnisses der Vertragspartner des Spielteilnehmers, der Veranstalter der Ausspielung sowie der Vermittler zur ungeteilten Hand (zweiter Teilstrich).
22 Da die Revisionswerberin weder Konzessionärin noch Bewilligungsinhaberin für Landesausspielungen mit Glücksspielautomaten ist, kommt hier nur der zweite Teilstrich in Betracht. Um den Veranstalter der Ausspielung als Abgabenschuldner nach dem zweiten Teilstrich des § 59 Abs. 2 Z 1 GSpG ansehen zu können, verlangt das Gesetz das Fehlen eines Berechtigungsverhältnisses. Systematisch soll nach Auffassung des Verwaltungsgerichtshofes mit der Bestimmung des § 59 Abs. 2 GSpG geregelt werden, wer zur Zahlung der Abgabe verpflichtet ist. Die Frage, welche Ausspielungen einer Glücksspielabgabe unterliegen oder davon befreit sind, wird im § 57 GSpG geregelt. Um zu vermeiden, dass es für Ausspielungen, die nach § 57 GSpG einer Glücksspielabgabe unterliegen, keinen Abgabenschuldner geben soll, ist das "Fehlen eines Berechtigungsverhältnisses" nach dem zweiten Teilstrich des § 59 Abs. 2 Z 1 GSpG im Sinn der im ersten Teilstrich leg. cit. genannten Berechtigungsverhältnisse zu verstehen, um die Z 1 des § 59 Abs. 2 GSpG als abgeschlossenes System sehen zu können. Nach Auffassung der Revisionswerberin, die hier auch eine Gewerbeberechtigung subsumieren will, käme es für diese Konstellationen zu einer Steuerbefreiung, die aber in § 57 Abs. 6 GSpG geregelt ist, und nicht bei einer Bestimmung, wer Schuldner der Abgaben ist, zu erwarten wäre.
23 Nach der Übergangsvorschrift des § 60 Abs. 24 GSpG steht § 2 bis zur Erteilung einer Konzession im Sinne des § 22 GSpG, längstens bis 31. Dezember 2012 dem Betrieb eines Pokersalons für Pokerspiele ohne Bankhalter im Lebendspiel dann nicht entgegen, wenn dieser Betrieb bereits auf Grundlage der Rechtslage zum 1. Jänner 2010 zulässig gewesen wäre und bereits vor dem 15. März 2010 auf Basis einer aufrechten gewerberechtlichen Bewilligung erfolgt ist. Mit Ausnahme der Befristung war diese Bestimmung bereits in der GSpG Novelle 2008 enthalten, zu der der Gesetzgeber eingestand, die zwischen dem Bundesminister für Finanzen und einzelnen Unternehmen strittige Frage, ob die unternehmerische Durchführung von Poker außerhalb von Spielbanken in Pokersalons bereits nach der bis dahin gültigen Rechtslage verboten sei, durch die vorliegende Novelle nicht beantworten zu wollen (ErläutRV 658, BlgNR 24. GP, 10).
24 Die Lösung dieser Frage ist für die Beurteilung der Glücksspielabgabe schon deshalb nicht relevant, weil davon - wie bereits oben dargelegt - sowohl verbotene als auch erlaubte Ausspielungen unter Bedachtnahme auf die Abgabenbefreiung nach § 57 Abs. 6 GSpG erfasst sind.
25 Das Argument der Revisionswerberin, § 60 Abs. 24 GSpG ordne an, dass die Rechtslage vor dem 1.1.2010 weiterhin anwendbar sein solle, ist nicht von dem wesentlich eingeschränkten Wortlaut der zitierten Bestimmung gedeckt, nach der lediglich § 2 GSpG in der Fassung der GSpG Novelle 2008 dem Betrieb eines Pokersalons unter weiteren Bedingungen nicht entgegen steht. Übrigens hätte die Revisionswerberin bei Anwendung der "alten" Rechtslage eben Rechtsgeschäftsgebühr gemäß "§ 33 TP 17 Abs. 1 Z 7 GebG" zu zahlen gehabt (vgl. den hg. Beschluss vom 18. Oktober 2016, Ro 2014/16/0041).
26 Aber auch wenn die Revisionswerberin die Übergangsbestimmung des § 60 Abs. 24 GSpG einschränkend dahingehend interpretiert, dass sich daraus ergebe, es läge keine Ausspielung gemäß § 2 GSpG in der Fassung vom 1.1.2010 (in der Fassung BGBl. I Nr. 69/1997) vor, ist ihr entgegen zu halten, dass gemäß § 2 Abs. 4 leg. cit. eine Ausspielung auch dann vorliegt, wenn die Möglichkeit zur Erlangung der Gegenleistung zwar nicht vom Unternehmer oder Veranstalter erbracht wird, aber von diesem oder einem Dritten entsprechend organisiert, veranstaltet oder angeboten wird. Es kommt hier also nicht auf das Organisieren, Veranstalten oder Anbieten der Gegenleistung an, sondern vielmehr auf die Möglichkeit zur Erlangung einer Gegenleistung, welche die Revisionswerberin nach dem im angefochtenen Erkenntnis festgestellten Sachverhalt durch das Organisieren von Kartenspielen schuf.
27 Soweit die Revisionswerberin argumentiert, § 31a GSpG stehe einer Doppelbesteuerung entgegen und die Einsätze der Spieler unterlägen bereits dem Vorarlberger Kriegsopferabgabegesetz und dem Vorarlberger Vergnügungssteuergesetz, ist entgegen zu halten, dass das Doppelbesteuerungsverbot des § 31a GSpG nur für Konzessionäre und Bewilligungsinhaber nach den §§ 5, 14, 21 und 22 GSpG geregelt ist, über die zu verfügen die Revisionswerberin gar nicht behauptet, und es sich nur an die Länder und Gemeinden, nicht jedoch an den Bundesgesetzgeber richtet.
28 Weiters moniert die Revision, dass die hier vorgeschriebene Glücksspielabgabe nach § 57 GSpG einen Verstoß gegen das unionsrechtliche Beihilfenverbot darstelle, weil eine Konzessionärin lediglich eine Spielbankenabgabe nach § 28 GSpG von den Einnahmen zu entrichten habe. Folge man der Auffassung des Bundesfinanzgerichtes, wären die Einsätze jedes einzelnen Spielzuges als Bemessungsgrundlage für die Glücksspielabgabe heranzuziehen, was nach 51 Runden bereits zu einer Steuerbelastung von 99 % führe.
29 Art. 107 Abs. 1 AEUV enthält ein grundsätzliches Verbot von Beihilfen, die mit dem gemeinsamen Markt unvereinbar sind. Dadurch soll verhindert werden, dass der Handel zwischen Mitgliedstaaten durch von staatlichen Stellen gewährte Vergünstigungen beeinträchtigt wird, die in verschiedenartiger Weise durch die Bevorzugung bestimmter Unternehmen oder Produktionszweige den Wettbewerb verfälschen oder zu verfälschen drohen. Voraussetzungen für die Qualifizierung einer nationalen Maßnahme als staatliche Beihilfe gemäß Art. 107 AEUV sind die Finanzierung dieser Maßnahme durch den Staat oder aus staatlichen Mitteln, das Vorliegen eines Vorteils für ein Unternehmen, die Selektivität dieser Maßnahme und die Beeinträchtigung des Handels zwischen Mitgliedstaaten und eine daraus resultierende Verfälschung des Wettbewerbs.
30 Der Begriff der Beihilfe umfasst nicht nur positive Leistungen sondern auch Maßnahmen, die in verschiedener Form die Belastungen vermindern, die ein Unternehmen regelmäßig zu tragen hat, und die somit, obwohl sie keine Subventionen im strengen Sinne des Wortes darstellen, diesen nach Art und Wirkung gleichstehen.
31 Nach der ständigen Rechtsprechung des EuGH kann ein Unternehmer in einem seine Abgabenschuld betreffenden Abgabenverfahren nicht erfolgreich geltend machen, dass die Befreiung eines anderen Unternehmers (oder dessen niedrigere Besteuerung) eine unionsrechtswidrige Beihilfe sei. Der Schuldner einer Abgabe kann sich also nicht mit der Begründung, die Befreiung (oder eine niedrigere Besteuerung) anderer Unternehmer stelle eine staatliche Beihilfe dar, der Zahlung der Abgabe entziehen. Ein Abgabenschuldner könnte sich nur dann ausnahmsweise auf der Grundlage des Beihilfenverbotes seiner Zahlungspflicht entziehen, wenn eine Regelung vorläge, nach welcher der Abgabenertrag unmittelbar einer Verwendung zugeführt werden müsste, die ihrerseits die Beihilfenmaßnahme darstellte (vgl. zu Rz 29 bis 31 das hg. Erkenntnis vom 18. Mai 2016, Ro 2014/17/0117, mwN).
32 Ein solcher Ausnahmefall, bei welchem nach der zugrunde liegenden Regelung das Aufkommen aus der Abgabe notwendig für die Finanzierung einer Beihilfe verwendet würde, liegt im gegenständlichen Fall nicht vor. Es besteht kein zwingender Zusammenhang zwischen der Glücksspielabgabe und einer allfälligen beihilfenrelevanten Verwendung des Steuerertrages.
33 Soweit sich die Revisionswerberin auf das Urteil des EuGH vom 7. September 2006, Rs C-526/04, Laboratoires Boiron SA, bezieht, ist ihr entgegenzuhalten, dass eine solche Erstattung jedenfalls nur dann gewährt werden kann, wenn nachgewiesen ist, dass die Beträge, soweit ihre Erstattung gefordert wird, eine Überkompensierung zugunsten der Konkurrenten darstellen würden (siehe Rn 47 des zitierten Urteils und das hg. Erkenntnis vom 14. November 2013, 2013/17/0029, mwN). Ein derartiger Nachweis wurde nicht angetreten.
34 Soweit die Revisionswerberin eine Verletzung von Grundrechten behauptet, ist sie auf den Beschluss des vorweg angerufenen Verfassungsgerichtshofes vom 19. Februar 2015 zu verweisen, in dem eine Verletzung in ihren verfassungsgesetzlich gewährleisteten Rechten auf Gleichheit aller Staatsbürger vor dem Gesetz, auf Unversehrtheit des Eigentums und auf Freiheit der Erwerbsbetätigung nicht erkannt wurde und auch die Ausgestaltung der Glücksspielabgabe nach § 57 GSpG im rechtspolitischen Gestaltungsspielraum des Gesetzgebers gelegen angesehen wurde.
35 Die von der Revisionswerberin aufgestellte Berechnung über die Steuerbelastung nach 51 Spielrunden vermag nicht zu überzeugen, weil sie von einer nicht dem Gesetz entsprechenden Steuerbelastung des Spielkapitals zu Beginn der jeweiligen Runde anstatt der Einsätze oder der in Aussicht gestellten vermögenswerten Leistungen des Turniers (vgl. § 57 Abs. 1 GSpG) ausgeht. Die von der Revisionswerberin angegebene Summe der Steuern nach 51 Runden in Höhe von EUR 394,31 ist somit nicht ins Verhältnis zum Spielkapital zu Beginn der ersten Runde in Höhe von EUR 400,-- zu setzen, sondern vielmehr zu den Einsätzen, die tatsächlich getätigt wurden, oder zu den in Aussicht gestellten Leistungen. Die Einsätze machen unter Zugrundelegung der Tabelle der Revisionswerberin EUR 2.464,43 aus, weshalb die Steuerbelastung von EUR 394,31 dem gesetzlichen Steuersatz von 16 Prozent (vgl. § 57 Abs. 1 GSpG) entspricht. Insofern kann daher mit Blick auf die tatsächlichen Einsätze eine exzessive Steuerbelastung nicht erkannt werden.
36 Das von der Revisionswerberin weiters ins Spiel gebrachte Verhältnis der Glücksspielabgabe zu ihrem Jahresumsatz und zu ihrem Jahresergebnis betrifft unternehmerische Parameter, die in der Ingerenz der Revisionswerberin liegen und kein Kriterium für die hier in Rede stehende Besteuerung darstellen. Es ist Sache der Revisionswerberin, die Kartenspiele so zu organisieren, dass die Glückspielabgabe entrichtet werden kann.
37 Soweit die Revisionswerberin vor dem Verwaltungsgerichtshof ergänzendes Vorbringen zu einem Verstoß gegen die in Art. 56 AEUV normierte Dienstleistungsfreiheit erstattet, steht dem das Neuerungsverbot entgegen (§ 41 VwGG). Dies gilt auch für solche Rechtsausführungen, deren Richtigkeit nur auf Grund von Tatsachenfeststellungen überprüft werden kann, die deshalb unterblieben sind, weil im Verwaltungsverfahren und im Verfahren vor dem Verwaltungsgericht diesbezüglich nichts vorgebracht wurde (vgl. das hg. Erkenntnis vom 11. September 2014, 2013/16/0025). Diese Grundsätze gelten auch für die Anwendung des Unionsrechts (vgl. das hg. Erkenntnis vom 10. Oktober 2011, 2008/17/0113), weshalb das in der Ergänzung zur Revision erstattete Vorbringen, der Spielsalon Bregenz werde intensiv von Kunden aus der Bundesrepublik Deutschland frequentiert und sich daraus die Anwendbarkeit der Grundfreiheiten des Unionsrechts ergebe, daher dem Neuerungsverbot unterliegt.
38 Die Revision erweist sich daher insgesamt als nicht berechtigt und war daher gemäß § 42 Abs. 1 VwGG als unbegründet abzuweisen."
Mit Beschluss VwGH 27.3.2018, Ro 2017/17/0025 (BFG 10.6.2016, RV/7101758/2012) wies der Verwaltungsgerichtshof die Revision betreffend Glücksspielabgaben für Kartenpokerspiel zurück, da infolge des obzitierten Erkenntnisses VwGH 19.10.2017, Ro 2015/16/0024 keine Rechtsfrage von grundsätzlicher Bedeutung mehr vorliegt.
Mit Beschluss VwGH 22.10.2018, Ro 2018/16/0028 (BFG 25.9.2017, RV/7100908/2012) wies der Verwaltungsgerichtshof die Revision betreffend der Spruchpunkte 1. Rechtsgeschäftsgebühren und 2. Säumniszuschlag für Kartenpokerspiel in Form von Cashgame und Turnierspielen zurück, da - unter anderem - die "asymmetrische Belastung" mit einer "exzessiven Abgabe" alleine noch nicht den Tatbestand einer Beihilfenmaßnahme erfüllt.
Mit Beschluss VwGH 21.1.2019, Ra 2018/17/0150 (BFG 21.8.2017, RV/7101181/2013) wies der Verwaltungsgerichtshof die Revision betreffend Glücksspielabgaben für Kartenpokerspiel zurück, da infolge des obzitierten Erkenntnisses VwGH 19.10.2017, Ro 2015/16/0024 keine Rechtsfrage von grundsätzlicher Bedeutung mehr vorliegt. Es entspricht der ständigen Rechtsprechung des Verwaltungsgerichtshofes zum Verfahrensregime der BAO, dass durch den Verweis auf eine Entscheidung zur Begründung eines Erkenntnisses weder der Revisionswerber in der Verfolgung seiner Rechte noch der Verwaltungsgerichtshof an der Überprüfung des angefochtenen Erkenntnisses auf seine inhaltliche Rechtmäßigkeit gehindert wird (VwGH 27.7.2016, Ra 2015/13/0043; VwGH 29.6.2005, 2000/14/0194; VwGH 12.9.2001, 96/13/0043, 0044; VwGH 17.9.1997, 93/13/0100). Die vom Bundesfinanzgericht in dieser gegenständlichen Entscheidung zitierten Erkenntnisse sind in der https://findok.bmf.gv.at bzw. über das Rechtsinformationssystem des Bundes https://ris.bka.gv.at/judikatur abrufbar.
Mit Beschluss VwGH 21.1.2019, Ro 2018/17/0007 (BFG 25.9.2017, RV/7100907/2012 und RV/7100908/2012) wies der Verwaltungsgerichtshof die Revision betreffend Glücksspielabgaben für Kartenpokerspiel zurück. In der Revision wurde unter anderem vorgebracht, dass die neueste Rechtsprechung des Verwaltungsgerichtshofes VwGH verstärkter Senat 21.3.2018, Ra 2017/13/0076 zu berücksichtigen sei, wonach Spieleinsätze bei Pokerspielen keine Eintrittsgelder im Sinne des Vorarlberger Kriegsopferabgabegesetzes und des Vorarlberger Gemeindevergnügungssteuergesetzes darstellten, sondern nur jene Teile der Einsätze, die der Unternehmer entgegennehme. Der Verwaltungsgerichtshof hielt dem entgegen, dass sich die Frage, ob bzw. in welchem Umfang Einsätze als Eintrittsgelder anzusehen sind, bei den Glücksspielabgaben nicht stelle, weil nach dem eindeutigen Gesetzeswortlaut des § 57 Abs. 1 erster Satz GSpG Ausspielungen einer Glücksspielabgabe von 16 vH vom "Einsatz" unterliegen. Eine Unterscheidung danach, ob die Ausspielungen mit oder ohne Bankhalter erfolgen bzw. ob die Einsätze zur Gänze vereinnahmt werden, sei in der genannten Bestimmung nicht vorgesehen.
7.3. Für Poker fallen auch im Zeitraum August 2013 bis Februar 2014, in dem das Wort "Poker" in § 1 Abs. 2 GSpG durch VfGH 27.6.2013, G 26/2013 aufgehoben gewesen war, Glücksspielabgaben an, weil bereits vor Aufnahme des Wortes "Poker" in die demonstrative Aufzählung des § 1 Abs. 2 GSpG Poker als Glücksspiel qualifiziert wurde
Zentraler Einwand der Bf. ist jedenfalls, dass Infolge Aufhebung des Wortes Poker in § 1 Abs. 2 GSpG durch VfGH 27.6.2013, G 26/2013 keine Abgabepflicht gemäß §§ 57 bis 59 GSpG bestehe. Die Bf. gibt an, dass das durch ein Gutachten von Univ.Prof. Dr.Dr.h.c. ****NAME**** vom 7.1.2014 untermauert worden sei. Anlässlich der mündlichen Verhandlung vor dem Senat am 26. August 2019 wurde die Vorlage des Gutachtens infolge der Judikatur des Verwaltungsgerichtshofes als überholt angesehen. Für den vorliegenden Beschwerdefall sei diese Entscheidung insofern von Relevanz, als der Verfassungsgerichtshof damit aussprach, dass "Pokersalons" bis zum Auslaufen der Übergangsbestimmung rechtmäßig betrieben werden dürften.
Diesem Argument der Bf. kann mit folgender Judikatur entgegengetreten werden:
Mit Beschluss VwGH 26.3.2019, Ro 2019/17/0003 (BFG 19.10.2017, RV/7103493/2014) wies der Verwaltungsgerichtshof die Revision betreffend Glücksspielabgaben für Kartenpokerspiel zurück und entschied, dass auch im Zeitraum Juli 2013 bis Februar 2014, in dem das Wort "Poker" in § 1 Abs. 2 GSpG durch VfGH 27.6.2013, G 26/2013 aufgehoben gewesen war, Glücksspielabgaben anfallen, weil bereits vor Aufnahme des Wortes "Poker" in die demonstrative Aufzählung des § 1 Abs. 2 GSpG Poker als Glücksspiel qualifiziert wurde:
"Wie der Verwaltungsgerichtshof bereits in seinem Erkenntnis vom 19. Oktober 2017, Ro 2015/16/0024, ausgeführt hat, nahm der Gesetzgeber mit der GSpG-Novelle 2008 eine beispielhafte Aufzählung von bestimmten Arten an Glücksspielen im § 1 Abs. 2 GSpG vor und nannte dabei ausdrücklich auch Poker. …. Der Verfassungsgerichtshof hegte dagegen insofern keine Bedenken, als er es grundsätzlich im rechtspolitischen Gestaltungsspielraum des Gesetzgebers gelegen sieht, wenn dieser das Pokerspiel dem Regime des Glücksspielgesetzes unterwirft (vgl. VfSlg. 19.767/2013). Die Aufhebung des Wortes "Poker" in § 1 Abs. 2 GSpG idF BGBl. I Nr. 54/2010 erfolgte vielmehr wegen der sich in Zusammenhalt mit den Konzessionsregelungen (§ 22 GSpG) ergebenden Auswirkung des Gesetzes auf den Betrieb von gewerblichen Poker-Casinos." (VwGH 26.3.2019, Ro 2019/17/0003 Rn 12).
"Sofern der Gesetzgeber selbst ein Spiel als Glücksspiel qualifiziert, obliegt die Prüfung der Sachlichkeit einer solchen Regelung dem Verfassungsgerichtshof; ob ein in § 1 Abs. 2 GSpG nicht genanntes Spiel als Glücksspiel zu beurteilen ist, obliegt den Verwaltungsbehörden unter der nachprüfenden Kontrolle der Verwaltungsgerichte sowie des Verwaltungsgerichtshofes. Diesbezüglich liegt auch Judikatur des Verwaltungsgerichtshofes vor, anhand derer die Zuordnung zu treffen ist (vgl. jüngst VwGH 11.7.2018, Ro 2018/17/0001 [Anm.: das sich auf § 1 Abs. 1 GSpG stützte]); eine Rechtsfrage grundsätzlicher Bedeutung stellt sich daher in diesem Zusammenhang nicht." (VwGH 26.3.2019, Ro 2019/17/0003 Rn 13).
"Auch vor der Aufnahme des Wortes "Poker" in den Glücksspiele bloß demonstrativ aufzählenden § 1 Abs. 2 GSpG mit der Novelle BGBl. I Nr. 54/2010 wurden bestimmte Arten des Pokerspiels als Glücksspiel qualifiziert (vgl. dazu VwGH 8.9.2005, 2000/17/0201); dass sich an dieser Beurteilung etwas geändert hätte bzw. wie Poker aufgrund welcher Umstände sonst zu qualifizieren wäre, wird von der revisionswerbenden Partei nicht einmal ansatzweise vorgebracht. Wenn die Revision den Gedanken im angefochtenen Erkenntnis aufgreift, dass der Begriff der Ausspielung in § 57 GSpG nicht der monopolrechtliche Ausspielungsbegriff sei, genügt es darauf hinzuweisen, dass sich diese Frage im Hinblick auf das Vorstehende nicht stellt. Auch insofern stellt sich daher keine Rechtsfrage grundsätzlicher Bedeutung." (VwGH 26.3.2019, Ro 2019/17/0003 Rn 14).
"Mit dem übrigen Zulässigkeitsvorbringen der Revision hat sich der Verwaltungsgerichtshof bereits aufgrund insoweit gleichlautender Revisionen in seinen Beschlüssen jeweils vom 21. Jänner 2019, Ro 2018/17/0007, 0008, sowie Ra 2018/17/0150, auf deren Begründung gemäß § 43 Abs. 2 und 9 VwGG verwiesen wird, auseinandergesetzt und ausgesprochen, dass mit diesem Vorbringen keine Rechtsfrage grundsätzlicher Bedeutung aufgeworfen wird." (VwGH 26.3.2019, Ro 2019/17/0003 Rn 15).
8. Aus den Glücksspielabgaben ergibt sich keine Unionsrechtswidrigkeit des Glücksspielmonopols
Die Bf. machte in ihrer Beschwerde den hohen Glücksspielwerbeaufwand der Konzessionäre geltend, welcher im Widerspruch zum EU-Recht stehe. Der Oberste Gerichtshof stellte zu dieser Frage den Antrag an den Verfassungsgerichtshof, Teile des Glücksspielgesetzes, bzw. das Glücksspielgesetz insgesamt aufzuheben. (OGH 30.3.2016, 4 Ob 31/16m). Der Verfassungsgerichtshof VfGH 15.10.2016, E 945/2016 ua. entschied dazu, dass die einschlägigen Bestimmungen des Glücksspielgesetzes nicht dem Unionsrecht widersprechen, der OGH habe konkrete Werbetätigkeiten der Konzessionäre isoliert betrachtet, ohne eine gesamthafte Würdigung aller Auswirkungen auf dem Glücksspielmarkt im Sinne der Rechtsprechung des EuGH vorzunehmen. Der Verfassungsgerichtshof sah sein Ergebnis auch durch die jüngere Rechtsprechung des Verwaltungsgerichtshofes VwGH 16.3.2016, Ro 2015/17/0022 gestützt.
Mit dem Erkenntnis VwGH 11.07.2018, Ra 2018/17/0048 wurde die Unionsrechtskonformität des GSpG bestätigt.
Diese zitierten höchstgerichtlichen Entscheidungen ergingen zum ordnungspolitischen Teil des Glücksspielgesetzes. Bei den Glücksspielabgaben liegt keine conditio sine qua non im Verhältnis zu § 3 GSpG vor. Wie zu § 33 TP 17 Abs. 1 Z 7b GebG idFv 1.1.2011 kann man auch bei der Glücksspielabgabe grundsätzlich davon ausgehen, dass diese "lediglich an die in § 1 GSpG genannten Glücksspiele - unabhängig von deren monopolrechtlichen Konsequenzen - anknüpft". (Beschluss VfGH 21.9.2012, B 1357, dargestellt in BFG 25.9.2017, RV/7100908/2012). Nach Ansicht des Obersten Gerichtshofes Beschluss des OGH 30.3.2016, 4 Ob 31/16m ua ist eine untrennbare Verbindung zwischen Glücksspielmonopol und Glücksspielabgaben nicht zwingend anzunehmen, weil die Regelungen über Glücksspielabgaben auch ohne Vorliegen eines Monopols und einer damit verbundenen Bewilligungspflicht anwendbar sein könnten.
Unter der Anmerkung, dass ihm bei der Auslegung von nicht in die Kompetenz der ordentlichen Gerichte fallenden Rechtsmaterien keine Leitfunktion zukommt, traf der Oberste Gerichtshof im Beschluss OGH 21.11.2018, 1Ob209/18v im Zusammenhang mit der Sicherstellung von Glücksspielabgaben, also zum abgabenrechtlichen Teil des Glücksspielgesetzes, folgende Aussage: Die Beurteilung des Berufungsgerichts, dass § 57 Abs 1 GSpG nicht unionsrechtswidrig sei, sah der Oberste Gerichtshof als nicht korrekturbedürftig an, ebenso nicht, dass die Klägerinnen Abgabenschuldnerinnen nach § 59 Abs 2 Z 1 zweiter Teilstrich GSpG sind und die Regelung des § 60 Abs 36 GSpG idF des StRefG 2015/2016, BGBl I 2015/118; dazu ErläutRV 684 BlgNR XXV. GP 33, dahin auszulegen sei, dass eine Gewerbeberechtigung zum "Halten erlaubter Kartenspiele - Poker" zwar die Strafbarkeit des "verbotenen Spiels" "hinausschiebe", nicht aber den Gewerbeberechtigten von der Verpflichtung zur Leistung der Glücksspielabgabe entbinde; ein "Berechtigungsverhältnis" lässt sich daraus nicht ableiten. Von der Glücksspielabgabe gemäß § 57 GSpG sind sowohl verbotene als auch erlaubte Ausspielungen unter Bedachtnahme auf die Abgabenbefreiung nach § 57 Abs 6 GSpG erfasst.
Das Bundesfinanzgericht befasste sich mit diesem Fragenkomplex insbesondere in den Erkenntnissen BFG 2.2.2015, RV/7103459/2012, BFG 10.6.2016, RV/7101758/2012, BFG 25.9.2017, RV/7100907/2012, RV/7100908/2012, BFG 04.04.2018, RV/7104839/2017. Nach EuGH 30.4.2014, C-390/12 Rn 52 Rs Pfleger muss die Gesamtwürdigung dynamisch sein, die Entwicklung der Umstände nach Erlaß der betreffenden Regelung müssen berücksichtigt werden. Da die Bf. in der mündlichen Verhandlung vor dem Senat am 26. August 2019 ein unionsrechtliches Vorbringen erstattete, das Glücksspielgesetz mehrfach novelliert wurde und neuere Judikatur erging (VwGH 11.07.2018, Ra 2018/17/0048), wird nun darauf näher einzugehen sein.
Die Prüfung erfolgt aus Sicht des abgabenrechtlichen Teiles. Da laut VwGH 11.7.2018, Ra 2018/17/0048 Rn 21 unter Verweis auf EuGH 30.4.2014, C-390/12 Rn 50 Rs Pfleger (vgl. auch VwGH 16.3.2016, 2015/17/0022 Rn 69 bis Rn 73), bei einer Gesamtwürdigung auf alle Umstände Bedacht zu nehmen ist, unter denen die die Dienstleistungsfreiheit beschränkenden Bestimmungen des GSpG erlassen worden sind und umgesetzt werden, befasste sich das Bundesfinanzgericht in einem ersten Schritt mit der Rechtsentwicklung der Abgaben, die im Zusammenhang mit dem Glücksspiel stehen und in einem zweiten Schritt, wie sich eine Verfassungswidrigkeit infolge Unionsrechtswidrigkeit auf die Glücksspielabgaben auswirken würde, mit spezieller Untersuchung der Kosten, die der Spielbankkonzessionärin anfallen, gegenüber den Kosten der Bf. als Veranstalterin gewerblicher Pokerspiele:
8.1. Unionsrechtliches Vorbringen der Bf. zum Beihilfenverbot: Spielerschutzerwägungen würden eine verbotene Beihilfe nicht aufwiegen, wenn die Konzessionärin gleichzeitig massive Werbemaßnahmen für Glücksspiel durchführt
In der mündlichen Verhandlung vor dem Senat am 26. August 2019 wurde von der Bf. weiteres Vorbringen zum Unionsrecht erstattet, nämlich zum Beihilfenverbot und zur Dienstleistungsfreiheit unter Berücksichtigung, dass die Bf. insofern grenzüberschreitend tätig sei, als auch Teilnehmer aus dem Ausland, insbesondere zu den von ihr veranstalteten Turnieren kommen würden.
Zum Beihilfenverbot verwies die Bf. auf die Rechtsprechung des VwGH 21.1.2019, Ra 2018/17/0150, das in den Rn 20 bis Rn 22 zu dieser Thematik folgende Begründung enthält:
"20 Soweit weiters die Revision ihre Zulässigkeit allgemein in der Verkennung eines Verstoßes gegen das unionsrechtliche Beihilfenverbot erblickt, kann zunächst auf die Ausführungen im bereits zitierten Erkenntnis vom 19. Oktober 2017, Ro 2015/16/0024, verwiesen werden, in welchem das Vorliegen einer dem Unionsrecht widersprechenden Beihilfe bereits verneint wurde.
21 Darüber hinaus hat sich, wie oben ausgeführt, das BFG im angefochtenen Erkenntnis unter Berufung auf Rechtsprechung der Gerichtshöfe des öffentlichen Rechts mit der Frage beschäftigt, ob auf Grundlage der Regelungen des Glücksspielgesetzes davon auszugehen ist, dass die revisionswerbende Partei im Vergleich zum Inhaber einer Spielbankenkonzession eine bedeutend höhere Abgabenbelastung trifft und hat dies verneint. Es gelangte zu dem Ergebnis, dass § 57 Abs. 6 Z 1 GSpG, mit dem eine Befreiung von Ausspielungen in konzessionierten Spielbanken im Sinne des § 21 GSpG von der Glücksspielabgabe erfolgte, lediglich eine Doppelbelastung des Konzessionsinhabers verhindert. Mit diesen Ausführungen des BFG hat sich die revisionswerbende Partei nicht auseinandergesetzt, insbesondere eine finanzielle Mehrbelastung von Personen, die nicht über eine Spielbankenkonzession verfügen, gegenüber Konzessionären unter Berücksichtigung der gesetzlichen Regelungen des Glücksspielgesetzes (vgl. in diesem Zusammenhang insbesondere die §§ 21 Abs. 2 Z 3, 28 und § 59a Abs. 1 GSpG) nicht einmal behauptet.
22 Selbst wenn aber durch die Belastung von Personen, die nicht über eine Spielbankenkonzession verfügen, mit der Glücksspielabgabe dem Konzessionär ein finanzieller Vorteil gewährt würde, ist festzuhalten, dass es entgegen den Behauptungen der revisionswerbenden Partei nicht zutrifft, dass einen Spielbankenkonzessionär keine gemeinwirtschaftlichen Verpflichtungen treffen, die Zusatzkosten verursachen. Vielmehr entstehen diesem auf Grund von Bestimmungen des Glücksspielgesetzes, die der Verhinderung von Spielsucht, Kriminalität und Geldwäscherei dienen, hohe Zusatzkosten. Weiters hat er die Kosten der Überwachung der Einhaltung dieser Bestimmungen durch den Bundesminister für Finanzen zu tragen (vgl. § 19 Abs. 1 GSpG). Dass in diesem Zusammenhang eine Überkompensierung erfolge, wird in der Zulassungsbegründung nicht behauptet, sondern in Verkennung der Rechtslage der Standpunkt vertreten, dass es darauf nicht ankomme (vgl. zu all dem wiederum den Beschluss vom 21.1.2018, Ro 2018/17/0007, 0008)."
Die Bf. brachte dazu vor, dass Spielerschutzerwägungen eine verbotene Beihilfe nicht aufwiegen, wenn die Konzessionärin gleichzeitig massive Werbemaßnahmen für Glücksspiel durchführt. Auf der Website der Spielbankkonzessionärin werde die sogenannte *SPIELBANKKONZESSIONÄRIN* Poker Tour 2019 mit folgenden Worten beworben: "Spannung pur! Ob Neueinsteiger, Hobbyspieler oder Fortgeschrittener. Wir bieten Ihnen und Ihrer Familie auch rund um die Pokertische beste Unterhaltung und ein unvergessliches Erlebnis." Nach Ansicht der Bf. sind Spielerschutzerwägungen lediglich ein Vorwand dafür, die Spielbankkonzessionärin vor Wettbewerb zu schützen. Wettbewerber würden durch die Glücksspielabgabe, die die Konzessionärin nicht zu entrichten habe, so hoch besteuert, dass sie letztlich alle Insolvenz anmelden mussten.
8.2. Einteilung des Glücksspielgesetzes in einen ordnungspolitischen und einen abgabenrechtlichen Teil
Das Glücksspielwesen ist in Österreich durch das Glücksspielgesetz 1989 geregelt. Das Glücksspielrecht ist von einem Nebeneinander verschiedener rechtlicher Normen und Zielsetzungen geprägt. Zentrale Norm des Glücksspielrechtes ist zwar das Monopol, viele glücksspielrechtliche Bestimmungen reichen in andere Rechtsdisziplinen wie z.B. Verwaltungsstrafrecht, gerichtliches Strafrecht (§ 168 StGB), Zivilrecht (§§ 1267ff ABGB), Steuerrecht (Glücksspielabgaben) und verwaltungsrechtliche Vorschriften des Bundes und der Länder. (Kohl, Das österreichische Glücksspielmonopol, 12). Eine Einteilungsmöglichkeit ist die, das Glücksspielgesetz in einen ordnungspolitischen Teil, der das Glücksspielmonopol umfasst und einen abgabenrechtlichen Teil zu gliedern.
In den §§ 1 und 2 GSpG ist der Regelungsinhalt des GSpG sowohl ordnungspolitisch, als auch abgabenrechtlich umschrieben: das Glücksspiel. Glücksspiel ist der Spielvertrag iSd ABGB, wobei nicht jedes Spiel dem Glücksspielgesetz unterliegt, sondern nur ein entgeltliches, von Unternehmern bzw. Veranstaltern angebotenes Spiel, bei welchem der Gewinn oder Verlust ausschließlich oder vorwiegend vom Zufall abhängt. Das GSpG bezeichnet das als Ausspielung. (zur ausführlichen Darstellkung siehe Punkt 7.1. und Punkt 8.5.3. dieses Erkenntnisses). Glücksspiele iSd GSpG sind insbesondere die Spiele Roulette, Beobachtungsroulette, Poker, Black Jack, Two Aces, Bingo, Keno, Baccarat und Baccarat chemin de fer und deren Spielvarianten.
Ordnungspolitischer Teil: Gemäß § 3 GSpG ist das Recht zur Durchführung der im § 1 Abs 1 GSpG umschriebenen Glücksspiele grundsätzlich dem Bund vorbehalten (Glücksspielmonopol; Kohl, Das österreichische Glücksspielmonopol, 16; Bresich/Klingenbrunner/Posch in Strejcek/Bresich, GSpG2 23, 32). Der Bund kann innerhalb eines gewissen Rahmens das ihm gemäß § 3 GSpG zustehende Recht zur Durchführung von Glücksspielen durch Erteilung von Konzessionen oder Bewilligungen an andere Personen übertragen (Kohl, Glücksspielmonopol 53). Das Monopolrecht des Bundes verbleibt als Aufsichtsrecht und als Recht, Abgaben einzuheben (Kohl, Glücksspielmonopol 223). Der Bund kann gemäß § 14 GSpG eine Konzession zur Durchführung bestimmter Lotterien übertragen, über die auch das Onlineglücksspiel und Video-Lotterie-Terminals betrieben werden. Der Lotterienkonzessionär hat gemäß § 17 GSpG eine Konzessionsabgabe zu entrichten. Der Bund kann gemäß § 21 GSpG Konzessionen zum Betrieb von Spielbanken (Spielbankkonzessionen) übertragen. Die Konzession bezieht sich nur auf "physische" und nicht auf "virtuelle" Spielbanken, d.h., in einer Spielbank dürfen Glücksspiele primär im Lebendspiel angeboten werden. (Segalla, Glücksspiel- und Wettrecht, in Holoubek/Potacs (Hrsg), Handbuch des öffentlichen Wirtschaftsrechts2 (2007) 262; Buchta, Glücksspiel in Österreich und Europarecht, 2010, 3; Kohl, Das österreichische Glücksspielmonopol, 55-58; Bresich/Klingenbrunner/Posch in Strejcek/Bresich, GSpG 19892 30). Der Spielbankkonzessionär hat gemäß § 28 GSpG eine Spielbankabgabe zu entrichten. (VwGH 17.9.2001, 2001/17/0071).
Die Monopolbestimmungen des § 3 GSpG sagen jedoch nichts über die Rechtsverkehrsteuern auf den Abschluss von Glücksverträgen und anderer Abgaben auf Glücksspiele aus, nicht sämtliche Bestimmungen des Glücksspielgesetzes stehen in einem untrennbaren Zusammenhang, wie z.B. die Regelungen betreffend Glücksspielabgaben in §§ 57 ff GSpG. (Beschluss VfGH 15.10.2016, G 103-104/2016 u.a. Rn 108; VwGH 21.10.1994, 92/17/0179, VwGH 16.12.1994, 92/17/0208; VwGH 16.12.2015, 2013/17/0326; Beschluss des OGH 30.3.2016, 4 Ob 31/16m ua.; o.A. , Glücksspielgesetz9, 33-35).
Abgabenrechtlicher Teil: Das Glücksspielgesetz ist kein Steuergesetz wie z.B. das Einkommensteuer- oder Umsatzsteuergesetz, sehr wohl enthält es steuerrechtliche Regelungen, (Bresich/Klingenbrunner/Posch in Strejcek/Bresich, GSpG 19892, 24). Es regelt drei Abgaben, die Konzessionsabgabe gemäß § 17 GSpG für die Lotterienkonzession, die Spielbankabgabe gemäß § 28 GSpG für den Betrieb von Spielbanken und die Glücksspielabgabe gemäß §§ 57-59 GSpG als allgemeine Abgabe auf Glücksspiele. Zu diesen Abgaben sind auch die festen Eingaben- und amtliche Ausfertigungsgebühren gemäß § 59a GSpG, die Zuschläge zu den Glücksspielabgaben für Bundesautomaten und Video-Lotterie-Terminals gemäß § 13a FAG 2008/§ 14 FAG 2017, in welchen die bisher von den Ländern erhobenen Lustbarkeitsabgaben "aufgehen" (Doralt/Ruppe, Steuerrecht II7 Tz 1123) und der Finanzierungsbeitrag in Höhe von 1 Promille der jeweiligen Bemessungsgrundlage nach § 28 GSpG sowie nach § 57 Abs. 4 GSpG, zu zählen.
Im Konkreten geht es hier um die Glücksspielabgaben gemäß §§ 57 bis 59 GSpG, von denen die Bf. betroffen ist. Insgesamt handelt es sich um ein vollständiges Steuergesetz: Steuergegenstand (samt Befreiungen als Aushöhlung des Steuergegenstandes), Bewertungsvorschriften, Bemessungsgrundlage, Steuersatz, Entstehen der Steuerschuld, Steuerschuldner und Entrichtung.
Für die Erhebung der Spielbankabgabe, Konzessionsabgabe und Glücksspielabgaben gilt § 19 AVOG (Finanzamt für Gebühren, Verkehrsteuern und Glücksspiel). Die Zuständigkeit des Bundesfinanzgerichtes ergibt sich aus § 1 BFGG, ihm obliegen Entscheidungen über Beschwerden in Angelegenheiten der öffentlichen Abgaben, wie hier der Glücksspielabgabe gemäß § 57 GSpG. Da im gegenständlichen Fall Beschwerden gegen Glücksspielabgabenbescheide gemäß § 201 BAO erhoben wurden, ist das Bundesfinanzgericht zuständig. Dass das nationale Gericht eine Gesamtwürdigung der Umstände vorzunehmen hat, unter denen eine restriktive Regelung erlassen worden ist und durchgeführt wird, kann nur so verstanden werden, dass der EuGH damit die oder das jeweils zuständige nationale Gericht bzw. das zuständige Höchstgericht meinte. (EuGH 30.4.2014, C-390/12, Rs Pfleger Rn 50, Rn 52; vgl. OGH 27.11.2013, 2 Ob 243/12t, Punkt VII.3.). Einer Befassung des EuGH im Hinblick auf dessen umfangreiche einschlägige Rechtsprechung bedarf es nicht. (OGH 27.11.2013, 2 Ob 243/12t, Punkt VIII.).
8.3. Unionsrechtliche Vorgaben für das Glücksspielmonopol
Im Erkenntnis VwGH 11.07.2018 Ra 2018/17/0048, mit welchem die Unionsrechtkonformität des Glücksspielmonopols bestätigt wurde, hat sich der Verwaltungsgerichtshof unter Punkt B) Zur Rechtsprechung des EuGH und der österreichischen Höchstgerichte des öffentlichen Rechts (VwGH und VfGH) mit den unionsrechtliche Vorgaben für das Glücksspielmonopol befasst:
"17 Der EuGH hat wiederholt ausgesprochen, dass die Einrichtung staatlicher Monopole eine Maßnahme ist, die den in Art. 56 AEUV verbürgten freien Dienstleistungsverkehr und die in Art. 49 AEUV verbürgte Niederlassungsfreiheit beschränkt. Eine solche Monopolregelung, die insbesondere den Vorteil bietet, die Spiellust und den Betrieb der Spiele in kontrollierte Bahnen zu lenken, kann jedoch zur Verwirklichung von im Allgemeininteresse liegenden Zielen dienen (vgl. EuGH 8.9.2010, Markus Stoß ua, C-316/07, Rn. 79).
18 Solche "zwingenden Gründe des Allgemeininteresses" sind Verbraucherschutz, Betrugsvorbeugung und die Vermeidung von Anreizen für die Bürger zu übermäßigen Ausgaben für das Spielen (vgl. EuGH 30.4.2014, Pfleger, C-390/12, Rn. 41, mwN), wobei Art. 56 AEUV einer Regelung entgegensteht, die nicht wirklich das Ziel des Spielerschutzes oder der Kriminalitätsbekämpfung verfolgt und nicht tatsächlich dem Anliegen entspricht, in kohärenter und systematischer Weise die Gelegenheiten zum Spiel zu verringern oder die mit diesen Spielen verbundene Kriminalität zu bekämpfen (EuGH 30.4.2014, Pfleger, C-390/12, Rn. 56).
19 Darüber hinaus hat der EuGH ausgesprochen, dass die Verhinderung und die Bekämpfung der Geldwäsche und der Terrorismusfinanzierung legitime Ziele darstellen, zu deren Erreichung sich die Mitgliedstaaten sowohl auf internationaler als auch auf Unionsebene verpflichtet haben (EuGH 25.4.2013, Jyske Bank Gibraltar Ltd., C-212/11, Rn. 62). Dabei ist die Bekämpfung der Geldwäsche, die Teil des Ziels des Schutzes der öffentlichen Ordnung ist, ein legitimes Ziel, das eine Beschränkung des freien Dienstleistungsverkehrs rechtfertigen kann (vgl. Jyske Bank Gibraltar Ltd., Rn. 64, mwN).
20 Die Mitgliedstaaten verfügen "im Bereich der Veranstaltung von Glücksspielen über ein ausreichendes Ermessen, um festzulegen, welche Erfordernisse sich aus dem Schutz der Verbraucher und der Sozialordnung ergeben. Soweit die von der Rechtsprechung des Gerichtshofs aufgestellten Voraussetzungen im Übrigen beachtet werden, ist es Sache jedes Mitgliedstaats, zu beurteilen, ob es im Zusammenhang mit den von ihm verfolgten legitimen Zielen erforderlich ist, Tätigkeiten in Bezug auf Spiele und Wetten vollständig oder teilweise zu verbieten, oder ob es genügt, sie zu beschränken und zu diesem Zweck mehr oder weniger strenge Kontrollformen vorzusehen" (vgl. in diesem Sinne Pfleger, Rn. 45, mwN).
21 Das nationale Gericht hat eine Gesamtwürdigung - im Licht der konkreten Anwendungsmodalitäten der betreffenden restriktiven Regelung - der Umstände vorzunehmen, unter denen eine solche restriktive Regelung erlassen worden ist und durchgeführt wird (Pfleger, Rn. 49). Bei dieser Gesamtwürdigung ist auf alle Umstände Bedacht zu nehmen, unter denen die die Dienstleistungsfreiheit beschränkenden Bestimmungen des GSpG erlassen worden sind und umgesetzt werden (Pfleger, Rn. 50); es ist daher nicht nur isoliert ein einzelner Umstand zu betrachten - etwa eine konkrete Werbetätigkeit -, ohne eine gesamthafte Würdigung aller Auswirkungen auf dem Glücksspielmarkt im Sinne der Rechtsprechung des EuGH vorzunehmen (so bereits VwGH 16.3.2016, Ro 2015/17/0022, sowie VfSlg. 20.101/2016, Rn. III. 2.4.4.). Der Ansatz des eine solche Gesamtwürdigung durchführenden Gerichts darf dabei nicht statisch, sondern muss dynamisch sein, sodass es die Entwicklung der Umstände auch nach dem Erlass der betreffenden Regelung berücksichtigen muss (ebenso Pfleger, Rn. 52 f).
22 ….
23 Der Verwaltungsgerichtshof hat dazu ausgesprochen, dass von einem Mitgliedstaat der Europäischen Union nicht verlangt werden kann, ein seit langer Zeit installiertes System des Glücksspielbereiches, das erfolgreich den Zielen des Spielerschutzes samt Suchtbekämpfung und der Geringhaltung der Beschaffungskriminalität sowie der Kriminalität gegenüber Spielern gedient hat, vorbeugend abzuschaffen, um auszutesten, in welchem Umfang dann diesen Zielen nicht mehr Genüge getan würde (VwGH 16.3.2016, Ro 2015/17/0022, Rn. 116).
24 ….
28 Hinsichtlich der vom Verwaltungsgericht zu treffenden Feststellungen, aufgrund derer in der Folge eine Gesamtwürdigung der Umstände, unter denen die Dienstleistungsfreiheit beschränkende Bestimmungen des Glücksspielgesetzes erlassen worden sind und unter denen sie durchgeführt werden, ist Folgendes festzuhalten: Da das Verwaltungsgericht zum Einen nach der Judikatur des EuGH die Verpflichtung zur Feststellung dieser Umstände trifft, müssen sie - sofern nicht ohnehin diesbezügliches, konkrete Ermittlungsschritte auslösendes Parteienvorbringen vorhanden ist - diese von Amts wegen treffen dürfen, da sie ansonsten keine Gesamtwürdigung durchführen könnten (vgl. Pfleger, Rn. 50 ff….
29 ….
30 Die Rechtsprechung EuGH 8.9.2010, Carmen Media Group, C-46/08, Rn. 63; Stoß ua., Rn. 96 ist für Österreich insoweit von Bedeutung, als für verschiedene Arten von Glücksspielen unterschiedliche Regelungen bestehen: Grundsätzlich ist das Recht zur Durchführung von Glücksspielen dem Bund vorbehalten (§ 3 GSpG "Glücksspielmonopol"). Der Bund selbst veranstaltet jedoch keine Glücksspiele, sondern vergibt - unter Beschränkung der Anzahl - Konzessionen betreffend Lotterien und Spielbanken. Gemäß § 4 Abs. 2 GSpG sind vom Glücksspielmonopol Landesausspielungen mit Glücksspielautomaten (§ 5 GSpG, "kleines Glücksspiel") ausgenommen. ….
31 Ein solches duales System zur Organisation des Glücksspielmarkts kann sich jedoch als im Widerspruch zu Art. 56 AEUV stehend erweisen, wenn festgestellt wird, dass die zuständigen Behörden in Bezug auf andere Glücksspiele als die, die dem staatlichen Monopol unterliegen, eine Politik verfolgen, die eher darauf abzielt, zur Teilnahme an diesen anderen Spielen zu ermuntern, als darauf, die Spielgelegenheiten zu verringern und die Tätigkeiten in diesem Bereich in kohärenter und systematischer Weise zu begrenzen, was zur Folge hat, dass das der Errichtung dieses Monopols zugrunde liegende Ziel, Anreize zu übermäßigen Ausgaben für das Spielen zu vermeiden und die Spielsucht zu bekämpfen, mit ihm nicht mehr wirksam verfolgt werden kann (EuGH 28.2.2018, Sporting Odds Ltd., C-3/17, Rn. 24, mwN).
32 Im letztgenannten Urteil (Rn. 29) hat der EuGH erneut betont, dass sogar eine Liberalisierung bestimmter Arten von Glücksspielen, die sich im Rahmen einer Politik der kontrollierten Expansion von Glücksspieltätigkeiten bewegen kann, sowohl mit dem Ziel, die Ausnutzung von Glücksspieltätigkeiten zu kriminellen oder betrügerischen Zwecken zu verhindern, als auch mit dem Ziel der Vermeidung von Anreizen zu übermäßigen Ausgaben für das Spielen und der Bekämpfung der Spielsucht in Einklang stehen kann, indem die Verbraucher zu dem Angebot zugelassener Anbieter gelenkt werden, bei dem davon auszugehen ist, dass es vor kriminellen Elementen geschützt und darauf ausgelegt ist, die Verbraucher besser vor übermäßigen Ausgaben und vor Spielsucht zu bewahren."
Erst jüngst hat der EuGH mit Beschluss EuGH 6.9.2018, C-79/17 Rs Gmalieva ausgesprochen, "Es obliegt dem vorlegenden Gericht, anhand der vom Gerichtshof der Europäischen Union insbesondere im Urteil vom 30. April 2014, Pfleger u. a. (C-390/12, EU:C:2014:281), gegebenen Hinweise zu bestimmen, ob eine glücksspielrechtliche innerstaatliche Monopolregelung, …. als kohärent im Hinblick auf die Art. 56 ff. AEUV anzusehen ist, ….".
8.4. Kein grenzüberschreitender Sachverhalt
Die Bf. verwirklicht keinen grenzüberschreitenden Sachverhalt in Bezug auf die Glücksspielabgaben und das Unionsrecht. Wie unter Punkt 6. Zur Person der Bf. dargestellt, wurde sie mit Notariatsakt vom 17. März 2008 gegründet und in Österreich ins Firmenbuch eingetragen. Sie trat als Veranstalterin der Kartenpokerspiele in Wiener Neustadt im Poker Royale Card Casino auf. Nach ihren Angaben sowohl in den Beschwerdeschriftsätzen als auch in der mündlichen Verhandlung vor dem Bundesfinanzgericht am 26. August 2019 nahmen an diesen Kartenpokerspielen auch Teilnehmer aus dem Ausland teil.
Im Sinn des § 57 Abs. 1 GSpG nahmen damit sowohl die Bf. als auch die Spielteilnehmer ausschließlich vom Inland aus an den von der Bf. angebotenen und veranstalteten Spielen teil, weswegen ein reiner Inlandssachverhalt vorliegt.
Aus diesen Gründen kann kein Vorabentscheidungsersuchen an den EuGH gestellt werden.
Nach der Judikatur der Höchstgerichte ist auch in einem solchen Fall die betreffende inländische Rechtslage in Bezug auf das Unionsrecht zu prüfen, da eine allfällige, dadurch bewirkte Inländerdiskriminierung verfassungswidrig ist und einen Normprüfungsantrag rechtfertigen würde (insbesondere VfGH 15.10.2016, E 945/2016 ua; OGH 30.3.2016, 4 Ob 31/16m).
8.5. Zum Einwand der Verfassungswidrigkeit der Glücksspielabgabe gemäß § 57 GSpG aus Sicht des abgabenrechtlichen Teils des Glücksspielgesetzes
In den 18 Vorlageanträgen, datiert mit 5. August 2015, hatte die Bf. unter anderem die Anregungen gestellt, das Bundesfinanzgericht möge einen Antrag auf Aufhebung von § 57 GSpG oder § 57 Abs. 5 GSpG wegen Verfassungswidrigkeit an den Verfassungsgerichtshof richten und dem EuGH zur Vorabentscheidung vorlegen, ob § 57 Abs. 6 GSpG eine unionsrechtswidrige Beihilfe darstelle, jedenfalls stelle § 57 Abs. 6 GSpG einen Verstoß gegen den Gleichheitsgrundsatz dar. Weiters äußerte die Bf. verfassungsrechtliche Bedenken wegen gleichheitswidriger, exzessiver Besteuerung und verwies dabei auf Entscheidungen des Europäischen Gerichtshofes für Menschenrechte (EGMR 14.5.2013, 66529/11 N.K.M. v. Hungary ua.).
8.5.1. Mittelbare Verbindung der Glücksspielabgaben durch § 57 Abs. 2 letzter Satz GSpG, § 57 Abs. 4 GSpG und § 57 Abs. 6 GSpG zum ordnungspolitischen Teil (Präjudizialität)
Der Verfassungsgerichtshof VfGH 15.10.2016, E 945/2016 hat bereits entschieden, dass das Glücksspielmonopol unionsrechtskonform ist. Darüber hinaus ist zum Vorbringen der Bf. folgendes zu sagen: Bei den Glücksspielabgaben liegt keine conditio sine qua non im Verhältnis zu § 3 GSpG vor. Bei der Glücksspielabgabe, wie zur Vorgängerbestimmung des § 33 TP 17 Abs. 1 Z 7b GebG kann man grundsätzlich davon ausgehen, dass diese " lediglich an die in § 1 GSpG genannten Glücksspiele - unabhängig von deren monopolrechtlichen Konsequenzen - anknüpft". (Beschluss VfGH 21.9.2012, B 1357). Nach Ansicht des Obersten Gerichtshofes Beschluss des OGH 30.3.2016, 4 Ob 31/16m ua ist eine untrennbare Verbindung zwischen Glücksspielmonopol und Glücksspielabgaben nicht zwingend anzunehmen, weil die Regelungen über Glücksspielabgaben auch ohne Vorliegen eines Monopols und einer damit verbundenen Bewilligungspflicht anwendbar sein könnten.
Das Verhältnis zwischen Glücksspielabgaben und § 3 GSpG scheint nicht einmal den Fällen der "Rechtsprechung des Verfassungsgerichtshofes zur Einheitsbewertung" ähnlich zu sein, da bei der aufgehobenen Erbschafts- und Schenkungssteuer (VfGH 7.3.2007, G 54/06 ua., VfGH 15.6.2007, G 23/07), der Grunderwerbsteuer (VfGH 27.11.2012, G 77/12), der Stiftungseingangssteuer (z.B. VfGH 2.3.2011, G 150/10 ua.), den Gerichtsgebühren (VfGH 21.9.2011, G 34,35/11) zumindest der aufgrund des Bewertungsgesetzes 1955 festgestellte Einheitswert durch Verweis als Bemessungsgrundlage herangezogen wurde, den Glücksspielabgaben aber ein vergleichbarer Verweis auf das Glücksspielmonopol fehlt. Eher könnte eine Relationalität zwischen Steuern mit Bezug zum Glücksspielmonopol und Glücksspielabgaben angenommen werden, wie sie zwischen Rechtsgeschäftsgebühren gemäß § 15 Abs. 3 GebG und anderen Verkehrsteuern, insbesondere Grunderwerbsteuer besteht. Um eine Doppelbesteuerung mit Rechtsgeschäftsgebühren und Grunderwerbsteuer zu vermeiden, sind gemäß § 15 Abs. 3 GebG z.B. Rechtsgeschäfte, die unter das Grunderwerbsteuergesetz fallen, von der Gebührenpflicht ausgenommen. Bei der Glücksspielabgabe sind Befreiungen zur Vermeidung der Doppelbesteuerung von Steuern mit Bezug zum Glücksspielmonopol vorgesehen:
- § 57 Abs. 2 letzter Satz GSpG: Der Konzessionär gemäß § 14 GSpG ist von der Glücksspielabgabe für elektronische Lotterien befreit, weil er die Konzessionsabgabe in gleicher Höhe trägt (§ 17 Abs. 3 Z 7 GSpG)
- § 57 Abs. 4 GSpG: Glücksspielautomatenbewilligungsinhaber gemäß § 5 GSpG und der Konzessionär gemäß § 14 GSpG tragen eine ermäßigte Glücksspielabgabe gemäß § 57 Abs. 4 GSpG für Glücksspielautomaten und elektronische Lotterien über Video-Lotterie-Terminals von 10% + § 13a FAG 2008/§ 14 FAG 2017 15% = 25% bzw. bis 31.12.2014 von 25% und
- § 57 Abs. 6 Z 1 GSpG: Ausspielungen von Spielbanken gemäß § 21 GSpG sind von der Glücksspielabgabe befreit.
Auch wenn keine untrennbare Verbindung besteht, ist über die Doppelbesteuerungsvermeidung ein gewisser Durchgriff zum konzessionierten Bereich gegeben. Da nach den Erkenntnissen VfGH 12.4.1997, G 400/96, G 44/97; VfGH 2.10.1998, G 72/97, G 247/97 zur Kommunalsteuer und zum Gebührengesetz 1957 in der Versagung einer Befreiung die Anwendung eines negativen Tatbestandsmerkmales liegen kann (Aichlreiter, Präjudizialität, in Holoubek/Lang [Hrsg.], Das verfassungsgerichtliche Verfahren in Steuersachen, 71; Lang, Der Sitz der Rechtswidrigkeit, in Holoubek/Lang [Hrsg.], Das verfassungsgerichtliche Verfahren in Steuersachen, 93), wird sicherheitshalber von einer Präjudizialität der Vorschriften des § 57 Abs. 2 letzter Satz GSpG, § 57 Abs. 4 GSpG iVm § 13a FAG/§ 14 FAG 2017 und § 57 Abs. 6 GSpG ausgegangen.
Bemerkt wird, dass auch durch
- § 57 Abs. 1 2. Satz GSpG: Während bei der Konzessionsabgabe gemäß § 17 Abs. 2 Z 1 GSpG, auf den sich § 57 Abs. 1 2. Satz GSpG bezieht, die einheitliche Bemessungsgrundlage die Summe der Einsätze der Glücksspiele während eines Kalenderjahres sind, ist bei turnierförmigen Ausspielungen, die nicht der Konzessionsabgabe unterliegen, an Stelle der Einsätze der in Aussicht gestellte Gewinn des Turniers Bemessungsgrundlage, sowie
- § 57 Abs. 6 Z 2 GSpG: die Ausnahmen aus dem Glücksspielmonopol des § 4 Abs. 3 bis 6 GSpG sind von der Glücksspielabgabe befreit,
ein gewisser Durchgriff zum konzessionierten Bereich gegeben sein könnte, auch wenn es sich hier nicht um Befreiungen iS der Anwendung eines negativen Tatbestandsmerkmales in Relation zum konzessionierten Bereich handelt, sondern um Spezialregeln.
Das Bundesfinanzgericht geht davon aus, dass zwar einerseits keine untrennbare Verbindung zwischen den §§ 57 bis 59 GSpG und dem Glücksspielmonopol bzw. Konzessionssystem vorliegt (z.B. Beschluss VfGH 21.9.2012, B 1357; OGH 30.3.2016, 4 Ob 31/16m ua.), andererseits aber die Befreiungsbestimmungen des § 57 Abs. 2 letzter Satz GSpG, § 57 Abs. 4 GSpG iVm § 13a FAG/§ 14 FAG 2017 und § 57 Abs. 6 GSpG auf das Konzessionssystem rekurrieren.
8.5.2. 1. Schritt: Die Rechtsentwicklung der Glücksspielbesteuerung und deren Implementierung in das Glücksspielgesetz mit besonderer Berücksichtigung des Kartenpokerspiels aus Sicht der Gebühren und Verkehrsteuern
Nach Ansicht des Bundesfinanzgerichtes stand bereits bei den Vorgängerbestimmungen des heutigen Glücksspielgesetzes der Spielerschutz im Vordergrund, fiskalische Zwecke traten immer weiter zurück. Zum Beispiel wurden im Patent von Kaiser Leopold I aus dem Jahr 1696 bestimmte Glücksspiele konkret verboten, weil man verhindern wollte, dass "Haus und Hof" verspielt wurden. Ein weiterer maßgeblicher Grund für diese frühen Regelungen im Glücksspielbereich waren die mit der Abhaltung von Glücksspielen oftmals verbundenen unseriösen Praktiken von Spiel- und Wettveranstaltern, welche die Spielleidenschaft der Menschen zur Erzielung finanzieller Vorteile ausnutzten; diesem Umstand sollte mit den frühen gesetzlichen Regulierungen des Glücksspiels im 17. und 18. Jahrhundert entgegengewirkt werden. (Bresich/Klingenbrunner/Posch in Strejcek/Bresich [Hg.], GSpG 19892 23 mit Verweis auf VwGH 4.8.2005, 2004/17/0035; Bauer, W.A. Mozart der Billard- und Kegelspieler in Homo Ludens V. Der spielende Mensch. Internationale Beiträge des Institutes für Spielforschung und Spielpädagogik an der Hochschule "Mozarteum" Salzburg [1995], 196).
8.5.2.1. Rechtsentwicklung der Glücksspielabgaben bis 1960
Am 13. März 1813 erging das Lottopatent, das erstmals genauer den Begriff und die Durchführung der dem Staat vorbehaltenen Ausspielungen definierte (Strejcek, Zahlenlotto und andere Glücksspiele in rechtlicher Betrachtung, in: Strejcek (Hrsg), Lotto und andere Glücksspiele, 32, Sieghart, Die öffentlichen Glückspiele (1899), 135) und in § 27 Lottopatent 1813 die 10%ige Lottotaxe für das Ausspielen von Waren, Pretiosen und Effekten, berechnet von dem durch das Ausspielen einzubringenden Betrag, als eine der Vorgängerinnen der Glücksspielabgaben enthielt (Vorgängerin deshalb, weil die 10%ige Lottotaxe des Lottopatentes vom 13.3.1813 mit BGBl. 1960/111 in § 33 TP 17 Abs. 1 Z 7 GebG 1957 einbezogen wurde, siehe 165 BlgNR XI. GP ), sowie bereits eine Reihe von Schutzbestimmungen für den Spieler wie z.B. die Ausstellung eines Einlagescheines, die Verpflichtung zur Führung von Originallisten durch den Kollektanten usw. verfügte. (Sozialwissenschaftlichen Arbeitsgemeinschaft "Das Glücksspielwesen und das Glücksspielmonopol in Österreich", 22). Das provisorische Gebührengesetz 1850 RGBl. 1850/50 erhob in TP 57 A Gebühren nach dem Wert von Wetten, Lotterien und anderen Ausspielungen. Die TP 57 wurde mit dem Allgemeinen Gebührentarif 1925 BGBl. 1925/208 übernommen. Die TP 57 A 2 und B des Allgemeinen Gebührentarifes besteuerten (außer Totalisateur- und Buchmacherwetten) Lotterien, Verlosungen, Ausspielungen und Lottoanleihen. In der "Urfassung" des § 33 TP 17 Gebührengesetz 1946 BGBl. 1946/184 wurden Glücksspiele keiner Rechtsgeschäftsgebühr unterzogen. Das änderte sich mit der Gebührengesetznovelle 1952 BGBl. 1952/107, die einerseits die TP 57 A 2 und B des Allgemeinen Gebührentarifes 1925, die durchgehend bis zu diesem Zeitpunkt in Geltung gestanden hatten, aufhob und andererseits Wetten anlässlich sportlicher Veranstaltungen (nach dem Verhältnis der erzielten Quote zum Wetteinsatz, Stufentarif 1% bis 25%), Ausspielungen (von den Einsätzen laut Spielplan 2% bzw. vom Gewinn 25%) und Zahlenlotto (vom Gewinn 25%) in § 33 TP 17 GebG aufnahm. (110 BlgNR 5. GP zum Gebührengesetz 1946; VwGH 22.10.1952, 1631/50; VwGH 4.12.1956, 1559/56). Das Sporttoto-Gesetz BGBl. 1949/55 und das Pferdetoto-Gesetz 1952/129 regelten den ordnungspolitischen Teil, indem sie "Kollektivwetten" zum Glücksspielmonopol zuwiesen, hinsichtlich des abgabenrechtlichen Teiles wurde bestimmt, dass die Einsätze und Gewinnste dieser Totospiele den Gebühren gemäß § 33 TP 17 Z 6 GebG unterliegen sollten. Desgleichen regelte das Lotteriegesetz 1947, BGBl. 1948/27 die Abhaltung von gemeinnützigen Lotterien, die Besteuerung erfolgte einerseits iSd § 33 TP 17 Abs. 1 Z 7 GebG mit 2% und andererseits mit 10% noch nach § 27 Lottopatent 1813. Das Gebührengesetz 1957 BGBl. 1957/267 änderte diesbezüglich nichts, bis zum Glücksspielgesetz 1960, BGBl. 1960/111.
8.5.2.2. Rechtsentwicklung der Konzessions- und Spielbankabgabe
Die in § 17 GSpG 1989 geregelte Konzessionsabgabe gibt es seit 1986, da bis dahin bzw. bis 1989 die Lotterien von der Österreichischen Glücksspielmonopolverwaltung durchgeführt wurden. Die in § 28 GSpG 1989 normierte Spielbankabgabe geht teilweise auf eine frühere Form zurück, die in der Spielbankverordnung BGBl. 1933/463 enthalten war. Diese wurde damals als Bundesmonopol-Abgabe bezeichnet, war eine gemeinschaftliche Abgabe nach dem Finanzverfassungsgesetz und wurde vom Finanzminister im Bewilligungsbescheid für die Spielbank festgesetzt bzw. mindestens nach einem Staffeltarif zwischen 15% und 60% von den Jahres-Bruttoeinnahmen des Spielbetriebes plus zusätzlich einer Zuschlagsabgabe von 5% zu berechnen, täglich abzuführen, und nach § 12 waren außer dieser Abgabe noch alle sonstigen Steuern und Abgaben zu entrichten.
Die Vorgängerbestimmungen für das heute bestehende Glücksspielgesetz sind die Glücksspielgesetze 1960 BGBl. 1960/111 und 1962 BGBl. 1962/169. Mit der Durchführung von Lotterien war die Österreichische Glücksspielmonopolverwaltung betraut (§ 4). Im Glücksspielgesetz 1960, BGBl. 1960/111 waren die Regelungen betreffend Spielbanken noch nicht enthalten, sondern erst im Glücksspielgesetz 1962, BGBl. 1962/169. Seit damals hat der Spielbankkonzessionär eine Spielbankabgabe zu entrichten (§ 27 GSpG 1962), zusätzlich unterliegt das Erträgnis der Spielbankunternehmung noch den sonstigen öffentlichen Abgaben, wie zum Beispiel der Körperschafts- und Gewerbesteuer. (609 BlgNR 9. GP 15). Durch BGBl. 1986/292 erfolgte mit Eingliederung des Sporttotos die gesetzliche Voraussetzung für die behördliche Bewilligung und Kontrolle der Namenslotterien zum Schutz des Spielerpublikums und Normierung einer Bundesförderung zugunsten des Österreichischen Amateurkörpersports aus den Mitteln der neu geschaffenen Konzessionsabgabe. Diese Novelle 1986 arbeitete das Pferde- und Sporttoto in das Glücksspielgesetz ein und hob das Sporttoto- und Pferdetotogesetz auf. Die Durchführung bestimmter Lotterien wurde einer Kapitalgesellschaft übertragen und die gestaffelte Konzessionsabgabe in Höhe von 18,5 bis 27,5% der zusammengerechneten jährlichen Wett einsätze und eine feste, vom Konzessionär zu tragenden Rechtsgeschäftsgebühr gemäß § 33 TP 17 GebG von (zuerst 15%) 16% der Wetteinsätze eingeführt. Die neben den Wetteinsätzen von den Spielern zu entrichtenden Verwaltungskostenbeiträge zählten nicht zu den Wetteinsätzen. (931 BlgNR 16. GP 12). Als Steuertatbestand der Konzessionsabgabe bezeichneten die Materialien die Verleihung eines Rechtes aus einem Bundesmonopol und sie sollte vor allem Mittel für die Sportförderung erbringen. Mit dem gestaffelten Tarif wurde allerdings berücksichtigt, dass der Konzessionär einen relativ hohen Fixkostenanteil, z.B. für Maschinen aufzubringen hat. (931 BlgNR 16. GP 10). Mit der Bestimmung des Artikels III wurden die Glücksverträge Wetten, Ausspielungen aller Art in § 33 TP 17 GebG einbezogen und den Neuregelungen im Glücksspielgesetz angepaßt.
Ab dem GSpG 1989 kommt es sukzessive zur Verstärkung der ordnungspolitischen Komponente gegenüber der Einnahmenerzielung. In den Erläuterungen zur Regierungsvorlage wird betont, dass die Zielsetzungen einerseits ordnungspolitischer und andererseits fiskalischer Natur sind. In ordnungspolitischer Hinsicht wurde von einem gänzlichen Verbot deshalb Abstand genommen, weil dies nur ein Abwandern in die Illegalität fördern würde. Im Interesse des Einzelnen und der Gemeinschaft sei daher eine Lenkung des Spielbetriebes in geordnete Bahnen, wodurch der Staat die auf legaler Basis betriebenen Glücksspiele überwachen kann. Dabei soll primär der Schutz des einzelnen Spielers sichergestellt werden. Zum Beispiel sollte die Veröffentlichungspflicht der Spielbedingungen durch den Konzessionär gemäß § 14 GSpG - vergleichbar Allgemeinen Geschäftsbedingungen - dem Bund die Wahrung öffentlicher Interessen und des Schutzes des Spielerpublikums ermöglichen (1067 BlgNR 17. GP ). Neben der Stärkung der ordnungspolitischen Aspekte war das zweite zentrale Ziel dieser Neufassung die Erhöhung des Bundesertrages aus dem Glücksspielmonopol, was durch die Ausgliederung sämtlicher Glücksspiele aus der Österreichischen Glücksspielmonopolverwaltung erreicht werden sollte. (Kohl, Das österreichische Glücksspielmonopol, 10-11).
Durch den Initiativantrag 554 BlgNR XVIII. GP zu BGBl. 1993/695 sollten die Bestimmungen über die Konzessionserteilung …. sicherstellen, dass damit Außenstehende am eventuellen Versuch gehindert werden, kriminelle Gelder zu investieren, Geld zu waschen bzw. der organisierten Kriminalität Einfluss zu verschaffen. (1172 BlgNR XVIII. GP ).
Mit BGBl. 1997/69 wurde das Gebührengesetz dem Glücksspielgesetz in Bezug auf die Bemessungsgrundlage für Ausspielungen über elektronische Lotterien angepasst: § 33 TP 17 Abs. 1 Z 8 GebG lautete: "Ausspielungen, deren Durchführung nach den Bestimmungen des § 14 GSpG durch Erteilung einer Konzession übertragen wurden, 16 vH vom Einsatz, jedoch bei Ausspielungen gemäß § 12a GSpG in Verbindung mit § 14 GSpG von den Jahresbruttospieleinnahmen, das sind die im Kalenderjahr dem Konzessionär zugekommenen Wetteinsätze abzüglich Ausschüttungen (Gewinne)."
8.5.2.3. Besteuerung des Kartenpokerspiels außerhalb des konzessionierten Bereiches mit Rechtsgeschäftsgebühren ab BGBl. 1993/965
Änderung des § 33 TP 17 Abs. 1 Z 7 und 8 GebG: Mit Wirkung vom 31.12.1993 trat aufgrund BGBl. 1993/965 bei gleichbleibenden Hundertsätzen und Bemessungsgrundlagen, anstelle der Satzteile "Ausspielungen" bzw. "ausgenommen Ausspielungen gemäß Z 8" die umfassendere Formulierung "Glücksspiele (§ 1 Abs. 1 GSpG), die von einem Veranstalter angeboten oder organisiert werden," (Arnold, Rechtsgebühren9 § 33 TP 17 Rz 18).
Gemäß § 33 TP 17 Abs. 1 Z 7 lit. b GebG in der Fassung bis 1.1.2011 BGBl. I 2010/54 unterlagen der Rechtsgeschäftsgebühr Glücksverträge, wodurch die Hoffnung eines noch ungewissen Vorteiles versprochen und angenommen wird: "7. Glücksspiele (§ 1 Abs. 1 GSpG), die von einem Veranstalter angeboten oder organisiert werden, und sonstige Veranstaltungen, die sich an die Öffentlichkeit wenden und bei denen den Teilnehmern durch Verlosung Gewinste zukommen sollen,
a) wenn die Gewinste in Waren, in geldwerten Leistungen, in Waren und geldwerten Leistungen bestehen, vom Gesamtwert aller nach dem Spielplan bedungenen Einsätze 12 vH,
b) wenn die Gewinste in Geld bestehen, vom Gewinst 25 vH,
c) wenn die Gewinste in Geld und in Waren, in Geld und in geldwerten Leistungen, in Geld und in Waren und in geldwerten Leistungen bestehen, vom vierfachen Wert der als Gewinste bestimmten Waren und geldwerten Leistungen 12 vH, sowie von den in Geld bestehenden Gewinsten 25 vH."
und es wurden von der Gebührenpflicht des § 33 TP 17 Abs. 1 Z 7 ausgenommen:
"- Ausspielungen gemäß Z 8,
- Glücksspiele, für die Abgaben gemäß § 28 GSpG zu entrichten sind,
- Ausspielungen mittels Glücksspielautomaten,
- Ausspielungen die gemäß § 4 Abs. 3 GSpG nicht dem Glücksspielmonopol des Bundes unterliegen."
§ 33 TP 17 Abs. 1 Z 8 lautet: "Ausspielungen, deren Durchführung nach den Bestimmungen des § 14 GSpG durch Erteilung einer Konzession übertragen wurden, vom Einsatz 16 vH."
Damit verbunden war auch eine Änderung der Vorschriften über die Person des Gebührenschuldners und die Art der Gebührenentrichtung in § 28 Abs. 3 GebG: "Zur Entrichtung der Gebühr bei Wetten anläßlich sportlicher Veranstaltungen und bei Glücksspielen (§ 1 Abs. 1 GSpG) sind die Vertragsteile sowie die Veranstalter, die Glücksspiele organisieren, zur ungeteilten Hand verpflichtet. Die Gewinste vermindern sich um die Gewinstgebühr. Bei Wetten und Glücksspielen hat der Veranstalter die Gebühr unmittelbar zu entrichten (§ 31 Abs. 3)."
Nach dem Bericht des Finanzausschusses (1427 BlgNR 18.GP zu BGBl. 1993/965) wurde eine Novellierung des Gebührengesetzes erforderlich, "da sich Veranstalter am Glücksspielmarkt in Österreich etabliert haben, die die Bestimmungen des Gebührengesetzes bewußt dadurch umgehen, daß sie sich nicht am Spiel beteiligen und nach der derzeitigen Rechtslage als Veranstalter nicht für die Entrichtung der Gebühren herangezogen werden können. Mangels Konzession nach dem GSpG unterliegen die Einnahmen der Veranstalter nicht der Spielbankabgabe und die Umsätze beim Spiel nach der Entscheidung des VwGH vom 20. März 1989, Z1. 88/158/0001 auch nicht der Umsatzsteuer." Nun sollten auch "Veranstalter zur Entrichtung der Gebühren herangezogen werden, die nicht selbst am Spiel teilnehmen, sondern bloß anderen die Möglichkeit bieten, an von ihnen organisierten Glücksspielen teilzunehmen. Da den Finanzbehörden die Identität der Spieler sowie die Spielumsätze nicht bekannt sind, ist die Miteinbeziehung der Veranstalter als Gebührenschuldner (§ 28 Abs. 3 und 4) zur Administration der Gebührenpflicht erforderlich." Für das Vorliegen einer Ausspielung ist es nicht unbedingt erforderlich, dass diese Gegenleistungen vom Veranstalter erbracht werden, sondern es genügt, wenn die Gegenleistung vom Veranstalter organisiert wird.
Zu den Befreiungsbestimmungen sagen die parlamentarischen Materialien nichts. (vgl. Arnold, Rechtsgebühren9 § 33 TP 17 Rz 18). Arnold kommentiert die Bestimmung: Glücksspiele, für die Abgaben gemäß § 28 GSpG zu entrichten sind: Es ist dies die Spielbankabgabe, die der Konzessionär (Inhaber einer Konzession zum Betrieb einer Spielbank) zu entrichten hat und die bei "sonstigen in der Spielbank betriebenen Glücksspielen" [damals ca.] 48% der Jahresbruttospieleinnahmen beträgt. (Arnold, Rechtsgebühren9 § 33 TP 17 Rz 18c).
Die Frage, ob außerhalb des konzessionierten Bereiches von Veranstaltern angebotene und organisierte Kartenpokerspiele der Rechtsgeschäftsgebühr gemäß § 33 TP 17 Abs. 1 Z 7 lit. b GebG, also vom Spielgewinn x25% unterliegen, wurde in mehreren Verfahren ausgetragen. Wie in BFG 10.6.2016, RV/7101758/2012 dargestellt, kam es Mitte der 1990iger Jahren zur Frage, ob Kartenpokerspiel ein Glücksspiel oder Geschicklichkeitsspiel ist und den Rechtsgeschäftsgebühren gemäß § 33 TP 17 Abs. 1 Z 7 GebG unterliegt, zu einem Rechtsmittelverfahren. Während der Verfassungsgerichtshof die Behandlung der Beschwerde gegen die in diesem Verfahren ergangene Entscheidung der damaligen Rechtsmittelinstanz betreffend § 33 TP 17 Abs. 1 Z 7 GebG ablehnte (VfGH 26.9.1995, B 220/95), hob der Verwaltungsgerichtshof diese Entscheidung auf, da die Rolle des Zufalls durch Sachverständigengutachten zu ermitteln gewesen wäre (VwGH 18.12.1995, 95/16/0047). Der Verwaltungsgerichtshof hob die Entscheidung des ersten fortgesetzten Verfahrens auf, da der Einfluss des Bluffens zu ermitteln gewesen wäre (VwGH 20.8.1998, 97/16/0287) und der Verfassungsgerichtshof stellte mit Beschluss VfGH 29.9.1998, B 2443/97 das Verfahren ein, da der der Beschwerde zugrundeliegende Bescheid aufgehoben worden war. Die damalige Rechtsmittelinstanz kam dem Auftrag des Verwaltungsgerichtshofes nach und holte einerseits ein mathematisches Gutachten und ein zweites, soziologisches Gutachten über das Bluffen ein. Im zweiten fortgesetzten Verfahren wurde entschieden, dass aufgrund des mathematischen und soziologischen Gutachtens das Kartenpokerspiel (Seven Card Stud Poker) infolge seiner Glücksspieleigenschaft der Rechtsgebühr unterliegt (UFS 13.12.2004, RV/0421-W/02 abrufbar unter http://www.bmf.findok.at ). Wie in der Findok http://www.bmf.findok.at ersichtlich, wurde die Angelegenheit UFS 13.12.2004, RV/0421-W/02 an den Verfassungsgerichtshof herangetragen, der die Behandlung der Beschwerde ablehnte (VfGH 28.2.2006, B 63/05), die Entscheidung wurde rechtskräftig, da keine weitere Beschwerde an den Verwaltungsgerichtshof erhoben wurde.
Nach der Judikatur des Unabhängigen Finanzsenates unterlagen infolge ihrer Glücksspieleigenschaft auch die Kartenspiele Pai Gow Poker, UFS 5.4.2007, RV/1665-W/06, Concord Aces (Black Jack Variante) und Lucky 9 (Baccara Variante) UFS 5.4.2007, RV/1338-W/05, Texas Hold'em Poker und Pan Nine (Baccara Variante) UFS 24.7.2007, RV/0369-W/02, der Rechtsgeschäftsgebühr. Weitere Entscheidungen zur Rechtslage vor 2011: UFS 13.5.2011, RV/0499-I/10, UFS 11.5.2011 RV/0500-I/10 (VwGH 26.6.2014, 2011/16/0158 und 2011/16/0159; UFS 7.10.2011, RV/0743-W/11 (VfGH 21.9.2012, B 1357 und der VwGH 9.9.2013, 2012/16/0188); BFG 10.10.2014, RV/3100566/2012 und BFG 13.10.2014, RV/3100567/2012 (VfGH 10.12.2014, E 1787/2014, E 1788/2014).
Das Kartenpokerspiel, das von einem Veranstalter angeboten und organisiert wird, - außerhalb des konzessionierten Bereiches - wurde ab 1993 der Glücksvertragsgebühr gemäß § 33 TP 17 Abs. 1 Z 7b GebG vom Gewinn pro Spiel x 25% unterzogen. Im konzessionierten Bereich ist es von der Spielbankabgabe umfasst, weshalb durch BGBl. 1993/965 eine Befreiungsbestimmung zur Vermeidung der Doppelbesteuerung im Gebührengesetz eingestellt wurde.
8.5.2.4. Judikatur und Schrifttum zum ordnungspolitischen Teil von 1997 bis 2010
Im Jahr 1998 vertraten Griller/Reindl zwar die Ansicht, dass der Begriff "Glücksspielmonopol" auf die gesetzliche Regelung nicht genau zutreffe, weil es sich bei der Veranstaltung von Glücksspielen nicht um eine ausschließlich dem Staat bzw einem Unternehmen im Staatsbesitz vorbehaltene Tätigkeit handelt. Vielmehr sind für die Veranstaltung bestimmter Glücksspiele Konzessionen erforderlich, die nur der Bund vergeben kann. Die Autoren sahen zwar im österreichischen System nicht durchgehend ein Modell des Finanzmonopols, empfahlen aber im Sinne des Unionsrechtes eine Ersetzung durch ein Besteuerungssystem sowie den Schutz der Spieler vor unseriösen Geschäftspraktiken durch ein Aufsichts- und Kontrollsystem wirksam sicher zustellen. (Griller/Reindl, Die Unvereinbarkeit des österreichischen Glücksspielgesetzes mit dem Europäischen Gemeinschaftsrecht, ZfV 1998, 234, 250, 251). Der VwGH 4.8.2005, 2004/17/0035 bezeichnete das österreichische Glücksspielmonopol als Finanzmonopol mit besonderen ordnungspolitischen Zielsetzungen. Segalla, Glücksspiel- und Wettrecht, in Holoubek/Potacs (Hrsg), Handbuch des öffentlichen Wirtschaftsrechts2 (2007) 250 hielt die Einstufung des Glücksspielmonopols als Finanzmonopol im Licht des Unionsrechtes - angesichts der Weiterentwicklung des Glücksspielrechtes zu Recht - deswegen fragwürdig, weil kaum angenommen werden kann, dass ein Monopol, das Unternehmen eingeräumt ist, die nicht mehrheitlich dem Staat gehören und die zwar (hoch) besteuert werden, aber ihre Monopolgewinne nicht dem Staat abzuliefern haben.
VwGH 8.9.2005, 2000/17/0201: Der Verwaltungsgerichtshof entschied in einem Verfahren zur "Übertretung des GSpG", welches allerdings nicht die Rechtsgeschäftsgebühren betraf, und bestätigte die Glücksspieleigenschaften des Kartenpokerspiels.
8.5.2.5. Die Glücksspielgesetznovellen 2010
Die Glücksspielgesetznovellen 2010 gehen von den fiskalischen Zielsetzungen endgültig ab. Der Hauptzweck des Glücksspielmonopols liegt nun in ordnungspolitischen Aspekten. (Bresich/Klingenbrunner/Posch in Strejcek/Bresich [Hg.], GSpG 19892 24). 658 BlgNR 24. GP 7 (BGBl. I 2010/54, zu §§ 11 usw. bis § 60 Abs. 22 GSpG) besagen, dass die Konzessionsvergabe nur an jenen Konzessionswerber erfolgen darf, der unter Beachtung der Vorschriften des GSpG über den Schutz der Spielteilnehmer und über die Geldwäschevorbeugung die Konzession am besten ausübt. "Es wird damit verdeutlicht, dass es nicht darauf ankommt, ob der höchste Abgabenertrag erzielt wird, sondern vielmehr, ob den ordnungspolitischen Zielsetzungen im Sinne einer kohärenten Ausgestaltung des Glücksspielgesetzes am besten Rechnung getragen wird." Sowohl nach § 14 Abs. 2 Z 7 GSpG, als auch nach § 21 Abs. 2 Z 7 GSpG darf eine Konzession nur dem Konzessionswerber erteilt werden, von dem insbesondere auf Grund seiner Erfahrungen, Infrastrukturen sowie seiner Systeme und Einrichtungen zur Spielsuchtvorbeugung, zum Spielerschutz, zur Geldwäsche- und Kriminalitätsvorbeugung, zur Betriebssicherheit, zur Qualitätssicherung, zur betriebsinternen Aufsicht und zu anderen ihn treffenden Bestimmungen die beste Ausübung der Konzession zu erwarten ist. Der Konzessionär ist dabei in seinen unternehmerischen Entscheidungen zum Teil massiv eingeschränkt, so darf er gemäß § 15 GSpG keine Filialbetriebe außerhalb Österreichs errichten. (BGBl. I 2010/111; Bresich/Klingenbrunner/Posch in Strejcek/Bresich [Hg.], GSpG 19892 29). Durch die Novellen im Jahr 2010 wurde der Spielerschutz im Bereich der auf landesrechtlichen Bewilligungen beruhenden Ausspielungen mit Glücksspielautomaten implementiert, wodurch sich ein kohärentes Bild im Ordnungsgefüge des Glücksspielgesetzes ergibt. (Bresich/Klingenbrunner/Posch in Strejcek/Bresich [Hg.], GSpG 19892 1). Der Gesetzgeber bekräftigt dadurch seine an der Sicherstellung eines umfassenden Spielerschutzes sowie Kriminalitätsprävention und Geldwäschevorbeugung ausgerichtete Gesetzgebung.
Das finanzpolitische Ziel, die Abgaben des Konzessionärs zu optimieren, ist mit BGBl. I 2010/54 gefallen: Nach den Glücksspielgesetznovellen 2010 blieben die Steuersätze für die Konzessionsabgabe gegenüber vor dem 1.1.2011 im Wesentlichen die Gleichen. Vor dem 1.1.2011 fiel zusätzlich die Rechtsgeschäftsgebühr gemäß § 33 TP 17 Abs. 1 Z 8 GebG 16% von den Einsätzen bzw. bei elektronischen Lotterien von den Jahresbruttospieleinnahmen an (näheres z.B. GebR 2007 Rz 881 bis 884), danach Glücksspielabgabe von 16%. Eine Neuregelung erfolgte aber hinsichtlich der Besteuerung der Elektronischen Lotterien mit und ohne Video-Lotterie-Terminals. Gegenüber der Zeit vor den Glücksspielgesetznovellen 2010 wurde der Prozentsatz für die Spielbankabgabe von 35% bis 80% anstelle der gestaffelten Steuersätze vereinheitlicht und auf 30% herabgesetzt (657 BlgNR 24. GP zu BGBl I 2010/73). Nach der Regierungsvorlage 657 BlgNr 24. GP zu § 57 Abs. 3 GSpG wurde die Glücksspielabgabe für Ausspielungen mit Glücksspielautomaten und für elektronische Lotterien über Video-Lotterie-Terminals jener für Glücksspielautomaten in einer Spielbank mit 30% gleichgestellt.
8.5.2.6. Namentliche Aufzählung von Poker in § 1 Abs. 2 GSpG, gewerbliche Pokerspielsalons und Spielbank in Form eines Pokersalons gemäß § 22 GSpG
Poker und seine Varianten wurden bereits gemäß § 1 Abs. 1 GSpG dem Glücksspiel zugeordnet. Mit der expliziten Nennung von "Poker und seinen Varianten" durch die Glücksspielnovelle 2008, BGBl. I 2010/54 in § 1 Abs. 2 GSpG stellte der Glücksspielgesetzgeber klar, dass Poker ein Glücksspiel iSd Glücksspielgesetzes ist. (dazu ausführlich Punkt 7.2. dieses Erkenntnisses).
Die Veranstalter von Kartenpokerspiel, wie die Bf., hatten - seit 1993 - keine glücksspielgesetzlichen, sondern gewerberechtliche Bewilligungen zum "Halten von erlaubten Spielen". Da nach der Gewerbeordnung das "Halten von Spielen" als freies Gewerbe, das gemäß § 111 Abs. 4 Z 2 GewO Inhabern einer Gastgewerbeberechtigung als Nebenrecht zusteht, ausgeübt werden kann, wurde, insbesondere aufgrund der Weite des Begriffs "Spiel" Art. 10 Abs. 1 Z 8 B-VG (Kompetenztatbestand Angelegenheiten des Gewerbes) grundsätzlich als mögliche Kompetenzgrundlage des Glücksspielwesens in Betracht gezogen. (Kohl, Das österreichische Glücksspielmonopol, 113).
Daraus resultierend wurden an die im Rahmen der Rechtsgeschäftsvergebührung gemäß § 33 TP 17 Abs. 1 Z 7b GebG aF aufgeworfene Frage, ob Poker gemäß § 1 Abs. 1 GSpG ein Glücks- oder Geschicklichkeitsspiel ist, im Schrifttum kompetenzrechtliche Themen geknüpft, nämlich, ob der Gesetzgeber berechtigt sei, das Glücksspielmonopol durch Einbeziehen von Geschicklichkeitsspielen nach nationalen und unionsrechtlichen Bestimmungen auszuweiten, insbesondere durch die namentliche Aufzählung von Poker in § 1 Abs. 2 GSpG. Dazu erschien im Jahr 2011 die Monografie Winkler, Poker und Pokerspielsalons in der Glücksspielgesetzgebung. Dokumentation und Analyse der Glücksspielgesetzgebung mit kritischen Anmerkungen aus verfassungsrechtlicher Sicht. Winkler untersuchte unter der Annahme, Poker sei ein Geschicklichkeitsspiel, das Kartenpokerspiel im Licht der verfassungsrechtlichen Kompetenzvorschriften in Bezug auf Monopol und Gewerbe und kam zu dem Schluss, dass es kompetenzwidrig und unsachlich sei, die traditonellen Kartenpokerspiele und Pokerspielsalons unter die historisch verfestigten Typen von echten Glücksspielen, mit den ihnen entsprechenden steuerrechtlichen Verpflichtungen unter das Glücksspielmonopol des Bundes zu stellen. (Winkler, Poker und Pokerspielsalons in der Glücksspielgesetzgebung, 359). Nach der Interpretation von Winkler seien die Betreiber der Kartenspielsalons gewerberechtliche Unternehmer und keine konzessionierten Unternehmer iSd Glücksspielgesetzes (Winkler, Poker und Pokerspielsalons in der Glücksspielgesetzgebung, 9). Ausführlichere Darstellung in BFG 26.04.2019, RV/7102176/2012.
Mittlerweile gibt es einen Corpus an Literatur und Judikatur, dass die namentliche Aufzählung von Poker in § 1 Abs. 2 GSpG keine unzulässige Ausdehnung des Glücksspielmonopols ist, da zum Zeitpunkt des Inkrafttretens des Art. 10 Abs. 1 Z 4 B-VG "Monopolwesen" im Jahr 1925 Poker in der Glücksspielverordnung, BGBl. 1923/253 als verbotenes Glücksspiel aufgezählt war: Hinsichtlich der Subsumierbarkeit des österreichischen Glücksspielgesetzes unter den Kompetenztatbestand "Monopolwesen" gemäß Art. 10 Abs. 1 Z 4 B-VG lässt die höchstgerichtliche Rechtsprechung bislang keinen Zweifel an der Verfassungskonformität des Glücksspielmonopols unter dem Gesichtspunkt der Kompetenzverteilung erkennen. (Kohl, Das österreichische Glücksspielmonopol, 143 unter Verweis auf 7567/1975; VwGH 23.12.1991, 88/17/0010; VwGH 25.9.2012, 2011/17/0299; VwGH 25.9.2012, 2011/17/0296). Laut Kohl, Das österreichische Glücksspielmonopol, 141 ist die Ausweitung bestehender Monopole jedenfalls durch Art. 10 Abs. 1 Z 4 B-VG verfassungsrechtlich gedeckt. Die Gewerberechtskompetenz des Bundes ist zwar grundsätzlich nicht auf strafgesetzlich erlaubte Spiele beschränkt. Doch sind die Bestimmungen der Gewerbeordnung nicht auf die vom Bund monopolisierten Angelegenheiten anzuwenden, unabhängig davon, aus welchem Kompetenzbereich diese stammen. Da der Bund im Wesentlichen die strafgesetzlich verbotenen Glücksspiele auf Basis des Art. 10 Abs. 1 Z 4 B-VG monopolisiert hat, werden diese Glücksspiele somit im Ergebnis nicht von der Gewerbeordnung erfasst. (Kohl, Das österreichische Glücksspielmonopol, 119). Poker als Glücksspiel ist in Bezug auf den Kompeteztatbestand "Monopol" sozusagen von der Versteinerungstheorie im Jahr 1925 nicht erfasst, da nach der Glücksspielverordnung, BGBl. 1923/253 idF BGBl. 1933/6, aufgehoben mit BGBl. 1961/87, Poker als verbotenes Glücksspiel aufgelistet war. Die Glücksspielverordnung 1923 bezeichnete Poker definitiv als "Glücksspiel" (Bresich/Klingenbrunner, Kompetenzrechtliche Abgrenzungsfragen bei Spielen, AnwBl 2008, 59, 61; Michael Kreuzmair, Aktuelle Rechtsprobleme im Bereich Poker. Rahmenbedingungen -Zulässigkeitsvoraussetzungen -Unionsrechtliche Aspekte, 2010, unveröffentlichte Dissertation, 19-20; Bresich/Klingenbrunner/Posch in Strejcek/Bresich, GSpG 1989 2, 25; Wiederin, Anmerkungen zur Versteinerungstheorie, in Haller/ Kopetzky/ Novak/ Paulson/ Raschauer/ Ress/ Wiederin, Staat und Recht. Festschrift für Günther Winkler, 1242; Stefula in Fenyves/Kerschner/Vonklich, Klang3 § 1270-1272 Rz 51; siehe dazu ausführlich UFS 7.10.2011, RV/0743-W/11 (§ 33 TP 17 GebG - Bf.), BFG 18.12.2014, RV/7103332/2011 und BFG 21.8.2017, RV/7101181/2013 (VwGH 21.1.2019, Ra 2018/17/0150)), weshalb keine Ausweitung des verfassungsrechtlichen Kompetenztatbestandes "Glücksspielmonopol" durch Nennung von Poker in § 1 Abs. 2 GSpG vorliegt. (BFG 26.04.2019, RV/7102176/2012).
Mit Erkenntnis VfGH 10.10.2018, G 105/2018 ua. stellte der Verfassungsgerichtshof fest, dass im Rahmen des Kompetenztatbestandes "Monopolwesen" gemäß Art. 10 Abs. 1 Z 4 B-VG der einfache Bundesgesetzgeber berechtigt ist, den Umfang des Glücksspielmonopoles des Bundes abzugrenzen, womit ihm insofern die "Kompetenz-Kompetenz" für die Ausgestaltung des Glücksspielmonopols zukommt. Für die Regelung einer Tätigkeit, die der Bundesgesetzgeber hiebei vom Glücksspielmonopol ausnimmt, ist gemäß Art. 15 B-VG der Landesgesetzgeber zuständig. (GSpG-Novelle 2010, es ging in diesem Erkenntnis um Kosten für die Errichtung eines Datenrechenzentrums an Konzessionäre und Bewilligungsinhaber bestimmter Glücksspielautomaten).
In der namentlichen Nennung von Poker als Glücksspiel in § 1 Abs. 2 GSpG liegt auch kein Verstoß gegen EU-Recht, da nach der Rechtsprechung des EuGH die Mitgliedstaaten Glücksspielmonopole beibehalten können, wenn diese durch sozialpolitische Ziele gerechtfertigt sind, dabei können auch Wetten einbezogen werden. (EuGH 24.3.1994, C-275/92, Rs Schindler r ; EuGH 21.9.1999, C-124/97, Rs Läära ; EuGH 21.10.1999, C-67/98, Rs Zenatti ; EuGH 6.11.2003, C-243/01, Rs Gambelli , EuGH 6.3.2007, C-338/04 C-359/04, C-360/04 , Rs Placanica ; EuGH 8.9.2009, C-42/07, Rs Liga Portuguesa).
Der Verfassungsgerichtshof VfGH 27.6.2013, G 26/2013 G 90/2012 stellte fest, dass die Hereinnahme von Poker in § 1 Abs. 2 GSpG nicht verfassungswidrig ist, der Gesetzgeber kann angesichts des Suchtpotentials auch Glücksspiele mit Geschicklichkeitskomponenten, wie das Pokerspiel, generell dem Glücksspielgesetz unterwerfen. Die Rechtsgeschäftgebühren/Glücksspielabgabenpflicht für Kartenpokerspiel - auch im "aufgehobenen" Zeitraum Juli 2013 bis Februar 2014 - steht nach der Judikatur des Verwaltungsgerichtshofes außer Zweifel (VwGH 18.10.2016, Ro 2014/16/0041; VwGH 4.5.2017, Ra 2017/16/0035; VwGH 19.10.2017, Ro 2015/16/0024; VwGH 27.3.2018, Ro 2017/17/0025; VwGH 22.10.2018, Ro 2018/16/0028; VwGH 21.1.2019, Ra 2018/17/0150; VwGH 21.1.2019, Ro 2018/17/0007; VwGH 26.3.2019, Ro 2019/17/0003 dazu ausführlich Punkt 7.2. dieses Erkenntnisses).
Für die vorliegende Sache der Bf. als Anbieterin von Kartenpokerspielen erscheint erwähnenswert, dass in § 22 GSpG eine Konzession für eine Spielbank in Form eines Pokersalons vorgesehen war. Die Regierungsvorlage verweist auf die vorangegangene langjährige Diskussion über die Zulässigkeit "gewerblicher" Pokersalons: "Der Bundesminister für Finanzen kann das Recht zum Betrieb weiterer drei Spielbanken durch Erteilung von Konzessionen gemäß § 21 übertragen, wenn er diese zum ausschließlichen Betrieb jeweils eines Pokersalons für Pokerspiele ohne Bankhalter im Lebendspiel beschränkt. Dabei reduziert sich das erforderliche eingezahlte Grundkapital auf mindestens 5 Millionen Euro." Nach den parlamentarischen Materialien sollte es in Zukunft möglich sein, eine weitere Spielbankkonzession zum Betrieb eines Pokersalons zu vergeben. Es gelten die Bestimmungen zu Spielbanken. Das bedeutet, dass sämtliche aufsichtsrechtlichen Maßnahmen, Geldwäschebestimmungen und Spielerschutzbestimmungen auf den Pokersalonkonzessionär in gleicher Weise anzuwenden sind. Als Unterschied zu einer Spielbank ist lediglich das reduzierte Eigenkapital anzuführen, da auch das Spielangebot auf Poker-Lebendspiel eingeschränkt wurde. Die Übergangsbestimmung in § 60 Abs. 24 reflektiert den Umstand, dass nach langjähriger Ansicht und Auslegungspraxis des Bundesministers für Finanzen die unternehmerische Durchführung von Poker außerhalb von Spielbanken in Pokersalons bereits nach der bisherigen Rechtslage verboten war (vgl dazu insbesondere auch die Erläuterungen zu § 2 Abs. 4 GSpG in der Glücksspielgesetznovelle 1996, 368 der Beilagen zu den Stenographischen Protokollen des Nationalrates XX. GP; vgl zudem VwGH 31.3.2008, 2008/17/0033). Dies wurde in der Vergangenheit von Seiten einzelner Unternehmer rechtlich bestritten. In der Zeit bis zur Erteilung einer Pokersalonkonzession gemäß § 22 soll diese Rechtsfrage für den Betrieb eines Pokersalons für Pokerspiele ohne Bankhalter im Lebendspiel auf Basis einer aufrechten gewerberechtlichen Bewilligung daher nicht durch die vorliegende Novelle beantwortet werden, sondern weiter nach der bisherigen Rechtslage durch die zuständigen Behörden zu beurteilen sein. Die Zulässigkeit von Pokersalons nach der alten Rechtslage bleibt damit in dieser Zeit weiter Vorfrage für strafrechtliche oder verwaltungsbehördliche Maßnahmen. Mit Erteilung der Pokersalonkonzession im Sinne des § 22 ist die unternehmerische Durchführung von Poker im Lebendspiel außerhalb von Spielbankenkonzessionen und außerhalb des Wirtshauspokers im Sinne des § 4 Abs. 6 jedenfalls verboten." (657 der Beilagen XXIV. GP - Regierungsvorlage - Materialien 7-8 zu BGBl. I 2010/73).
Erhöhung auf drei Pokersalonlizenzen: Die Aufhebung des § 22 GSpG durch VfGH 27.6.2013, G 26/2013 G 90/2012 erfolgte unter anderem deshalb, weil nur eine (1) Spielbank in Form eines Pokersalons errichtet werden konnte. Mit Abgabenänderungsgesetz 2014 BGBl. I 2014/13 wurde nicht nur "Poker" mit 1.3.2014 wieder in § 1 Abs. 2 GSpG aufgenommen, sondern auch die Pokersalonkonzessionen auf drei erhöht und die Übergangsfrist für bestehende Pokersalons mit aufrechter Gewerbeberechtigung bis 31.12.2016 verlängert. (§ 60 Abs. 33 GSpG; Strejcek in Strejcek/Hoscher/Eder, Glücksspiel in der EU und in Österreich (2015) 37).
§ 22 GSpG wurde durch das StRefG 2015/16, BGBl. I 2015/118 ab August 2015 wieder aufgehoben, jedoch für gewerbliche Pokersalons eine Übergangsfrist bis 31.12.2019 geschaffen: Mit dem Steuerreformgesetz 2015/2016 wurde § 22 GSpG gänzlich gestrichen. Nach den Materialien hat sich der Gesetzgeber entschlossen, das Pokerangebot auf das vorhandene Angebot in konzessionierten Spielbanken nach § 21 GSpG, als Onlinespiel in Form elektronischer Lotterien nach § 12a GSpG und des vom Glücksspielmonopol ausgenommenen "Wirtshauspokers" nach § 4 Abs. 6 GSpG zu beschränken. (Zu 684 BlgNR 25. GP 4-5, 33-34, Zu BGBl. I 2015/118). Da der VfGH 27. Juni 2013, G 26/2013, G 90/2012 für bestimmte Pokerangebote auf Grundlage einer Gewerbeberechtigung einen gewissen Vertrauensschutz vorsieht, wurde eine Übergangszeit gemäß § 60 Abs. 36 GSpG bis 31.12.2019 bestimmt. Diese Rechte von Inhabern einer Gewerbeberechtigung erlöschen mit Ablauf der gewerberechtlichen Bewilligung, spätestens jedoch mit Ablauf des 31.12.2019; der Betrieb solcher Pokerangebote stellt dann eine verbotene Ausspielung iSd § 2 Abs. 4 GSpG dar. (Zu 684 BlgNR 25. GP ).
Die Bf. als Veranstalterin von Kartenpokerspielen mit gewerberechtlicher Bewilligung ist grundsätzlich Adressatin des § 22 GSpG gewesen. Sie hätte sich darum bewerben bzw. ihr Interesse daran bekunden können.
Die Übergangsvorschrift des § 60 Abs. 36 GSpG (früher § 60 Abs. 24) ist im Zusammenhang mit der früheren Bestimmung über die Pokersalonkonzession gemäß § 22 GSpG zu sehen und stellt das in den gewerberechtlichen Pokercasinos veranstaltete Pokerspiel bis 31.12.2019 straffrei. Da die Glücksspielabgaben gemäß §§ 57-59 GSpG sowohl verbotene, als auch erlaubte Ausspielungen erfassen (VwGH 19.10.2017, Ro 2015/16/0024 Rn 29), unterliegt auch das in den gewerberechtlichen Pokersalons veranstaltete, bis 31.12.2019 straffreie und damit bis 31.12.2019 erlaubte, Pokerspiel den Glücksspielabgaben. Ob das unternehmerische Anbieten von Poker außerhalb von Spielbanken aufgrund einer Gewerbeberechtigung bis zu den GSpG-Nov 2008/2010 verboten war oder nicht, ist für die Glücksspielabgabe nicht relevant (VwGH 19.10.2017, Ro 2015/16/0024 Rn 24), bei Anwendung der "alten Rechtslage" waren Rechtsgeschäftsgebühren gemäß §33 TP 17 Abs 1 Z 7 GebG zu zahlen. (VwGH 19.10.2017, Ro 2015/16/0024 Rn 25).
8.5.2.7. Glücksspielabgaben als Nachfolger der Rechtsgeschäftsgebühren gemäß § 33 TP 17 Abs. 1 Z 7 GebG/Verhältnis zur Spielbankabgabe
§ 33 TP 17 Abs. 1 Z 7 GebG rekurrierte bereits auf § 1 Abs. 1 GSpG. Durch die Novellen 2010 wurden alle Ausspielungen, deren Durchführung nach dem Glücksspielgesetz durch Erteilung einer Konzession übertragen werden kann, "gebührenrechtlich gleichbehandelt und zusammengefasst". (1080 BlgNR 17. GP ; o.A., GSpG-Novellen - steuerliche Änderungen ab 2011, ÖStZ 2010/702, 356). Nach Bresich/Klingenbrunner/Posch in Strejcek/Bresich, GSpG 19892, 31 wurden durch die Novelle BGBl. I 2010/54 die früher in § 33 TP 17 GebG "verhafteten Gewinnstgebühren" ab 1.1.2011 in § 57 GSpG transferiert und heißen fortan Glücksspielabgaben, zu deren Leistung der (Lotterien-)Konzessionär ebenfalls verpflichtet ist. Aus steuerlicher Sicht ersetzen die neu geregelten Glücksspielabgaben in §§ 57 bis 59 GSpG die bisherigen Gebühren auf Glücksspiele und Ausspielungen gemäß § 33 TP 17 Z 7 und 8 GebG. (BGBl. I 2010/54 vom 19.7.2010; o.A., GSpG-Novellen - steuerliche Änderungen ab 2011, ÖStZ 2010/702, 356). Die Übertragung der Bestimmungen aus dem Gebührengesetz in das Glücksspielgesetz führte zu weiterer Übersichtlichkeit. Das bedeutet für den vorliegenden Fall, dass die Entscheidungen zur Rechtsgeschäftsgebührenpflicht auch für die Beurteilung der Glücksspielabgabenpflicht des Kartenpokerspiels eine Bedeutung haben.
Die Glücksspielabgabe nach § 57 wird als die allgemeine Abgabe auf Ausspielungen, die dem bisher auf Glücksspiele anwendbaren Steuersatz des § 33 TP 17 GebG entsprechen soll, bezeichnet. (Glücksspielgesetz-Novelle 2008, BGBl. I 2010/54 vom 19.7.2010; RV 658 BlgNR 24. GP II. Besonderer Teil, Zu §§ 57 bis 59 GSpG; o. A., GSpG-Novellen - steuerliche Änderungen ab 2011, ÖStZ 2010/702, 356).
Die Regierungsvorlage 658 BlgNR XXIV. GP 9 hat folgenden Wortlaut:
"Zu Z 29, 30 und 31 (§§ 57 bis 59 sowie § 60 Abs. 22 GSpG):
Das Inkrafttreten sowie die Bestimmungen über die Vollziehung des Glücksspielgesetzes sind umzunummerieren und sollen am Ende des Gesetzes normiert sein. Glücksspielabgaben sind nun in den §§ 57 bis 59 zusammengefasst, wobei die Wettgebühr in § 57 die neue Bezeichnung "Glücksspielabgabe" (in Unterscheidung zur Spielbankabgabe) erhält. Wettgebühren auf Wetten im engeren Sinn bleiben unverändert im Gebührengesetz geregelt.
Die Glücksspielabgabe nach § 57 ist die allgemeine Abgabe auf Ausspielungen. Sie soll dem bisher auf Glücksspiele anwendbaren Steuersatz des Gebührengesetzes entsprechen und beträgt unverändert 16% vom Einsatz.
Bei Elektronischen Lotterien im Sinne des § 12a Abs. 1 (Elektronische Lotterien - Konzessionär) beträgt die Abgabenbelastung insgesamt unverändert 40% von den Jahresbruttospieleinnahmen. Da bei konzessionierten Elektronischen Lotterien bereits die Konzessionsabgabe nach § 17 Abs. 3 Z 6 einen Abgabensatz von 24% von den Jahresbruttospieleinnahmen aufweist, fallen lediglich 16% von den Jahresbruttospieleinnahmen zusätzlich an (in Summe also 40%). Auch konzessionierte VLTs unterliegen ausschließlich der spezielleren Konzessionsabgabe des § 17 Abs. 3 Z 6 und der 16%igen Glücksspielabgabe von den Jahresbruttospieleinnahmen).
Die Spielbankabgabe für Glücksspielautomaten beträgt 30% der Jahresbruttospieleinnahmen (nach Umsatzsteuer) und ist nur auf Spielbanken im Sinne des § 21 anzuwenden (Spielbankkonzessionär). Neu ist die Glücksspielabgabe auf Glücksspielautomaten außerhalb von Spielbanken, die grundsätzlich ebenfalls 30% der Jahresbruttospieleinnahmen (nach Umsatzsteuer) beträgt. Sie fällt immer dann an, wenn ein Glücksspielautomat betrieben wird, für den keine Betriebsbewilligung nach Landesgesetz vorliegt oder der die Geringfügigkeitsgrenzen nach § 4 Abs. 2 nicht einhält.
Die Glücksspielabgabe bei turnierförmigen Ausspielungen (z.B. verbotenes Pokerturnier) beträgt 16% der Gewinne in Geld, Waren oder geldwerten Leistungen des Turniers (Preisgelder). Aus dem Monopol ausgenommene "Wirtshauspokerturniere" sind von der Glücksspielabgabe befreit. Unter "turnierförmiger Ausspielung" wird der Turnierbegriff des § 4 Abs. 6 verstanden.
Die ermäßigte Glücksspielabgabe von 12% samt Sondersätzen gemäß § 58 ist unverändert zur bestehenden Rechtslage (Sonstige Ausspielungen nach §§ 32ff). Abgelöste Waren-/Dienstleistungstreffer unterlagen bisher einer Gebühr von 12% auch dann, wenn eine Ablöse in Bargeld vorgesehen und diese Ablösesumme mit 25% zu vergebühren war. Die bisherige "Doppelbesteuerung" solcher in Bargeld abgelöster Waren-/Dienstleistungstreffer entfällt.
Zu § 59 GSpG:
In § 59 sind die Entstehung der Steuerschuld, der Abgabenschuldner, die Bestimmungen zur Selbstbemessungsabgabe und zur Haftung geregelt und bewertungsrechtliche Bestimmungen enthalten."
Die Regierungsvorlage RV 657 BlgNR XXIV GP zu BGBl I 2010/73 zu § 57 und § 60 Abs 25 GSpG hat folgenden Wortlaut:
Die Glücksspielabgabe nach Abs 1 ist die allgemeine Abgabe auf Ausspielungen. Sie soll dem bisher auf Glücksspiele anwendbaren Steuersatz des Gebührengesetzes entsprechen und beträgt unverändert 16% vom Einsatz. Zudem soll bei Turnieren klargestellt werden, dass lediglich außerhalb des konzessionierten Glücksspiels an Stelle des Einsatzes der vermögenswerte Gewinn tritt. In Abs 2 werden all jene elektronischen Lotterien, für die keine Bundeskonzession erteilt wurde, einer Abgabe von 40% der Jahresbruttospieleinnahmen unterworfen. Ausspielungen mittels elektronischer Lotterien können ausschließlich mittels Bundeskonzession erfolgen. VLTs sind gesondert in Abs 3 und 4 geregelt. Abs 3 regelt die Besteuerung der Glücksspielautomaten und VLTs, die weder auf Basis einer Landesbewilligung noch einer Bundeskonzession betrieben werden; die Abgabe soll hier jener für Glücksspielautomaten in einer Spielbank gleichgestellt werden und beträgt damit 30% der Jahresbruttospieleinnahmen abzüglich Umsatzsteuer. Abs 4 regelt die Besteuerung der bewilligten Glücksspielautomaten und VLTs. Die Abgabe beträgt 10% der Jahresbruttospieleinnahmen abzüglich Umsatzsteuer. Auf die Zuschlagsbesteuerung im Finanzausgleichsgesetz wird verwiesen. Berücksichtigt man diese, so ergibt sich insgesamt ein Abgabensatz von 25% der Jahresbruttospieleinnahmen abzüglich Umsatzsteuer. Abs 5 stellt lediglich eine Definition der Jahresbruttospieleinnahmen dar und Abs 6 ist die Befreiungsbestimmung für konzessionierte Spielbanken, Wirtshauspoker sowie für jene Glücksspielautomaten, die auf Basis von derzeitigen landesgesetzlichen Bestimmungen (basierend auf § 4 Abs 2) bislang bewilligt wurden ("altes kleines Automatenglücksspiel"). Mit dieser Befreiungsbestimmung werden Doppelbesteuerungen ausgeschlossen. Abs 7 enthält eine Einschleifregelung betreffend den Abgabensatz für VLTs, die sich am Ausstattungsgrad bestimmter Bundesländer mit neuen Glücksspielautomaten nach § 5 orientiert.
RV 981 BlgNR XXIV zu BGBl I 2010/111 zu Glücksspielabgaben § 57 Abs 6 sowie § 60 Abs 28 GSpG: Hinsichtlich Bagatelle-Lotterien des § 4 Abs 5 GSpG bestand in § 33 TP 17 Abs 1 Z 7 GebG idF vor dem BGBl. I Nr. 54/2010 eine Gebührenbefreiung. Bagatelle-Lotterien sollen daher nach dem Wegfall der Gebührenbefreiung in Folge der Änderung des Gebührengesetzes weiterhin - nunmehr von der äquivalenten Abgabenpflicht des Glücksspielgesetzes (Glücksspielabgabe) - befreit sein. Diese Abgabenbefreiung soll auch die Lebensversicherungsverträge des § 4 Abs 4 GSpG umfassen, die bisher auch keiner Gebühr unterlagen.
Eine Gegenüberstellung soll die Ähnlichkeiten zwischen Rechtsgeschäftsgebühren und Glücksspielabgabe aufzeigen (wie Punkt 11.4. in UFS 05.04.2013, RV/1194-W/12 [Ablehnungsbeschluss VfGH 21.11.2013, B 617/2013; Einstellungsbeschluss VwGH 26.02.2015, Ro 2015/16/0003] und UFS 20.11.2013, RV/2388-W/13 [Ablehnungsbeschluss VfGH 20.2.2014, B 49/2014; Einstellungsbeschluss VwGH 26.02.2015, 2013/17/0917], BFG 2.2.2015, RV/7103459/2012):
Steuergegenstand: Während den Rechtsgeschäftsgebühren gemäß § 15 Abs. 1 GebG "Rechtsgeschäfte" unterliegen, sind Gegenstand der Glücksspielabgabe "Ausspielungen", also bestimmte Glücksverträge. § 57 Abs. 2 und Abs. 3 GSpG regelt keinen neuen Steuergegenstand, sondern nur die Bemessungsgrundlage für Ausspielungen über technische Medien, bzw über Glücksspielautomaten und VLTs.
Bemessungsgrundlage: Bei den einzelnen Rechtsgeschäftsgebühren ist Bemessungsgrundlage die Leistung eines Vertragsteiles, z.B. bei den Bestandvertragsgebühren gemäß § 33 TP 5 GebG das Entgelt, bei den Wettgebühren gemäß § 33 TP 17 Abs. 1 GebG der Einsatz des Spielteilnehmers, also das Entgelt, der Preis. § 57 Abs. 1 GSpG sieht als Grundtatbestand ebenfalls vor, dass Bemessungsgrundlage die Leistung eines Vertragsteiles ist, nämlich der Einsatz. Wie bereits in BFG 25.9.2017, RV/7100907/2012, RV/7100908/2012 wird folgender Vergleich der Steuerbelastung des § 33 TP 17 GebG und § 57 Abs. 1 GSpG, am Beispiel eines Gesamteinsatzes in einem Kartenpokerspiel von 100.000 dargestellt:
§ 33 TP 17 GebGBemessungsgrundlage ist der Gewinst = Gewinn abzüglich des Einsatzes des Gewinners:bis 31.12.2010 | § 57 Abs. 1 GSpGBemessungsgrundlage sind die Einsätze der Spielteilnehmerab 1.1.2011 |
Nach den Schätzungen des Finanzamtes gemeinsam mit der Bf. wurden 40% des Gewinnes als Einsatz des gewinnenden Spielers abgezogen: 100.000 abzüglich 40.000 = 60.000 x 25% = 15.000 | 100.000 x 16% = 16.000Das ist eine Erhöhung um 6,67% gegenüber § 33 TP 17 |
Würde der Einsatz des Gewinners mit 36% des Gewinnes geschätzt werden: 100.000 abzüglich 36.000 = 64.000 x 25% = 16.000, | wäre die Abgabenbelastung bei der Glücksspielabgabe gleich hoch wie bei § 33 TP 17 GebG. |
Würde der Einsatz des Gewinners mit 30% des Gewinnes geschätzt werden: 100.000 abzüglich 30.000 = 70.000 x 25% = 17.500, | wäre die Abgabenbelastung bei der Glücksspielabgabe geringer als bei § 33 TP 17 GebG |
Aus dieser Gegenüberstellung ist ersichtlich, dass die Bf. durch die Glücksspielabgaben grundsätzlich nicht ungünstiger besteuert wird, als früher mit den Rechtsgeschäftsgebühren.
Bereits gemäß § 33 TP 17 Abs. 1 Z 8 GebG waren bei Ausspielungen über elektronische Lotterien die Jahresbruttospieleinnahmen die Bemessungsgrundlage. § 57 Abs. 2 und Abs. 3 GSpG legen als Bemessungsgrundlage "Jahresbruttospieleinnahmen" fest. Für die Bemessungsgrundlage werden die Einsätze der Spielteilnehmer auf das Kalenderjahr hochgerechnet und die ausbezahlten Gewinne abgezogen.
Befreiungen und Ermäßigungen: Wie im Gebührengesetz sind Befreiungen (§ 57 Abs. 6 GSpG) und Ermäßigungen (§ 57 Abs. 7 GSpG und § 58 GSpG) von der Glücksspielabgabe vorgesehen, die sachlich formuliert sind. Die Regierungsvorlage 658 BlgNR XXIV. GP 9 sagt zu den Befreiungsbestimmungen wenig, lediglich dass konzessionierte Elektronische Lotterien und VLTs teilweise der spezielleren Konzessionsabgabe unterliegen, und dass aus dem Monopol ausgenommene "Wirtshauspokerturniere" von der Glücksspielabgabe befreit sind. Hinsichtlich des Verhältnisses Spielbankabgabe und Glücksspielabgaben finden sich nur die Anmerkungen, dass "die Wettgebühr" die Bezeichnung Glücksspielabgabe erhalten soll, in Unterscheidung zur Spielbankabgabe, die nur auf Spielbanken anzuwenden ist. Die Regierungsvorlage RV 657 BlgNR XXIV GP zu BGBl I 2010/73 hält fest, dass § 57 Abs 6 die Befreiungsbestimmung für konzessionierte Spielbanken, Wirtshauspoker und Glücksspielautomaten aF ist und dass durch diese Befreiungsbestimmung Doppelbesteuerungen ausgeschlossen werden.
Ab 1.1.2011 wurde die Rechtsgeschäftsgebührenbefreiung gemäß § 33 TP 17 Abs. 1 Z 7 GebG, zitiert in Punkt 8.5.2.3. dieses Erkenntnisses, für "- Ausspielungen gemäß Z 8" sinngemäß in § 57 Abs. 2 letzter Satz GSpG übernommen. Der Konzessionär gemäß § 14 GSpG ist von der Glücksspielabgabe für elektronische Lotterien befreit, weil er die Konzessionsabgabe in gleicher Höhe trägt (§ 17 Abs. 3 Z 7 GSpG). Die Befreiung "- Ausspielungen mittels Glücksspielautomaten," entspricht in etwa § 57 Abs. 6 Z 2. "Ausspielungen mit Glücksspielautomaten auf Basis einer landesrechtlichen Bewilligung unter Einhaltung der Vorgabe des § 4 Abs. 2 in der Fassung vor dem Bundesgesetz BGBl. I Nr. 73/2010," wurde, da das ordnungspolitische System in Bezug auf Glücksspielautomaten geändert wurde, in § 57 Abs. 4 GSpG übernommen. Die Rechtsgeschäftsgebührenbefreiung für "- Glücksspiele, für die Abgaben gemäß § 28 GSpG zu entrichten sind", die textlich eindeutig auf eine Vermeidung einer Doppelbesteuerung von Glücksspielen, die in einer konzessionierten Spielbank gespielt werden, mit Spielbankabgabe und Glücksvertragsgebühr gemäß § 33 TP 17 Abs. 1 Z 7 GebG abstellt, wurde in § 57 Abs. 6 Z 1 GSpG umformuliert in "Ausspielungen in vom Bundesminister für Finanzen konzessionierten Spielbanken im Sinne des § 21,". Auch die Gebührenbefreiung für "- Ausspielungen, die gemäß § 4 Abs. 3 und Abs. 5 GSpG nicht dem Glücksspielmonopol des Bundes unterliegen." wurde nicht wortwörtlich übernommen, sondern lautet in § 57 Abs. 6 Z 3 GSpG "die Ausnahmen aus dem Glücksspielmonopol des § 4 Abs. 3 bis 6."
Entstehen der Steuerschuld: § 59 GSpG sieht mehrere Steuerschuldentstehungstatbestände vor, z.B. im Zeitpunkt des Zustandekommens des Spielvertrages, bei Ausspielungen grundsätzlich mit Vornahme der Handlung, die den Abgabentatbestand verwirklicht. Nach § 16 Abs. 5 lit. b GebG vor dem 1.1.2011 entstand die Gebührenschuld bei Ausspielungen ebenfalls mit der Vornahme der Handlung, die den gebührenpflichtigen Tatbestand verwirklicht.
Steuerschuldner: Gemäß § 59 Abs. 2 GSpG ist bei Fehlen eines Berechtigungsverhältnisses der Vertragspartner des Spielteilnehmers, der Veranstalter der Ausspielung oder der Vermittler Schuldner der Abgabe nach § 57 GSpG. Vergleichsweise waren gemäß § 28 Abs. 3 GebG zur Entrichtung der Wettgebühren die Vertragsteile sowie die Veranstalter, die Glücksspiele organisieren, zur ungeteilten Hand verpflichtet. Die Haftung der übrigen am Rechtsgeschäft beteiligten Personen gemäß § 30 GebG findet allerdings kein Pendant bei der Glücksspielabgabe.
Entrichtung: Gemäß § 59 Abs. 3 GSpG haben die Abgabenschuldner die Glücksspielabgaben jeweils für ein Kalendermonat selbst zu berechnen und bis zum 20. des dem Entstehen der Abgabenschuld folgenden Kalendermonats (Fälligkeitstag) an das Finanzamt für Gebühren, Verkehrsteuern und Glücksspiel abzuführen. Die Bestimmungen zur Selbstberechnung waren früher zu § 31 Abs. 3 GebG - im Wesentlichen gleichlautend -geregelt.
Bewertung: § 59 Abs. 6 GSpG verweist für die Bewertung von Waren und geldwerten Leistungen für Zwecke der Glücksspielabgaben auf die Vorschriften des Bewertungsgesetzes und entspricht ansonsten dem Wortlaut des § 26 GebG.
Eingabengebühren für Konzessionserteilungen gemäß § 59a GSpG: nach § 59a Abs. 4 GSpG gelten für die Gebühren im Übrigen die Bestimmungen des Gebührengesetzes 1957 über Eingaben und amtliche Ausfertigungen, allerdings mit einigen Einschränkungen.
Unentgeltliche Glücksspiele: Die Abgaben nach § 58 GSpG können als Rechtsverkehrsteuer, ähnlich den Gebühren auf Glücksverträge nach § 33 TP 17 GSpG eingestuft werden (BFG 18.2.2019, RV/7106017/2018; Ehrke-Rabl/Sumper, Länderübergreifende Preisausschreiben und Glücksspielabgabe, taxlex 11/2017, 341). § 58 Abs. 3 GSpG sieht für Preisausschreiben die ermäßigten Glücksspielabgaben von 5% vor. Preisausschreiben waren nicht von § 33 TP 17 GebG erfasst, da dieser nur entgeltliche Glücksverträge zum Gegenstand hatte und hat, wie auch die Rechtsgeschäftsgebühren grundsätzlich nur entgeltliche Rechtsgeschäfte besteuern. Preisausschreiben wurden bis 31.7.2008 als Schenkungen dem Erbschafts- und Schenkungssteuergesetz zugeordnet (z.B. VwGH 15.3.2001, 98/16/0205), waren aber gemäß § 15 Abs. 1 Z 6 ErbStG schenkungssteuerbefreit. (vgl. VwGH 4.11.1994, 94/16/0030).
Gleichbehandlung der Glücksspielabgaben und Wettgebühren in Bezug auf das Finanzstrafgesetz: Wettgebühren sollen ebenso wie Glücksspielabgaben dem Finanzstrafgesetz unterliegen, denn ohne diese Regelung würden zwar Glücksspielabgaben, nicht aber Wettgebühren dem Finanzstrafgesetz unterfallen. (II. Besonderer Teil 658 der Beilagen XXIV GP- Regierungsvorlage -Materialien, Zu Artikel 5, Änderung des Finanzstrafgesetzes).
Zu bemerken ist, dass die Gebühren nach dem Gebührengesetz 1957 gemäß § 2 Abs. 2 FinStrG ausdrücklich vom Geltungsbereich des Finanzstrafgesetzes ausgenommen sind, weil in § 9 GebG eine Gebührenerhöhung vorgesehen ist. Mit dem Transfer der genannten Rechtsgeschäftsgebühren aus § 33 TP 17 Abs. 1 Z 7 GebG in das Glücksspielgesetz erfolgte automatisch eine Herauslösung aus § 9 GebG, die Glücksspielabgaben sind, so wie die Spielbankabgabe und die Konzessionsabgabe, Abgaben iSd § 2 Abs. 1 FinStrG.
Gleichstellung der Glücksspielabgaben mit § 33 TP 17 Z 7 und Z 8 GebG idfF als ausschließliche Bundesabgaben im Finanzausgleichsgesetz 2008: "Die neue Glücksspielabgabe gemäß §§ 57 und 58 GSpG ersetzt, abgesehen von der Ausweitung auf verbotene Ausspielungen, die bisherigen Gebühren gemäß § 33 TP 17 Z 7 und Z 8 GebG, welche ausschließliche Bundesabgaben sind und ist daher ebenso als solche einzustufen." (II. Besonderer Teil 658 der Beilagen XXIV GP- Regierungsvorlage -Materialien, Zu Artikel 6, Änderung des Finanzausgleichsgesetzes 2008).
Die Glücksspielabgabe geht auf die Rechtsgeschäftsgebühren gemäß § 33 TP 17 Abs. 1 Z 7 GebG zurück, wurde textlich neu formuliert und auf das Glücksspielgesetz abgestimmt. Gegenüber den früheren Rechtsgeschäftsgebühren ist die Bf. mit Glücksspielabgaben finanziell nicht stärker belastet. Nach der historischen Interpretation des § 57 Abs. 6 Z 1 GSpG aus der Vorgängerbestimmung gemäß § 33 TP 17 Abs. 1 Z 7 GebG aF für "- Glücksspiele, für die Abgaben gemäß § 28 GSpG zu entrichten sind", ist dessen Zweck als Doppelbesteuerungsvermeidung unmittelbar evident. Eine Ungleichbehandlung der Bf. gegenüber der Spielbankkonzessionärin kann aus § 57 Abs. 6 Z 1 GSpG nicht abgeleitet werden.
8.5.2.8. Zusammenhang zwischen Steuern und Glücksspiel&Spielerschutz über § 1 Abs. 4 GSpG und § 25 Abs. 3 GSpG
8.5.2.8.1. Finanzierungsbeitrag/Stabsstelle für Spielerschutz- Fachtagungen
Weiters ist zu ergänzen, dass durch BGBl. I 2010/73 § 1 Abs. 4 GSpG angefügt wurde: "Der Bundesminister für Finanzen hat eine Stelle für Spielerschutz einzurichten, deren Aufgabe die inhaltliche, wissenschaftliche und finanzielle Unterstützung des Spielerschutzes ist. Zur Finanzierung der Arbeit dieser Stelle wird ab 1. Jänner 2011 ein Finanzierungsbeitrag von 1 vT mit der jeweiligen Bemessungsgrundlage nach § 28 [Spielbankabgabe] sowie nach § 57 Abs. 4 [Glücksspielabgabe, Zuschläge gemäß § 13a FAG 2008/ 14 FAG 2017 für Lotterienkonzessionär bzw. Glücksspielautomatenbewilligungsinhaber] gemeinsam mit den jeweiligen Abgaben erhoben." In der parlamentarischen Anfragenbeantwortung durch den Finanzminister vom 22.3.2013 (13395/AB 24.GP, 11, abrufbar über die Homepage des Parlamentes) belief sich im Jahr 2012 der Finanzierungsbeitrag auf 181.741,67 Euro, ein ähnlicher Betrag wurde für 2013 erwartet. Anfallende Kosten sind demnach Personalkosten, Teilnahme an Tagungen, Druck und Versand von Glücksspielsuchtbroschüren der Stabsstelle an alle österreichweiten Spielschutzeinrichtungen, und an Behörden, sowie Kosten für Werkverträge über Repräsentativumfragen und z.B. Onlinestudien.
Nach den parlamentarischen Materialien ist "Glücksspiel ein Thema von europaweitem Interesse, da es die gesellschaftsrechtliche Verantwortung betrifft und von hoher ordnungspolitischer Relevanz ist. Der Spielerschutz steht dabei an erster Stelle. Auch die Europäische Kommission legt in Hinblick auf den Bestand nationaler Monopole erhöhtes Augenmerk auf Spielsuchtprävention (Vertragsverletzungsverfahren in ein einigen Staaten) und auf Kriminalitätsabwehr. Eines der Ziele dieser GSpG-Novelle war Spielerschutz sowie soziale Sicherheit der Familien und Kinder. Spielsucht darf nicht die soziale Sicherheit der Familien und Kinder gefährden. Spielsucht zerstört auch Familien, indem unkontrolliert viel Zeit mit Glücksspielen zugebracht und mitunter viel Geld verloren wird. Je höher nämlich der Verlust, desto höher ist der Anreiz, noch mehr einzusetzen, um den Verlust wettzumachen." (RV 657 BlgNR 24. GP , allgemeiner Teil). Suchtprävention und Suchtberatung sind wichtige Anliegen, weshalb dazu eine eigene Stelle im BMfF, die Stabsstelle für Spielerschutz eingerichtet wurde. Der BMf Gesundheit soll eingebunden sein. Mit dieser Maßnahme soll ein Beitrag zu einem Glücksspiel mit Verantwortung geleistet werden. (RV 657 BlgNR 24. GP , Zu § 1 Abs. 4 und § 60 Abs. 25 GSpG; BMfF, Glücksspiel-Bericht 2010-2013, 4. Spielerschutz - Neuerungen, 26ff).
In diesem Zusammenhang wurde in den Übergangsbestimmungen § 60 Abs. 25 Z 5 GSpG normiert, dass der BMF bis zum Jahr 2014 einen Evaluierungsbericht über die Auswirkungen des Glücksspielgesetzes erstellen und dem Nationalrat vorlegen wird. Dieser Bericht wurde im November 2014 erstellt und ist unter III-131 BlgNR 25. GP parlament.gv.at abrufbar. Auf der Internetseite des BMF ist ersichtlich, dass zu diesem Thema der Glücksspiel Bericht 2010-2013 des BMfF, der Glücksspiel Bericht 2014-2016 des BMfF vom Juni 2017 und Novelle des Glücksspielgesetzes 2010: Evaluation der Umsetzung im Bereich Spielerschutz, Forschungsbericht im Auftrag des BMfF von April 2016 verfasst wurden. Dieser zuletztgenannte Forschungsbericht befasste sich auch mit der Steuer-Zweckwidmung für Prävention und Therapie. "Die Aufgaben der Spielerschutzstelle im BMF sind vielfältig: etwa die Informations- und Aufklärungsarbeit über die Risiken des Glücksspiels, die Koordinierung der Arbeit der Spielerschutzeinrichtungen, die Unterstützung der wissenschaftlichen Tätigkeit in diesem Bereich u.ä. Für diese Aufgaben und deren wissenschaftlicher Begleitung steht der Spielerschutzstelle nach § 1 Abs 4 GSpG ein Finanzierungsbeitrag von einem Promille der Jahresbruttospieleinnahmen aus Automatenglücksspiel und Lebendspielen in Spielbanken (§ 28 GSpG) sowie der Jahresbruttospieleinnahmen aus landesrechtlich konzessionierten GSA bzw. bundesrechtlich konzessionierten VLTs (§ 57 Abs 4 GSpG) zur Verfügung. Nicht eingehoben wird der Finanzierungsbeitrag im Zusammenhang mit legalem und illegalem Online-Glücksspiel bzw. mit nicht konzessioniertem (also illegalem) GSA- und VLT-Glücksspiel sowie diversen Lotterieprodukten. Die Summe, die der Spielerschutzstelle im BMF über diesen Finanzierungsbeitrag zur Verfügung steht, macht aktuell pro Jahr zwischen 180.000 und 200.000 Euro aus. …." (GÖG/ÖBIG 2016, Evaluation GSpG-Novelle, 98 abrufbar über bmf.gv.at/steuern/glücksspiel-spielerschutz im pdf-Format).
Nach dem Glücksspielbericht 2014-2016 des BMF (siehe Punkt 8.5.2.9.4. dieses Erkenntnisses) unterstütze die Spielerschutzstelle einerseits die Glücksspielaufsicht in fachlicher Hinsicht. Dabei würden neben der Analyse von Berichten und Anträgen der Konzessionäre und der Ausarbeitung von Vorschlägen wie etwa von Spielerschutz-Auflagen oder diverser anderer Maßnahmen regelmäßig, mindestens jedoch zweimal jährlich, Gespräche zum fachlichen Austausch geführt, die den Konzessionären auch bescheidmäßig auferlegt sind. (BMF, Glücksspielbericht 2014-2016, 32). Im Rahmen der Begutachtungsverfahren von Gesetzes- und Verordnungsentwürfen des Bundes und der Länder, sowohl im Spielerschutz als auch im fachlich verwandten Wettkundenschutz, nimmt die Stabsstelle für Spielerschutz Stellung und unterbreitet ua. Verbesserungsvorschläge. Auch erfolgen Stellungnahmen an Behörden wie das FAGVG, die Finanzpolizei, die Bezirksverwaltungsbehörden, Landesregierungen, Landesverwaltungsgerichte und Landesgerichte. (BMF, Glücksspielbericht 2014-2016, 33). Seit 2011 organisiert die Spielerschutzstelle im BMF eine jährliche Fachtagung zu Glücksspiel und Spielerschutz. Diese dient der Weiterbildung und dem fachlichen Austausch aller im Bereich des Spielerschutzes Tätigen (Beratungs- und Behandlungseinrichtungen, Wissenschaft, Forschung, Behörden, NGOs, u.v.m.). Die Teilnahme an dieser Veranstaltung ist kostenlos und stellt eine finanzielle Unterstützungsmaßnahme im Sinne des § 1 Abs. 4 GSpG dar. (BMF, Glücksspielbericht 2014-2016, 34). Seit 2014 hat die Spielerschutzstelle auch den Austausch mit den staatlich anerkannten Schuldnerberatungsstellen intensiviert. Ein Link zu deren Dachorganisation wurde auf der Website des BMF platziert. (BMF, Glücksspielbericht 2014-2016, 36). Auf universitärer Ebene war die Spielerschutzstelle in den Jahren 2014 und 2015 bei den entsprechenden Symposien Glücksspiel der Forschungsstelle Glücksspiel an der Universität Hohenheim vertreten, ebenso am Deutschen Suchtkongress 2015 an der Universität Hamburg. (BMF, Glücksspielbericht 2014-2016, 38).
Auf der Homepage des BMF bmf.gv.at ->Steuern ->Glücksspiel & Spielerschutz -> Spielerschutz und Hilfsangebote sind auch Beratung, Hilfe und Information angegeben, sowie ein Inhaltsverzeichnis der bisherigen Fachtagungen samt Unterlagen:
+ Links zu den Spielerschutzberatungsstellen.
Hauptanliegen bleibt eine interdisziplinäre Zusammenarbeit, da Spielerschutz eine Querschnittmaterie ist, es geht um Spielsuchtprävention, Existenzsicherung, Konsumenten- und Jugendschutz. In den Fachtagungen der Spielerschutzstelle im BMF in den Jahren 2018, 2019 befasste man sich beispielsweise im Zusammenhang mit Glücksspielproblematik bei Kindern und älteren Menschen mit den Themen, dass sich die Grenzen zwischen Gaming und Gambling im Onlinebereich immer mehr verwischen, z.B. bei Lootboxen, die in Videospielen für Kinder bereits als Glücksspiel simuliert sind (Dipl.-Psych. Marc von Meduna, Universität Bremen, Institut für Psychologie und Kognitionsforschung: "Nutzungsmuster und Risikofaktoren von Social Gambling im Jugendalter - Kernbefunde einer Schülerbefragung" Fachtagung 2018), weiters mit der Glücksspielproblematik bei Menschen von 50 Jahren aufwärts bis über 80 Jahre, insbesondere mit Kartenspiel und Bingo-Lotterien. (Dr. Fulvia Prever, National Health System Addictions Clinic in Milan, Italy "Gambling Related Problems Among Older People with special focus on women" Fachtagung 2019).
Weiterer Aspekt des Spielerschutzes, mit Schwerpunkt auf Seite der Glücksspielanbieter, ist das Responsible Gaming. Responsible Gaming bedeutet Verantwortungsbewusstsein für das vorhandene Risikopotenzial sowie das Bemühen, dieses Risiko so gering wie möglich zu halten und die Wahl zu haben, bestimmte, ausgesuchte Spiele in einer sicheren und unterstützenden Umgebung zu spielen. Responsible Gaming ist kein Einzelprojekt, sondern es kann in vielfältigen Maßnahmen bestehen. Dabei kommt es auch auf die gesetzlichen Vorgaben der einzelnen Staaten an. Der Selbstausschluss des Spielers (Spielersperren) ist nur eine von vielen Möglichkeiten. Es können auch Mitarbeiter der Glücksspielindustrie speziell geschult werden, die dann auch Kontakte zu den entsprechenden Hilfseinrichtungen herstellen können. (Pieter Remmers, Assissa Consultancy Europe / European Association for the Study of Gambling (EASG): "New Solutions in Responsible Gaming", Fachtagung 2018).
Zu den Spielersperren ist dem Glücksspielbericht 2014-2016 des BMF (siehe Punkt 8.5.2.9.4. dieses Erkenntnisses) folgendes zu entnehmen: Eine der möglichen Maßnahmen der Suchtprävention und -behandlung ist der zeitweise ("Spielbeschränkung") oder völlige Ausschluss vom Spiel ("Spielsperre"). Vor der Neuordnung des Glücksspielgesetzes durch die GSpG-Novelle 2010 war diese Maßnahme nur in Spielbanken vorgesehen. Demnach kann die Spielbankleitung Personen ohne Angabe von Gründen vom Besuch der Spielbank ausschließen (§ 25 Abs. 2 GSpG). Auch explizite Regeln für die Bedingungen, unter denen eine Spielsperre erfolgen muss, sind gesetzlich festgeschrieben (§ 25 Abs. 3 GSpG). So müssen bei einer begründeten Annahme, dass Häufigkeit und Intensität des Spielens das Existenzminimum gefährden, Bonitätsauskünfte eingeholt und bei Bedarf Beratungsgespräche durch besonders geschulte Mitarbeiter durchgeführt werden, wobei unter anderem eine dauernde Besuchssperre oder vorübergehende Besuchsbeschränkung die Folge sein kann. Bei Verletzung der gesetzlich festgelegten Pflichten können für die Spielbankleitung zivilrechtliche Haftungsfolgen entstehen. (BMF, Glücksspielbericht 2014-2016, 7). Im Bereich der Spielbanken wurden gemäß dem jährlichen Bericht des Konzessionärs an die Glücksspielaufsicht im Jahr 2016 in Summe 7.923 Wirtschaftsauskünfte beim KSV 1870, darunter 5.555 über österreichische Spielbankbesucher und 1.944 über Spielbankbesucher aus dem übrigen EU/EWR-Raum eingeholt. Zusätzlich erfolgten bei den Auskunfteien CRIF (vormals Deltavista) und BISNODE (vormals Wisur) 7.159 online-"Sofort-Checks". 634.657 Spielbankbesucher aus dem EU/EWR (inkl. Österreich) wurden im Jahr 2016 den Screening-Prozessen des Konzessionärs unterzogen, die seit Oktober 2013 auf zwei Mal im Monat gesteigert wurden. Bei 221.296 Datensätzen davon bestand die begründete Annahme im Sinne des § 25 Abs. 3 GSpG, dass aufgrund der Häufigkeit und Intensität der Spielteilnahme das Existenzminimum gefährdet ist, was zu 1.631 Informationsgesprächen sowie 1.050 Beratungen bzw. Befragungen führte. Erhöhte Aufmerksamkeit hinsichtlich ihres Spielverhaltens gilt jungen Erwachsenen. Aufgrund des statistisch nachgewiesenen deutlich geringeren Einkommens, setzt der Konzessionär den Beobachtungs-Prozess deutlich früher an. Von 118.744 jungen Spielbankbesuchern im Alter zwischen 18-25 Jahren während des Jahres 2016, sind 10.758 im Screening aufgefallen und setzten umgehend Spielerschutzmaßnahmen ein. Zum 31.12.2016 sind beim Konzessionär österreichweit insgesamt 33.737 Personen gesperrt. Da die Spielerschutzanforderungen des § 5 GSpG auf SBK-GSA in konzessionierten Spielbanken nicht anzuwenden sind, hat das BMF den Konzessionär im Zuge der Konzessionserteilung verpflichtet, im Automatenspielbetrieb die Spielerschutzmaßnahmen zu verstärken und erfolgen seither insbesondere die Beobachtungen und Auswertungen des Spielerverhaltens in kürzeren Intervallen und wurden begleitend intensivere Personalschulungen eingeführt. (BMF, Glücksspielbericht 2014-2016, 8; vgl. auch Landesverwaltungsgericht Salzburg 25.03.2019, 405-10/438/1/22-2019)
Daraus zeigt sich, dass dem konzessionierten Bereich, der Spielbankkonzessionärin zur Gänze, verpflichtend ein Finanzierungsbeitrag von 1 Promille von der Bemessungsgrundlage der Spielbankabgabe auferlegt ist. Mit dem Finanzierungsbeitrag wird die Stabsstelle für Spielerschutz finanziell ausgestattet. Darüber hinaus ist die Spielbankkonzessionärin an Maßnahmen des Responsible Gaming bescheidmäßig gebunden. Zusätzliche Kosten entstehen auch durch die Beratungsgespräche durch besonders geschulte Mitarbeiter, sowie durch Informations- und Beratungsgespräche und insbesondere durch begleitend intensivere Personalschulungen.
Die Bf., die einen gewerblichen Pokersalon betreibt, ist weder verpflichtet, einen Finanzierungsbeitrag zu leisten, noch an Maßnahmen des Responsible Gaming bescheidmäßig gebunden. Kosten der Schulung der Mitarbeiter in Bezug auf Beobachtungen und Auswertungen des Spielerverhaltens entstehen bei der Bf. jedenefalls nicht zwingend.
8.5.2.8.2. Steuerliche "Korrekturmechanismen" bei Schadenersatz gemäß § 25 Abs. 3 GSpG oder Anfechtung von konzessionslos angebotenen Glücksspielverträgen?
Bei Schadenersatzpflicht der Spielbank gemäß § 25 Abs. 3 GSpG, wenn sie den Spieler trotz dessen bereits existenzbedrohlichen Spielverhaltens nicht rechtzeitig sperrt, kann die Frage sein, ob der von der Spielbank gezahlte Schadenersatz von der Bemessungsgrundlage der Steuer abzugsfähig oder eine Rückerstattung wegen Rückgängigmachung des Vertrages möglich ist. (Z.B. BFG 10.11.2015, RV/7101099/2013): § 25 GSpG verpflichtet die konzessionierte Spielbank vornehmlich zum Zwecke des Spielerschutzes zur Einhaltung strenger Auflagen. § 25 Abs. 3 GSpG "dient dem Schutz von gefährdeten oder spielsüchtigen Spielern vor den Gefahren des Glücksspiels, die zur Vernichtung der materiellen Lebensgrundlage seiner selbst und der ihm gegenüber unterhaltsberechtigten Personen führen kann" und ist zwingendes Recht. Entsteht bei einem Spieler "die begründete Annahme, dass Häufigkeit und Intensität seiner Teilnahme am Spiel für den Zeitraum, in welchem er mit dieser Intensität und Häufigkeit spielt, das Existenzminimum gefährden, so erzeugt dies für eine Spielbank bestimmte Pflichten, wie Einholung von Bonitätsauskünften, Führung eines Beratungsgesprächs, Befragung des Spielers, Sperre des Spielers. Bereits die in § 25 GSpG genannte Gefährdung löst die Pflichten der Spielbank aus, nicht entscheidend ist, ob beim Spieler bereits eine Spielsucht vorliegt, oder ob er bereits in bedeutsamen Ausmaß Geld verloren hat. Liegen die Voraussetzungen für eine Sperre des Spielers vor, so bedeutet dies ein Kontrahierungsverbot, die Spielbank darf mit dem Spielbankbesucher keinen Spielvertrag mehr abschließen. (Stefula in Fenyves/Kerschner/Vonklich, Klang3 §§ 1270-1272 Rz 121-123; Verweis auf VfGH 27.9.2011, G 34/10). Verletzt die Spielbank ihre Pflicht, kann der Spieler die Schadenersatzforderung gegenüber der Spielbank innerhalb von drei Jahren nach dem jeweiligen Verlust bei den Zivilgerichten geltend machen. (OGH 19.1.1999, 1 Ob 214/98x mit Verweis auf Höpfel, Probleme des Glücksspielstrafrechts, ÖJZ 1978, 458, FN 117; Bresich/Klingenbrunner/Posch in Strejcek/Bresich [Hg.], GSpG 19892 § 25 Rz 70 Rz 72).
Wurden konzessionslose Glücksspielverträge vom verlierenden Spieler erfolgreich angefochten, und wurden ursprünglich Steuern für dieses Glücksspiel bezahlt (BFG 26.9.2016, RV/7102003/2008), kann sich die Frage nach der Rückerstattung der Steuern stellen: Bei konzessionslosem Glücksspiel bejahte die Judikatur des OGH den Rückforderungsanspruch des Verlierers einer Wett- und Spielschuld in jenen Fällen, in denen die erbrachte Leistung nicht zur Bewirkung der unerlaubten Handlung, sondern lediglich als Einsatz erbracht wird. Der Spieleinsatz kann dann im Rahmen einer bereicherungsrechtlichen Rückabwicklung rückgefordert werden. (OGH 06.09.1995, 7Ob579/95; OGH 13.03.1996, 5Ob506/96; OGH 20.03.2013, 6 Ob 118/12i; Tangl, Zur Rückforderung des Spieleinsatzes bei Schenkkreisen, Zak 2008, 243). Die Argumentation des OGH geht dahin, dass sich beide Spieler mit der Durchführung des verbotenen Spieles einverstanden erklärt haben, es hat sich nicht einer vom anderen verleiten lassen, sondern beide wurden durch die Gewinnchance zur Spieleinlassung bestimmt. Die aus dem ungültigen Spielvertrag gezogenen Vorteile sind daher, einschließlich des erzielten Gewinnes, rückabzuwickeln. (Binder, Privatrechtliche Aspekte der Spielsucht, ÖJZ 1998, 175, Pkt. B) 2a; Karner in Koziol/Bydlinski/Bollenberger, ABGB5 §§ 1267 - 1274 Rz 9; Rebhahn in Schwimann, ABGB3 V, § 1174 Rz 9 unter Verweis in FN 22 auf Ehrenzweig, Schuldrecht2 (1928) 615, Wilburg in Klang2 V 489 und Krejci in Rummel3 § 1267 ff Rz 66 unter Hinweis auf a.A. SZ 19/184; Stefula in Fenyves/Kerschner/Vonklich, Klang3 §§ 1270-1272 Rz 62).
Auch bei erfolgreicher Anfechtung von Glücksspielverträgen durch Spielteilnehmer ist die Bf. im Hinblick auf mögliche steuerliche "Korrekturmechanismen" keinesfalls schlechtergestellt als die Spielbankkonzessionärin, die an § 25 Abs. 3 GSpG gebunden ist.
8.5.2.9. Gesetzgebung, Judikatur und Schrifttum zum ordnungspolitischen Teil ab 2010
Durch BGBl. I 2012/112 wurde § 21 Abs. 10 GSpG angefügt, da neben Landesausspielungen mit Glücksspielautomaten gemäß § 5 GSpG und VLTs gemäß § 12a Abs. 2 auch Glücksspielautomaten in Spielbanken an das Datenrechenzentrum der Bundesrechenzentrum GmbH angeschlossen werden, um dadurch eine effiziente Kontrolle zu gewährleisten. (1960 BlgNR 24. GP ).
8.5.2.9.1. Glücksspiel Bericht 2010-2013 des BMF
Dazu wird bemerkt, dass das BMfF auf seiner Homepage https://www.bmf.gv.at/steuern/glueckspiel-spielerschutz/in-oesterreich/Gluecksspiel den "Glücksspiel Bericht 2010-2013 über die kohärente Politik im österreichischen Glücksspielmonopol" kostenlos und allgemein zugänglich eingestellt hat: "Das Bundesministerium für Finanzen weist im nachfolgenden Bericht anhand der Auswirkungen der Glücksspielreform 2010 insbesondere in den Bereichen Spielerschutz, Konzessionserteilungen und Aufsicht die kohärente Politik innerhalb des österreichischen Glücksspielmonopols nach. Dies erfolgt im wesentlichen aus unionsrechtlichen Gründen, die ausgewogene Regelungen zur Aufrechterhaltung einer monopolistischen Glücksspielstruktur erfordern." In diesem Bericht wird ausgehend vom rechtlichen Rahmen und den bisherigen Konzessionserteilungen dargestellt, dass eine Stabsstelle für Spielerschutz eingerichtet wurde und welche Tätigkeiten diese habe, dass und wie die Konzessionäre überwacht würden, dass eine Aufsicht über die Werbung der Konzessionäre über Leitlinien und Werbestandards bestünde, illegales Glücksspiel bekämpft werde und vor allem wurden die Entwicklungen im Bereich der Geldwäsche erörtert. Diese Darstellung findet sich auch im Evaluierungsbericht des BMfF gemäß § 60 Abs. 25 Z 5 GSpG "Auswirkungen des Glücksspielgesetzes 2010-2014" vom November 2014 (III-131 BlgNR 25.GP -Bericht). Eine neuerere Studie ist die des ISD Institut für interdisziplinäre Sucht- und Drogenforschung in Kooperation mit dem Österreichischen Gallup Institut "Glücksspielverhalten und Glücksspielprobleme in Österreich. Ergebnisse der Repräsentativerhebung 2015" (Electronic Document http://www.isd-hamburg.de/praesentationen.htm [29.3.2016]) im Zusammenhang mit den Unterlagen zu den Fachtagungen zu Glücksspiel und Spielerschutz auf der Homepage des BMF Electronic Document https://www.bmf.gv.at/steuern/gluecksspiel-spielerschutz/hilfsangebote/Spielerschutz [29.3.2016].
8.5.2.9.2. Anfragen und Anfragebeantwortungen auf der Homepage des Parlamentes
Die Problematik der Zunahme des illegalen Spielangebotes wird auch deutlich, wenn man auf der Homepage des Parlamentes Anfragen und Anfragebeantwortungen des Innenministeriums, Justizministeriums und Finanzministeriums betreffend "Glücksspiel- und Wettangebote: Illegales Glücksspiel und Glücksspielbetrug" der letzten Jahre aufruft. Z.B. In der parlamentarische Anfrage vom 16.7.2012, 12535/J 24. GP "Legales, sowie nicht konzessioniertes und illegales Glücksspiel in Österreich: Vollziehung des Glücksspielgesetzes (GSpG) seit Inkrafttreten der Glücksspielgesetznovellen 2008 und 2010" an das Justizministerium wird im Vorwort die Besorgnis zur Ausbreitung des illegalen Glücksspiels geäußert. In der Anfragenbeantwortung vom 7.9.2012, 12240/AB 24. GP des BMF, Seite 2 berichtet das BMF, dass nach einer zweijährigen intensiven Kontrollphase mit insgesamt mehr als 3.000 beschlagnahmten Geräten nun erstmals ein deutlicher Rückgang bei den illegalen Geräten und den Aufstellorten festgestellt werden kann. Mit den Erfolgen würden sich nun auch verstärkt Spielsüchtige und deren Angehörige an die Finanzpolizei wenden, damit die illegalen Geräte, die regelmäßig ohne jedweden Spielerschutz oder Spielbeschränkung funktionieren würden, beschlagnahmt würden. Was den Spielerschutz in Spielbanken gemäß § 25 GSpG betrifft, dürfte diese Bestimmung ein europaweites Unikat darstellen (Seite 11). In der Anfragenbeantwortung vom 22.3.2013, 13395/AB 24. GP berichtet das BMF auf Seite 5, dass einige Automatenbetreiber noch während der laufenden Amtshandlung weitere Glücksspielgeräte bei Aufstellern geordert haben würden. Die Finanzpolizei begegne dem in der Praxis mit unmittelbaren Folgekontrollen und abermaligen Beschlagnahmen. Unter III-423 BlgNR 24. GP ist der Tätigkeitsbericht Finanzpolizei Glücksspiel (§ 31b GSpG) -Bericht an den Nationalrat über die Tätigkeit der Abgabenbehörden im Bereich verbotener Ausspielungen 2010 bis 2012 enthalten. Im Evaluierungsbericht des Bundesministers für Finanzen an den Nationalrat über die Auswirkungen des Glücksspielgesetzes 2010-2014 (III-131 BlgNR), zu dem in § 60 Abs. 25 Z 5 GSpG der Auftrag erteilt wurde, wird berichtet, dass über Projektgruppen die kohärente Abgabeneinhebung und Abgabeneinbringung bei illegalen Online-Anbietern sowie Strategien zur Eindämmung des illegalen Online-Glücksspiels und deren Bewerbung in öffentlichen Medien vorangetrieben wurden (Seite 32). Weiters wurden Standards und Leitlinien für Glücksspielwerbung durch die Konzessionäre entwickelt, die ab 1.1.2015 gelten sollten (Seite 33).
8.5.2.9.3. VwGH 16.3.2016, 2015/17/0022, OGH 27.11.2013, 2 Ob 243/12t und VfGH 15.10.2016, E 945/2016ua
Nach dem Erkenntnis VwGH 16.3.2016, 2015/17/0022 ist aufgrund der zahlreichen Möglichkeiten, in Österreich an auch illegalen Glücksspiel teilzunehmen, die äußerst offensiv beworben wurden, auch die massive Werbung für weniger suchtgeneigte Glücksspiele als geeignet anzusehen, die Spieler von den illegalen Spielmöglichkeiten zu den legalen hinzuleiten. Denn das zentrale Problem im österreichischen Glücksspielbereich bestand darin, dass von Anbietern, die über keine Konzession oder Bewilligung verfügten, Glücksspiele auch über neue Technologien in stark zunehmenden Ausmaß bereitgestellt wurden (VwGH 16.3.2016, 2015/17/0022 Rn 109 Rn 115; zu dieser Problematik siehe auch Stein, Die europarechtlichen Rahmenbedingungen für das Glücksspiel in Strejcek/Hoscher/Eder [Hrsg.] Glücksspiel in der EU und in Österreich, 2015, 10). Laut AB zu BGBl. I 2003/125: "Die rasante Entwicklung der modernen Kommunikationstechnologien führt im Bereich des Glücksspieles zu einer nahezu unüberschaubaren Flut von Angeboten, die weder über die entsprechenden und erforderlichen Konzessionen nach dem Glücksspielgesetz verfügen, noch in irgendeiner Art und Weise Rücksicht auf jene ordnungspolitischen und sozialpolitischen Notwendigkeiten nehmen, die dem Glücksspielgesetz zugrunde liegen und die auch vom Europäischen Gerichtshof mehrmals als wesentlich erachtet wurden." kann einer derartigen Situation daher durchaus mit der entsprechenden Werbung begegnet werden, um die Spielteilnehmer vom verbotenen zum erlaubten Spiel zu bewegen. Dabei muss laut OGH 27.11.2013, 2 Ob 243/12t nicht jede Werbemaßnahme für sich oder nach "Sektoren" wie zB Online-Roulette für sich betrachtet werden.
Als Folge der Anträge des Obersten Gerichtshofes ging es im Erkenntnis des Verfassungsgerichtshofes 15.10.2016, E 945/2016ua um die Frage, ob das im Glücksspielgesetz verankerte Glücksspielmonopol bzw. die zahlenmäßige Beschränkung der Konzessionen zum Betrieb von Glücksspielautomaten unionsrechtswidrig ist. Der Verfassungsgerichtshof konnte nicht erkennen, dass die einschlägigen Bestimmungen des Glücksspielgesetzes dem Unionsrecht widersprechen. Der Verfassungsgerichtshof folgte nicht der vom Obersten Gerichtshof vertretenen Rechtsauffassung, da der Oberste Gerichtshof isoliert konkrete Werbetätigkeiten einzelner Konzessionäre betrachtete, ohne eine gesamthafte Würdigung aller Auswirkungen auf dem Glücksspielmarkt im Sinne der Rechtsprechung des Gerichtshofes der Europäischen Union vorzunehmen. Der Verfassungsgerichtshof sah sein Ergebnis auch durch die jüngere Rechtsprechung des Verwaltungsgerichtshofes (VwGH 16. März 2016, Ro 2015/17/0022) gestützt. (Punkt 2.5. VfGH 15.10.2016, E 945/2016).
8.5.2.9.4. Glücksspielbericht 2014-2016 des BMF und weitere gesetzliche Änderungen
Mit dem Glücksspielbericht 2014-2016 vom Juni 2017, den das BMfF auf seiner Homepage https://www.bmf.gv.at/steuern- > Glücksspiel & Spielerschutz ->Glücksspiel in Österreich kostenlos und allgemein zugänglich eingestellt hat, fasste das BMF zusammen, dass das Glücksspielgesetz seit 2014 durch die nachstehenden Novellen abgeändert wurde:
Mit BGBl. I Nr. 13/2014 erfolgte im Wesentlichen die Umkehrung der Subsidiarität verwaltungsstrafrechtlicher Bestimmungen zu § 168 StGB sowie eine Anpassung im Bereich des Konzessionssystems.
Mit BGBl. I Nr. 105/2014 wurden im Wesentlichen die Aufsichtsbestimmungen harmonisiert und nachgeschärft sowie eine Verordnungsermächtigung für den Maßstab verantwortungsvoller Werbung aufgenommen.
Der Gesetzgeber hat mit BGBl. I 118/2015 neuerlich das Konzessionssystem adaptiert und Vollzugsbestimmungen nachgeschärft.
Mit BGBl. I Nr. 117/2016 wurde ua. die Volljährigkeitsgrenze zur Teilnahme an Glücksspielen vereinheitlicht.
Für den Glücksspielbereich wurde die Richtlinie (EU) 2015/849 (4. Geldwäsche-RL) mit BGBl. I Nr. 118/2016 umgesetzt; weiters wurden ua. die Bestimmungen über Beteiligungen an Bundeskonzessionären nachgeschärft und eine Eignungsprüfung für leitende Organe von Bundeskonzessionären aufgenommen.
Die Konzessionäre sind zu laufenden Berichten sowie zu einem ausführlichen Jahresbericht an die BMF-Fachabteilung verpflichtet. Letzterer habe Ausführungen zu enthalten ua. über: Maßnahmen zur Spielsuchtvorbeugung und zum Spielerschutz sowie deren Ausrichtung an jeweils aktuellen internationalen Standards unter Anschluss von statistischen Daten über Sperren, Selbstsperren und Spielbeschränkungen, die Überwachung von Altersgrenzen für die Spielteilnahme sowie allfällige diesbezüglich gesetzte Maßnahmen, die geltenden Responsible Marketing-Standards des Konzessionärs zur Einhaltung eines verantwortungsvollen Maßstabes im Sinne des § 56 Abs. 1 GSpG, die Werbeauftritte der letzten zwölf Monate sowie die Werbestrategie für die nächsten zwölf Monate, Maßnahmen zur Geldwäsche- und Kriminalitätsvorbeugung sowie deren Ausrichtung an jeweils aktuellen internationalen Standards unter Anschluss von Angaben über Beträge bzw. Schadenshöhen bei Verdachtsfällen von Geldwäsche sowie Malversationen durch Spielteilnehmer oder Innentäter, erreichte, aufrechterhaltene und angestrebte konzessionsrelevante Zertifizierungen, Änderungen und Erweiterungen des Spielangebots oder der Spielregeln und Werbekonzepte. Im Rahmen der Fachaufsicht über das FAGVG erlässt die BMF-Fachabteilung auch die aufsichtsrechtlichen Anweisungen für gewisse ordnungspolitische Bereiche bzw. den Bereich der Ermittlung der Bemessungsgrundlage für die Glücksspielabgaben der Konzessionäre. (BMF, Glücksspielbericht 2014-2016, 22- 23).
Mit § 31c GSpG wurden die nun für alle Glücksspieldienstleister maßgeblichen Bestimmungen der Richtlinie (EU) 2015/849 zur Verhinderung der Nutzung des Finanzsystems zum Zwecke der Geldwäsche und der Terrorismusfinanzierung, zur Änderung der Verordnung (EU) Nr. 648/2012 und zur Aufhebung der Richtlinie 2005/60/EG und der Richtlinie 2006/70/EG , ABl. Nr. L 141 vom 05.06.2015 S 73, - insbesondere Art. 11 lit. d - nach dem Muster des FM-GwG sowie die Anregungen der Financial Action Task Force (FATF) zum Glücksspielbereich im Zuge deren 4. Länderprüfung Österreichs im November 2015 umgesetzt. Dabei orientiert sich die Umsetzung auch am geringen Grad des Geldwäsche- und Terrorismusfinanzierungsrisikos, wie dieser für den Glücksspielbereich in der "Nationalen Risikoanalyse Österreich" 2015 ausgewiesen wird. (BMF, Glücksspielbericht 2014-2016, 23). Zusammen mit den neuen glücksspielrechtlichen GW/TF-Bestimmungen trat auch eine zeitgemäße Eignungsprüfung (fit & proper) für leitende Organe bei Bundeskonzessionären in Kraft (§ 31b Abs. 7 bis 9 GSpG). Diese Bestimmungen orientieren sich an § 28 BWG und deren Auslegung der Finanzmarktaufsicht und betreffen Geschäftsleiter wie auch Aufsichtsräte. (BMF, Glücksspielbericht 2014-2016, 24). Im Rahmen der Aufsichtsverpflichtungen über die Glücksspielkonzessionäre nahm das BMF auch die Möglichkeit wahr, den Spielbetrieb einer Überprüfung auf Einhaltung der gesetzlichen und konzessionsrechtlichen Regelungen zu unterziehen. Diese Einschauen erfolgen stichprobenartig und unangekündigt durch Bedienstete der BMF-Fachabteilung bzw. des FAGVG nach abgabenrechtlichen und ordnungspolitischen Gesichtspunkten. Diese Audits umfassen insbesondere die Systemprüfung für die verpflichtenden Spielsuchtvorbeugungs- und Spielerschutzmaßnahmen, für die Sorgfaltspflichten der Geldwäschevorbeugung sowie für die Ermittlung der Bemessungsgrundlage der Glücksspielabgaben, sohin die Tauglichkeit der eingerichteten Prozesse und Aktivitäten zur Einhaltung der gesetzlichen bzw. konzessionsrechtlichen bzw. per Nebenbestimmungen zur Konzession oder sonstiger Bescheide eingerichteten Standards. (BMF, Glücksspielbericht 2014-2016, 25).
Zu den Tätigkeiten der Spielerschutzstelle sowie Bestimmungen und Angaben zu Spielersperren siehe Punkt 8.5.2.8.1. dieses Erkenntnisses.
Die aufgrund der finanzpolizeilichen Glücksspielkontrollen einzuleitenden Beschlagnahme-,Einziehungs- und Strafverfahren werden zuständigkeitshalber von den Bezirksverwaltungsbehörden und Landespolizeidirektionen abgeführt. An diesen Verfahren ist das Finanzamt - vertreten durch die Finanzpolizei - als Amtspartei zu beteiligen. Die Finanzpolizei ermittelt aber auch die abgabenrechtliche Seite, da tendenziell illegales Glücksspiel meist in Tateinheit mit Steuerhinterziehung veranstaltet wird. (BMF, Glücksspielbericht 2014-2016, 43). Die Tätigkeit der Finanzpolizei wurde mit Statistiken unterlegt. Dargestellt wurde, dass die Finanzpolizei in den Bundesländern verstärkt mit anderen Behörden zusammenarbeitet, um vor allem illegales Automatenglücksspiel zu bekämpfen. (BMF, Glücksspielbericht 2014-2016, 44-47).
FAGVG Prüfung Konzessionäre und automatisiertes Glücksspiel: Das Team ist zuständig für die Kontrolle der Bemessungsgrundlagen für Spielbank-, Konzessions- und Glücksspielabgaben sowie gewisser ordnungspolitischer Bereiche des konzessionierten Glücksspiels. Diese Kontrollen erfolgen auch vor Ort nach den hierfür erlassenen Aufsichtsanweisungen des BMF. Der Spielbankenkonzessionär wird begleitend kontrolliert, sämtliche Belege werden auf ihre formale und rechnerische Richtigkeit geprüft. Daraus resultiert ein Monatsergebnis, das mit der selbst zu berechnenden Spielbankabgabe des Konzessionärs abgeglichen wird. Die Abrechnung der Österreichische Lotterien GesmbH erfolgt durch Überprüfung der Wochenumsätze, die zu einem Monatsergebnis führen, das wiederum mit den gemeldeten Abgaben (Konzessionsabgabe und Glücksspielabgabe) abgeglichen wird. (BMF, Glücksspielbericht 2014-2016, 49-50).
Weitere Änderungen in Bezug auf Verhinderung der Geldwäsche und Terrorismusbekämpfung erfolgten durch BGBl. I 2017/107, mit welchem § 18 Abs. 5 und 6 sowie § 30 Abs. 5 und 6 GSpG an die Hauptgesichtspunkt des Gesetzes, Stärkung des Anlegerschutzes und Verbesserung der Integrität und Transparenz der Finanzmärkte, angepasst wurden, und BGBl. I 2019/62, dem EU-Finanz-Anpassungsgesetz 2019 - EU-FinAnpG 2019, mit welchem umfangreiche Änderungen des § 31c GSpG vorgenommen wurden.
8.5.2.9. Bestätigung der Unionsrechtskonformität des Glücksspielmonopols durch das Erkenntnis VwGH 11.7.2018, Ra 2018/17/0048
Bei Durchführung der vom EuGH geforderten Gesamtwürdigung von einer Unionsrechtswidrigkeit von Bestimmungen des Glücksspielgesetzes ist nicht auszugehen, weil mit diesem die vom Gesetzgeber angestrebten Ziele des Spielerschutzes, der Spielsuchtbekämpfung, der Verringerung der Beschaffungskriminalität sowie der Verhinderung von kriminellen Handlungen sowie der Bekämpfung von Geldwäsche und Terrorismusfinanzierung in kohärenter und systematischer Weise verfolgt würden. (VwGH 11.7.2018, Ra 2018/17/0048 Rn 91). Der Verfassungsgerichtshof hat ausgesprochen, dass die Ziele der Beschränkung von Glücksspielkonzessionen, nämlich Straftaten zu verhindern, eine übermäßige Anregung zur Teilnahme am Glücksspiel durch unreglementierte Konkurrenz zu vermeiden und zu verhindern, dass Glücksspiel ausschließlich zu gewerblichen Gewinnzwecken veranstaltet wird, angesichts der nachgewiesenen Sozialschädlichkeit des Glücksspiels im öffentlichen Interesse liegen (VfSlg. 19.717/2012). Auch der Verwaltungsgerichtshof hegt keine Zweifel, dass die Sozialschädlichkeit bzw. Suchtgefahr des Glücksspiels als notorisch anzusehen ist. (VwGH 11.7.2018, Ra 2018/17/0048 Rn 61). Der Umstand, dass in Österreich ein nicht allzu großer Anteil der Bevölkerung spielsüchtig ist, sowie dass die Beschaffungskriminalität, wenn auch in vergleichsweise geringem Umfang trotz Monopols vorliegen, zeigt, dass das vom österreichischen Gesetzgeber seit langer Zeit gewählte System zur Beschränkung der Möglichkeiten, in Österreich an Glücksspielen teilzunehmen, die vom Gesetzgeber angestrebten Ziele des Spielerschutzes, sowie der Bekämpfung von Spielsucht und Kriminalität im Zusammenhang mit Glücksspielen erreicht. (VwGH 11.7.2018, Ra 2018/17/0048 Rn 63-65). Zur Feststellung, dass die Staatseinnahmen aus dem Glücksspiel jährlich ca. EUR 500 Mio. betragen, äußerte der Verwaltungsgerichtshof, dass nach der Judikatur des EuGH das Ziel, die Einnahmen der Staatskasse zu maximieren, für sich allein eine Beschränkung des freien Dienstleistungsverkehrs nicht rechtfertigen könne (vgl. Dickinger und Ömer, Rn. 55), wohl aber die vom Gesetzgeber angestrebten Ziele des Spielerschutzes, der Spielsuchtbekämpfung, der Verringerung der Beschaffungskriminalität sowie der Verhinderung von kriminellen Handlungen gegenüber Spielern. Dabei sei auch zu berücksichtigen, dass sowohl die Maßnahmen des Spielerschutzes, der Spielsuchtbekämpfung und der Kriminalitätsbekämpfung sowie die Aufsicht über die Glücksspielkonzessionäre und Bewilligungsinhaber und auch die medizinischen Behandlungskosten von Spielsüchtigen sowie Fürsorgeunterstützungen für Spielsüchtige und deren Familien hohe finanzielle Kosten verursachten. Auch unter diesen Gesichtspunkten sei es nicht zu beanstanden, wenn neben der Verfolgung von legitimen Zielen zur Rechtfertigung der Beschränkung der Dienstleistungsfreiheit auch entsprechende Einnahmen aus Abgaben im Zusammenhang mit Glücksspiel durch den Staat lukriert würden. Im Übrigen würde gerade die geforderte Vergabe von Konzessionen und Bewilligungen in unbeschränkter Anzahl eine Ausweitung des Kreises der Abgabepflichtigen und damit auch eine Erhöhung der vom Staat lukrierten Abgaben bewirken. (VwGH 11.7.2018, Ra 2018/17/0048 Rn 68). Zur Werbung der Konzessionäre für Glücksspiel traf der Verwaltungsgerichtshof die Aussage, dass die getätigte Werbung nur für nicht stark gefährdende und weniger suchtgeneigte Glücksspiele erfolgt. (VwGH 11.7.2018, Ra 2018/17/0048 Rn 80). Machen die Konzessionäre in maßvoller Weise auch verstärkt Werbung insbesondere für weniger suchtgeneigte Glücksspiele, kann das als geeignet angesehen werden, die Spieler von den illegalen Spielmöglichkeiten zu den legalen hinzuleiten. Eine solche Einschränkung der Werbemöglichkeiten würde zur Verlagerung des Glücksspiels zu illegalen Spielen mit höherem Suchtgefährdungspotential, geringerem Spielerschutz und größerer Gefahr von finanziellen Verlusten führen. (VwGH 11.7.2018, Ra 2018/17/0048 Rn 81). Wesentlich für die Durchführung der Gesamtwürdigung ist auch, dass es zu einer Ausweitung des Spielerschutzes gekommen ist ("Einrichtung einer Spielerschutzstabstelle und verpflichtende Zusammenarbeit mit Spielerschutzeinrichtungen, Zutrittssysteme und Zugangskontrolle, Mindestdauer pro Spiel, Verbot bestimmter Spielinhalte, Einsatz- und Gewinnlimits, Verbot parallel laufender Spiele, Abkühlungsphase, Mindestabstandsregelungen, Schulungskonzepte für Mitarbeiter"). Dies ergibt sich aus der Novelle BGBl. I Nr. 117 und 118/2016, die ein einheitliches Schutzalter von 18 Jahren festgelegt hat. Nach dem Glücksspielbericht 2014-2016 (S 8) fänden tatsächlich Spielersperren statt (zum 31. Dezember 2016 seien beim Konzessionär österreichweit insgesamt 33.737 Personen gesperrt gewesen). Zur Verhinderung von Manipulation erfolge die Einbindung des gesamten legalen automatisierten Glücksspiels in Österreich an das Datenrechenzentrum der Bundesrechenzentrum GmbH (BRZ) mit 1. Juli 2017 (Glücksspielbericht 2014-2016, S 9; VwGH 11.7.2018, Ra 2018/17/0048 Rn 86).
Mit BGBl. I Nr. 118/2016 wurden umfangreiche Regelungen zur Verhinderung von Geldwäsche und Terrorismusfinanzierung getroffen, was Teil des Ziels des Schutzes der öffentlichen Ordnung ist; der Geschäftsleiter eines Konzessionärs muss strengsten "Fit & Proper-Anforderungen" genügen (§ 31b Abs. 7 GSpG). Auch nach Erteilung der Konzession können dem Konzessionär zusätzliche Auflagen vorgeschrieben werden, wenn dies zur Wahrung der Zielsetzungen des Gesetzes, "insbesondere zur Aufrechterhaltung eines hohen Niveaus des Spielerschutzes und der Spielsuchtprävention", erforderlich ist (VwGH 11.7.2018, Ra 2018/17/0048 Rn 87).
8.5.2.10. VwGH 24.04.2019, Ra 2017/17/0962 zur Werbung der Konzessionäre
"Entgegen dem Vorbringen der Revision kann sich das GSpG selbst bei Hinweisen auf das Vorliegen einer expansionistischen Geschäftspolitik der Konzessionäre - etwa durch das Glücksspiel verharmlosende Werbung - nach der Rechtsprechung des EuGH und des VwGH im Rahmen der Gesamtwürdigung als mit dem Unionsrecht in Einklang stehend erweisen, wenn etwa mit dieser Geschäftspolitik eine Umlenkung von Spielern vom illegalen zum legalen Glücksspiel sichergestellt werden soll" (VwGH 24.04.2019, Ra 2017/17/0962 Rn 10 unter Verweis auf EuGH 8.9.2010, C- 316/07 u.a., Stoß u.a., Rn. 107; 30.4.2014, C-390/12, Pfleger, Rn. 50 ff; 6.9.2018, Gmalieva s.r.o. u.a., C-79/17, Rn. 27; VwGH 11.7.2018, Ra 2018/17/0048, 0049)
8.5.2.11. Übergang zum 2. Schritt
Mit der Darstellung der Rechtsentwicklung der Glücksspielbesteuerung und deren Implementierung in das Glücksspielgesetz mit besonderer Berücksichtigung des Kartenpokerspiels aus Sicht der Gebühren und Verkehrsteuern konnte gezeigt werden, dass bereits bei den Vorgängerbestimmungen des heutigen Glücksspielgesetzes der Spielerschutz im Vordergrund stand, fiskalische Zwecke traten immer weiter zurück. Die im Glücksspielgesetz 1989 geregelte Spielbankabgabe und Konzessionsabgabe hatten sich aus einem Monopol heraus zu echten Steuern entwickelt. (Griller/Reindl, Die Unvereinbarkeit des österreichischen Glücksspielgesetzes mit dem Europäischen Gemeinschaftsrecht, ZfV 1998, 234, 250, 251; Segalla, Glücksspiel- und Wettrecht, in Holoubek/Potacs (Hrsg), Handbuch des öffentlichen Wirtschaftsrechts2 (2007) 250). Die Glücksspielgesetznovellen 2010 gingen von fiskalischen Zielsetzungen gänzlich ab und den Konzessionären wurden im ordnungspolitischen Bereich zahlreiche Auflagen auferlegt, wie z.B. einen Finanzierungsbeitrag für die Stabstelle für Spielerschutz zu leisten, gesetzliche und bescheidmäßige Bindung an Maßnahmen des Responsible Gaming, die z.B. die Schulung der Mitarbeiter in Bezug auf Beobachtungen und Auswertungen des Spielerverhaltens umfasst. Die Rechtsgeschäftsgebühren für Glücksverträge, die im § 33 TP 17 GebG geregelt waren, fanden durch die Glücksspielgesetznovellen 2010 im GSpG als Glücksspielabgaben iSd §§ 57 ff GSpG Eingang. (1080 BlgNR 17. GP ; o.A., GSpG-Novellen - steuerliche Änderungen ab 2011, ÖStZ 2010/702, 356; Bresich/Klingenbrunner/Posch in Strejcek/Bresich, GSpG 19892, 31).
Das Pokerspiel wurde in § 1 Abs. 2 GSpG namentlich genannt und zwischen 2011 und 2015 gab es eine Spielbankkonzession in Form eines Pokersalons in § 22 GSpG.
Die Veranstalter von Kartenpokerspiel, wie die Bf., hatten - seit 1993 - keine glücksspielgesetzlichen, sondern gewerberechtliche Bewilligungen zum "Halten von erlaubten Spielen". Mittlerweile gibt es einen Corpus an Literatur und Judikatur, dass das Pokerspiel nicht dem verfassungsrechtlichen Kompetenztatbestand "Angelegenheiten des Gewerbes", sondern dem Kompetenzttatbestand "Monopol" zuzuordnen ist. (Winkler, Poker und Pokerspielsalons in der Glücksspielgesetzgebung, 359; Kohl, Das österreichische Glücksspielmonopol, 119). Die namentliche Aufzählung von Poker in § 1 Abs. 2 GSpG ist keine unzulässige Ausdehnung des Glücksspielmonopols, da zum Zeitpunkt des Inkrafttretens des Art. 10 Abs. 1 Z 4 B-VG "Monopolwesen" im Jahr 1925 Poker in der Glücksspielverordnung, BGBl. 1923/253 als verbotenes Glücksspiel aufgezählt war. (VfGH 10.10.2018, G 105/2018 ua.; Bresich/Klingenbrunner/Posch in Strejcek/Bresich, GSpG 19892, 25; Stefula in Fenyves/Kerschner/Vonklich, Klang3 § 1270-1272 Rz 51). Der Verfassungsgerichtshof VfGH 27.6.2013, G 26/2013 G 90/2012 stellte fest, dass die Hereinnahme von Poker in § 1 Abs. 2 GSpG nicht verfassungswidrig ist. Die Rechtsgeschäftgebühren/Glücksspielabgabenpflicht für Kartenpokerspiel - auch im "aufgehobenen" Zeitraum Juli 2013 bis Februar 2014 - steht nach der Judikatur des Verwaltungsgerichtshofes außer Zweifel (VwGH 18.10.2016, Ro 2014/16/0041; VwGH 4.5.2017, Ra 2017/16/0035; VwGH 19.10.2017, Ro 2015/16/0024; VwGH 27.3.2018, Ro 2017/17/0025; VwGH 22.10.2018, Ro 2018/16/0028; VwGH 21.1.2019, Ra 2018/17/0150; VwGH 21.1.2019, Ro 2018/17/0007; VwGH 26.3.2019, Ro 2019/17/0003 dazu ausführlich Punkt 7.2. dieses Erkenntnisses).
Ab 1993 wurde Kartenpokerspiel ohne Bankhalter mit gewerberechtlicher Bewilligung außerhalb des konzessionierten Bereiches mit Rechtsgeschäftsgebühren gemäß § 33 TP 17 GebG, Gewinn pro Spielx25%, belegt und der Veranstalter gemäß § 28 Abs. 3 GebG als Gebührenschuldner herangezogen. (BGBl. 1993/965, 1427 BlgNR 18.GP ; VwGH 8.9.2005, 2000/17/0201; UFS 13.12.2004, RV/0421-W/02 abrufbar unter http://www.bmf.findok.at ; BFG 10.6.2016, RV/7101758/2012). Da das Kartenpokerspiel im konzessionierten Bereich der Spielbankabgabe unterliegt, wurden Glücksspiele für die Abgaben gemäß § 28 GSpG zu entrichten sind, von den Gebühren gemäß § 33 TP17 Abs. 1 Z 7 GebG ausgenommen, um Doppelbesteuerungen zu vermeiden. (Arnold, Rechtsgebühren9 § 33 TP 17 Rz 18c). Nachdem die Bestimmungen aus dem Gebührengesetz in das Glücksspielgesetz übertragen und das Kartenpokerspiel mit der allgemeinen Glücksspielabgabe gemäß § 57 Abs. 1 GSpG, Einsätze pro Spielx16% besteuert wurde, kam diese Doppelbesteuerungsvermeidungsvorschrift in textlich veränderter Form in § 57 Abs. 6 Z 1 GSpG.
Die Bf., die einen gewerblichen Pokersalon betreibt, ist weder verpflichtet, einen Finanzierungsbeitrag zu leisten, noch an Maßnahmen des Responsible Gaming bescheidmäßig gebunden. Kosten der Schulung der Mitarbeiter in Bezug auf Beobachtungen und Auswertungen des Spielerverhaltens entstehen bei der Bf. jedenfalls nicht zwingend.
Die Erzielung von Staatseinnahmen allein rechtfertigt zwar nicht ein Glücksspielmonopol, das heißt aber noch nicht, dass Glücksspiel per se als Abschluss bestimmter Glücksverträge nicht mit Rechtsverkehrsteuern besteuert werden darf. Vor VfGH 15.10.2016, E 945/16 hatte sich in Literatur und Judikatur der Vorwurf der Unionsrechtswidrigkeit des Glücksspielmonopols darauf, dass das Glücksspielmonopol nach wie vor ein Finanzmonopol sei, das vorwiegend die Einnahmenmaximierung im Blick habe, gegründet. Dem diametral entgegengesetzt, stellt die Bf. die Verfassungsmäßigkeit in Frage, weil nach ihrer Ansicht die Spielbankkonzessionärin gegenüber den Nichtkonzessionären steuerlich begünstigt wäre. Es ist daher der abgabenrechtliche Teil des Glücksspielgesetzes zu untersuchen. Die folgenden Darstellungen decken sich weitestgehend mit denen in BFG 2.2.2015, RV/7103459/2012, BFG 10.6.2016, RV/7101758/2012, BFG 25.9.2017, RV/7100907/2012, RV/7100908/2012, BFG 04.04.2018, RV/7104839/2017:
8.5.3. 2. Schritt: wie sich eine Verfassungswidrigkeit infolge Unionsrechtswidrigkeit auf die Glücksspielabgaben auswirken würde, mit spezieller Untersuchung der Kosten, die dem Spielbankkonzessionär anfallen, gegenüber den Kosten der Bf. als Veranstalterin gewerblicher Pokerspiele
8.5.3.1. Die Glücksspielabgaben knüpfen an ordnungspolitische Definitionen an, ohne dadurch den Charakter von Rechtsverkehrsteuern zu verlieren
Zuerst ist eine Verortung der Glücksspielabgaben gemäß § 57 Abs. 1 GSpG im Steuersystem vorzunehmen. Rechtsverkehrsteuern knüpfen an Vorgänge des Rechtsverkehrs an, an vertragliche oder gesetzliche Beziehungen, auf Grund welcher Personen Lieferungen oder sonstige Leistungen oder Rechtsansprüche erhalten. (vgl. Hey/Englisch in Tipke/Lang23, dSteuerrecht § 7 Rz 102; Bruschke, dGrunderwerbsteuer, Kraftfahrzeugsteuer und andere Verkehrsteuern7 22). Zu den Rechtsverkehrsteuern werden gezählt, die Grunderwerbsteuer, die Versicherungssteuer, die Feuerschutzsteuer, die Stiftungseingangssteuer, die Rechtsgeschäftsgebühren (BFG 10.6.2016, RV/7101758/2012; Ehrke-Rabel in Doralt/Ruppe, Steuerrecht II7 (2014) Tz 951), aber auch die Glücksspielabgaben. (Ehrke-Rabl/Sumper, Länderübergreifende Preisausschreiben und Glücksspielabgabe, taxlex 11/2017, 341). Im Zentrum steht die vertragliche Vereinbarung, das kann wie hier, das Kartenpokerspiel sein. Anknüpfungspunkt ist der projektierte oder tatsächliche Vermögensübergang. Die von der Gebühren- oder Verkehrsteuerpflicht erfassten Rechtsgeschäfte werden umschrieben bzw. erfolgt eine Verweisung auf das Zivilrecht. (Stoll, Rentenbesteuerung3, 590).
So knüpft die Grunderwerbsteuer an den Erwerb von Grundstücken an, den Haupttatbestand bilden Kaufverträge und andere Rechtsgeschäfte, die den Anspruch auf Übereignung begründen. (§ 1 Abs. 1 GrEStG 1987; Ehrke-Rabel in Doralt/Ruppe, Steuerrecht II7 (2014) Tz 991 Tz 994). Der Versicherungssteuer (Feuerschutzsteuer) unterliegt die Zahlung des Versicherungsentgelts auf Grund eines Versicherungsverhältnisses als Gegenleistung für die Übernahme des Wagnisses, bzw. Aufwendungen für die Inanspruchnahme von Versicherungsschutz auf Grund eines Versicherungsverhältnisses (§ 1 VersStG 1953; UFS 20.2.2012, RV/1820-W/08; vgl. Ehrke-Rabel in Doralt/Ruppe, Steuerrecht II7 (2014) Tz 1116; Englisch in Tipke/Lang23, dSteuerrecht § 18 Rz 69). Der Stiftungseingangssteuer unterliegen unentgeltliche Zuwendungen an eine privatrechtliche Stiftung oder auf damit vergleichbare Vermögensmassen. (§ 1 Abs. 1 StiftEG 2008; Ehrke-Rabel in Doralt/Ruppe, Steuerrecht II7 (2014) Tz 955). Die Rechtsgeschäftsgebühren iSd Gebührengesetzes 1957 besteuern den Abschluss taxativ aufgezählter Rechtsgeschäfte, außer bei Wettverträgen gemäß § 33 TP 17 Abs. 1 Z 1 GebG, unter Voraussetzung der Urkundenerrichtung (§§ 1 und 15 iVm § 33 GebG), was aber dem Rechtsverkehrsteuercharakter keinen Abbruch tut.
In der Literatur wird auch die Umsatzsteuer zu den Verkehrsteuern gezählt. Sie besteuert zwar Lieferungen und sonstige Leistungen, doch gehen ihr meist Vorgänge des Rechtsverkehrs voraus. (Ehrke-Rabel in Doralt/Ruppe, Steuerrecht II7 (2014) Tz 951). Viele Rechtsvorgänge, die Gebühren und Verkehrsteuern unterliegen, sind von der Umsatzsteuer befreit.
Die Glücksspielabgaben gemäß § 57 GSpG - als Nachfolger der Rechtsgeschäftsgebühren gemäß § 33 TP 17 Abs. 1 Z 7 und Z 8 GebG - besteuern "Ausspielungen" und verweisen damit auf § 1 GSpG iVm § 2 GSpG. Der Glücksspielbegriff des § 1 Abs. 1 GSpG beruht auf dem Spielvertrag des § 1272 ABGB, er ist nicht nur für den ordnungspolitischen, sondern auch für den abgabenrechtlichen Teil des Glücksspielgesetzes maßgeblich. (UFS 7.10.2011, RV/0743-W/11; UFS 5.4.2013, RV/1194-W/12 ua. BFG 10.6.2016, RV/7101758/2012; BFG 20.6.2016, RV/7101283/2013; BFG 25.9.2017, RV/7100907/2012, RV/7100908/2012; BFG 19.10.2017, RV/7103493/2014; BFG 4.4.2018, RV/7104839/2017; BFG 17.2.2019, RV/7106017/2018). Der Begriff der Ausspielung gemäß § 2 Abs. 1 GSpG ergänzt § 1 GSpG, als er die Entgeltlichkeit der Glücksspiele anordnet. Er ist ebenfalls ein primär "ordnungspolitischer", da ihm im Glücksspielrecht eine wesentliche Bedeutung insofern zukommt, als die Ausnahmen vom Glücksspielmonopol gemäß § 4 GSpG an diesen Begriff anknüpfen (vgl. Segalla, Glücksspiel- und Wettrecht, in Holoubek/Potacs (Hrsg), Handbuch des öffentlichen Wirtschaftsrechts2 (2007) 254; Bresich/Klingenbrunner/Posch in Strejcek/Bresich [Hg.], GSpG 19892 § 2 Rz 2), doch auch er wird für den abgabenrechtlich Teil handhabbar gemacht, und bettet - wie noch zu zeigen sein wird - nicht nur die Glücksspielabgaben durch die Ausdifferenzierung, was Leistung und was Gegenleistung des Glücksvertrages ist, noch intensiver in die Rechtsverkehrsteuern ein.
Das bedeutet, für die Glücksspielabgaben gemäß § 57 Abs. 1 GSpG sind Ausspielungen Glücksspiele (iSd §§ 1267 ABGB), bei welchen die Entscheidung über das Ergebnis des einzelnen Spiels ausschließlich oder vorwiegend vom Zufall abhängig ist (iSd § 1 Abs. 1 iVm § 1 Abs. 2 GSpG; 1067 BlgNR 17. GP 16; vgl. VwGH 25.7.1990, 86/17/0062), die von "Unternehmern im weitesten Sinn angeboten" werden (§ 2 Abs. 1 GSpG) und die entgeltlich sind (§ 2 Abs. 1 GSpG; vgl. VfGH 24.9.2012, G 110/11 - ein unentgeltliches Spiel fällt nicht unter den Begriff der Ausspielung). Die Leistung, die der Spieler erbringt, ist der Einsatz. Die "Gegenleistung", die sich der Spieler für die Hingabe seines Einsatzes (Geldes) erwartet, ist die Hoffnung auf eine Gewinnchance, er hofft, dass er den in Aussicht gestellten Gewinn erhalten wird. Ob der Spieler den Gewinn tatsächlich erhält, hängt vorwiegend oder ausschließlich vom Zufall ab. (vgl. BFG 18.12.2014, RV/7103332/2011). Bemessungsgrundlage ist der Einsatz, davon 16%.
Die Glücksspielabgabe besteuert Ausspielungen, an denen die Teilnahme vom Inland aus erfolgt. Aus der Textierung "Teilnahme vom Inland aus" ergibt sich, dass die Glücksspielabgabe nicht differenziert, ob der Glücksspielanbieter im Inland oder in einem anderen Mitgliedstaat der Europäischen Union seinen Sitz hat, es genügt, wenn ein Spielteilnehmer vom Inland aus an den von der Bf. angebotenen Glücksspielen teilnimmt. § 57 Abs. 1 bis Abs. 3 GSpG knüpft weder an die Staatsbürgerschaft noch an den Wohnsitz der Personen an, die den Spielvertrag abschließen, ein personeller Inlandsbezug fehlt. § 57 Abs. 2 und § 57 Abs. 3 GSpG ergänzen § 57 Abs. 1 GSpG, als sie im Wesentlichen die Steuerberechnung regeln, wenn die im § 57 Abs. 1 GSpG umschriebenen Spielverträge in Form der Ausspielung als elektronische Lotterie, d.h. Internetglücksspiel bzw. über Glücksspielautomaten oder Video-Lotterie-Terminals abgeschlossen werden. Es gibt keine Glücksspielabgabeninländereigenschaft oder Glücksspielabgabenausländereigenschaft.
Glücksspielabgabe gemäß § 57 Abs. 2 GSpG fällt an, wenn eine Ausspielung in Form einer elektronischen Lotterie gemäß § 12a GSpG durchgeführt wird - und zwar in Höhe von 40% der Jahresbruttospieleinnahmen. Der Begriff des Glücksspiels nach § 1 Abs. 1 GSpG ist medienneutral und umfasst nicht nur Glücksspiele, bei denen sich Spielteilnehmer/und Unternehmer "zusammensetzen", Spielverträge abschließen und spielen, sondern genauso Glücksspiele, die in elektronischen Medien veranstaltet werden. (vgl. Segalla, Glücksspiel- und Wettrecht, in Holoubek/Potacs (Hrsg), Handbuch des öffentlichen Wirtschaftsrechts2 (2007) 262). Handelt es sich um Ausspielungen, die über elektronische Medien im Fernabsatz angeboten werden, z.B. Internet, Telefon, SMS, Fax (Bresich/Klingenbrunner/Posch in Strejcek/Bresich [Hrsg.], Glücksspielgesetz2 § 57 Rz 4), dann wird eine Ausspielung in Form einer elektronischen Lotterie gemäß § 12a GSpG durchgeführt. An formalen Voraussetzungen dieser Glücksspielform nennt § 12a GSpG a) den Vertragsabschluss über elektronische Medien, b) eine zentralseitige Spielentscheidung und c) die Möglichkeit der Kenntnisnahme des Spielergebnisses unmittelbar nach Spielteilnahme. Soweit daher die formalen Voraussetzungen des § 12a GSpG erfüllt sind, kann jede Ausspielung ["Lotterien", als auch "Casinospiele"] in Form einer Elektronischen Lotterie durchgeführt werden. (Schwartz-Wohlfahrt, GlücksspielG samt den wichtigsten Spielbedingungen2 (2006), § 12a, Rz 9-10, Bresich/Klingenbrunner/Posch in Strejcek/Bresich [Hrsg.], Glücksspielgesetz2 § 12a Rz 2 ). Dass Elektronischen Lotterien gemäß § 12a GSpG nur eine Art der Durchführung des Spiels, eine äußere Form und kein von § 862 ABGB unterschiedlicher "Online- eigener" Vertragsabschluss sind, wurde bereits vom Obersten Gerichtshof OGH 11.3.2010, 4 Ob 17/10v klargestellt. Die frühere Fassung des § 12a GSpG, "Eine Elektronische Lotterie ist eine Ausspielung, bei der der Spielvertrag über elektronische Medien abgeschlossen wird" bleibt von ihrem Sinn in der jetzigen Fassung ja erhalten. (Siehe dazu insbesondere Bydlinski, Zivilrechtsfragen des "kleinen" Automatenglücksspiels, ÖJZ 2008, 697). Weder § 12a GSpG, noch § 13 der Glücksspielautomatenverordnung BGBl. II 2012/69 schaffen einen neuen Vertragszustandekommenstypus im Glücksspielgesetz und für die Glücksspielabgaben, sondern regeln eine eigene Art der Durchführung des Spiels, eine äußere Form, in der das Spiel abläuft, (z.B. UFS 5.4.2013, RV/1194-W/2012; UFS 20.11.2013, 2388-W/2013; BFG 21.11.2014, RS/7100015/2012 BFG 10.6.2016, RV/7101758/2012; BFG 20.6.2016, RV/7101283/2013; BFG 26.09.2016, RV/7100405/2012 - VfGH 8.6.2017, E 2416/2016).
Glücksspielabgabe gemäß § 57 Abs. 3 GSpG fällt für Ausspielungen mit Glücksspielautomaten oder elektronische Lotterien über Video-Lotterie-Terminals an, und zwar in Höhe von 30% der um die gesetzliche Umsatzsteuer verminderten Jahresbruttospieleinnahmen. Eine Ausspielung kann nicht nur im Lebendspiel, sondern gemäß § 2 Abs. 3 GSpG auch mittels Glücksspielautomaten erfolgen. Ein Lebensspiel ist ein Spiel, bei dem ein Croupier die Spielfolge leitet, wie z.B. Roulette, Black Jack oder Glücksrad (1067 BlgNR 17. GP ; Schwartz/Wohlfahrt, Glücksspielgesetz2 § 22 Rz 9; Bresich/Klingenbrunner/Posch in Strejcek/Bresich [Hg.], GSpG 19892 § 21 Rz 21). Nach § 2 Abs. 3 GSpG liegt ein Glücksspielautomat vor, wenn die Entscheidung über das Spielergebnis nicht zentralseitig, sondern durch eine mechanische oder elektronische Vorrichtung im Glücksspielautomaten selbst erfolgt. (z.B. VwGH 19.7.2011, 2011/02/0127). Selbsttätigkeit bedeutet, dass die Entscheidung ohne Zutun von außen durch den Automaten selbst, z.B. nach Maßgabe vorgegebener Wahrscheinlichkeitsprogramme, getroffen wird. Als Gegensatz zur Selbsttätigkeit gilt die Zentralseitigkeit (z.B. VwGH 4.11.2009, 2009/17/0147; VwGH 10.5.2010, 2009/17/0202; UVS Vorarlberg 11.1.2010, 1-953/09 [Definition der Zentralseitigkeit durch Begriffsanalyse]; o.A., Glücksspielgesetz8, 29; Kohl, Das österreichische Glücksspielmonopol, 37). Zentralseitigkeit ist das Charakteristikum der Elektronischen Lotterien gemäß § 12a GSpG. Über Gewinn und Verlust wird dann zentralseitig entschieden, wenn diese Entscheidung nicht ein vom Spielteilnehmer bedienter Apparat mit Hilfe einer elektronischen oder mechanischen Vorrichtung selbst herbeiführt (Bresich/Klingenbrunner/Posch in Strejcek/Bresich [Hg.], GSpG 19892 § 12a Rz 3 Rz 5), bzw. wenn mehrere Endgeräte mit einem Rechner verbunden sind, der das Spielergebnis ermittelt und an die Endgeräte übermittelt. (VwGH 4.11.2009, 2009/17/0147; VwGH 27.4.2012, 2011/02/0224). Zentralseitigkeit bedeutet "Terminal-Server-System", Video-Lotterie-Terminals unterscheiden sich von Glücksspielautomaten "nur durch ihr Innenleben", dass sie "Terminals" sind, d.h. keinen Zufallsgenerator eingebaut haben, sondern an einen zentralen Rechner angeschlossen sind.
Nicht nur aus historischer Betrachtung ist der Rechtsverkehrsteuercharakter der Glücksspielabgaben ersichtlich, sie werden erhoben auf den Abschluss von Verträgen, besteuert wird der tatsächliche Vermögensübergang, da grundsätzlich der Einsatz des Spielteilnehmers Bemessungsgrundlage ist, den er z.B. beim Kartenpokerspiel hingibt, beim Onlineglücksspiel über die dort vorgesehene Bezahlungsmodalität ebenfalls hingibt oder bei Glücksspielautomaten oder Video-Lotterie-Terminals einwirft. Die Steuerschuld entsteht je nach Spielvertrag mit Abschluss, Erhalt der Einsätze, Auszahlung der Gewinne, bzw. Abrechenbarkeit der Gewinne (§ 59 Abs. 1 GSpG). Steuerschuldner ist der Unternehmer bzw. Veranstalter, der Konzessionär oder Bewilligungsinhaber (§ 59 Abs. 2GSpG). Der Glücksspielabgabenschuldner hat die Glücksspielabgaben jeweils für einen Kalendermonat selbst zu berechnen und bis zum 20. des dem Entstehen der Abgabenschuld folgenden Kalendermonats an das Finanzamt abzuführen (§ 59 Abs. 3 GSpG). Damit sind die Glücksspielabgaben "angeordnete" Selbstbemessungsabgaben gemäß § 201 BAO. Eine Gemeinsamkeit mit den Rechtsgeschäftsgebühren besteht auch darin, dass die Abrechnung über die abzuführenden Beträge als Anzeige gilt, und nicht als Abgabenerklärung iSd § 133 BAO. Diese Anzeige dient dazu, die Abgabenbehörde über abgabenrechtlich relevante Tatsachen in Kenntnis zu setzen. Bescheide gemäß § 201 BAO haben eine idente Qualifikation, nur eine Bescheidberichtigung wegen Übernahme offenkundiger Unrichtigkeiten aus Abgabenerklärungen gemäß § 293b BAO ist - wie gemäß § 31 GebG bzw. § 33 TP 17 Abs. 3 GebG - nicht möglich. (vgl. UFS 8.4.2013, RV/1640-W/09, RV/1645-W/09-bestätigt durch VwGH 19.6.2013, 2013/16/0112).
Die Glücksspielabgaben gemäß §§ 57 bis 59 GSpG verweisen zwar auf die in erster Linie aus ordnungspolitischem Bedarf in § 1 Abs. 1 GSpG und in § 2 Abs. 1 GSpG definierten "Spielverträge", doch sie lösen sich auch wieder davon, da sie von jedem verwirklicht werden können, der die abgabenrechtlichen Tatbestandsmerkmale verwirklicht. Jeder, der sich mit anderen Spielteilnehmern zusammensetzt und an einem von einem Unternehmer veranstalteten Kartenpokerspiel teilnimmt, bei welchem er einen Einsatzbetrag dafür zahlen muss, dass er die Hoffnung auf eine Gewinnchance erhält, löst § 57 Abs. 1 GSpG aus. Dieser Betrag, der an die Spielergemeinschaft geleistet wird, wird der Glücksspielabgabe von 16% unterzogen, bei Kartenpokerturnieren ist der Gewinn (der hier sozusagen die Summe der Einsätze der Spielergemeinschaft ist) die Bemessungsgrundlage.
Anlässlich der mündlichen Verhandlung vor dem Senat am 26. August 2019 gab der frühere Geschäftsführer der Bf. über die Frage des Beisitzers, ob 16% der Einsätze abgeführt werden müssten, auch wenn jemand verliert, an, dass vom Verlierer noch 16% vom Einsatz weggenommen werden müssten.
Dieser Darstellung der Bf. ist folgendes zu entgegnen: In den Bemessungsgrundlagen Einsatz, Gewinn oder Jahresbruttospieleinnahmen sind sowohl die Einsätze des Gewinners, als auch die Einsätze des "Verlierers" enthalten. Bezogen auf das Kartenpokerspiel geben z.B. 10 Spielteilnehmer pro Person 10 Euro Spieleinsatz hin. Im Zeitpunkt der Hingabe des Spieleinsatzes wissen die Teilnehmer des Kartenpokerspiels noch nicht, wer von ihnen gewinnen oder verlieren wird. Dieser Betrag, der an die Spielergemeinschaft geleistet wird, wird in diesem Zeitpunkt der Glücksspielabgabe von 16% unterzogen (§ 59 Abs. 1 Z 2 GSpG iVm § 2 Abs. 1 Z 2 GSpG), da die Steuerschuld mit dem Zuschieben, mit der Erbringung der Einsätze entsteht. Auf diesen Zeitpunkt bezogen, "wenn die Einsätze auf dem Tisch liegen", hätte die Bf. als Veranstalterin die Steuer einzubehalten und abzuführen.
Erst, wenn das Spiel zu Ende ist, stehen Verlierer und der Gewinner fest, er gewinnt 100 Euro, 90+10. Der Gewinn besteht aus den Einsätzen der Verlierer und dem eigenen Einsatz des Gewinners. Da die §§ 57 ff GSpG keine vergleichbaren Bestimmungen zu § 30 GebG enthalten, kann der "Verlierer" für die Glücksspielabgabe nicht in Anspruch genommen werden.
8.5.3.2. Verhältnis der Konzessions- und Spielbankabgabe und Glücksspielabgaben zu den Rechtsverkehrsteuern
Außer den Glücksspielabgaben gemäß §§ 57 bis 59 GSpG regelt das Glücksspielgesetz noch die Konzessionsabgabe gemäß § 17 GSpG für die Lotterienkonzession und die Spielbankabgabe gemäß § 28 GSpG für den Betrieb von Spielbanken. Zu den abgabenrechtlichen Bestimmungen des Glücksspielgesetzes ist auch die feste Gebühr für Konzessionen (= amtliche Ausfertigung iSd § 14 TP 2 GebG) und Eingaben gemäß § 59a GSpG zu zählen, die jedoch kein im Glückspielgesetz befindliches Abgabengesetz, das vom Steuergegenstand bis zur Abgabenerklärung/Anzeige alles regelt, darstellt, sondern eine aus den Stempelgebühren des § 14 Gebührengesetz 1957 ausgelagerte besondere feste Gebühr, für die gemäß § 59a Abs. 4 GSpG die entsprechenden Bestimmungen des Gebührengesetzes über Eingaben und amtliche Ausfertigungen bzw. der §§ 203 und § 241 Abs. 2 und 3 BAO gelten. Dem abgabenrechtlichen Teil des Glücksspielgesetzes kann man auch die "Bundesautomatenabgaben- und VLT-Zuschläge gemäß § 13a FAG 2008 [§ 14 FAG 2017]" zuzählen, da laut Verweis in § 57 Abs. 4 letzter Satz GSpG Stammabgabe die Glücksspielabgaben sind. (vgl. Ehrke-Rabel in Doralt/Ruppe, Steuerrecht II7 Tz 1123). Nach den 657 BlgNR 24. GP zu BGBl I 2010/73 - FAG 2008 ist das gesamte Bemessungs- und Einhebungsverfahren der Zuschläge gemäß § 13a FAG 2008 [§ 14 FAG 2017] grundsätzlich nach den für die Glücksspielabgabe (= Stammabgabe) geltenden Bestimmungen durchzuführen. Gemäß § 1 Abs. 4 GSpG wird der Finanzierungsbeitrag in Höhe von 1 Promille von der Bemessungsgrundlage der Spielbankabgabe gemäß § 28 Abs. 2 und 3 GSpG gemeinsam mit der Spielbankabgabe bzw. der Glücksspielabgabe gemäß § 57 Abs. 4 GSpG für gemäß § 5 GSpG bewilligte Glücksspielautomaten, und Video-Lotterie-Terminals auf Basis einer Bundeskonzession, d.h. des Lotterienkonzessionärs gemäß § 14 GSpG, gemeinsam mit der Glücksspielabgabe/Konzessionsabgabe erhoben und richtet sich nach dem Fälligkeitstermin der jeweiligen Abgabe (784 BlgNR 24. GP zu BGBl. I 2010/73; 1212 BlgNR 24. GP zu BGBl. I 2011/76; Bresich/Klingenbrunner/Posch in Strejcek/Bresich, GSpG2 § 1 Rz 45; vgl. Biebl/Ressler, GSpG-Novellen 2008/2010: Besteuerung von Glücksspielautomaten und Video-Lotterie-Terminals. Abgabenrechtliche Änderungen 2010/2011, SWK 2011, 361).
Gemäß § 17 GSpG hat der Konzessionär für die Überlassung des Rechts zur Durchführung der Glücksspiele nach den §§ 6 bis 12b GSpG (Lotto, Toto und Zusatzspiel, für Sofortlotterien, Klassenlotterie, Zahlenlotto, Nummernlotterien und für Bingo und Keno) eine Konzessionsabgabe zu entrichten. Wenn es in § 17 GSpG heißt, dass der Konzessionär für die Überlassung des Rechts zur Durchführung der Glücksspiele eine Konzessionsabgabe zu entrichten hat, ergibt sich aus dem Durchgriff durch § 14 GSpG (Durchführung von Lotterien) und § 3 GSpG ("Durchführung von Glücksspielen"), dass Steuergegenstand Ausspielungen in Form der Spielverträge gemäß §§ 6-12b GSpG sind. Auch der Verwaltungsgerichtshof erkennt den privatrechtlichen Charakter des Verhältnisses zwischen dem Ausspielenden und den Teilnehmern bei einer Ausspielung grundsätzlich an. (VwGH 6.10.1954, 209/52 z.B. Tombola). Die Konzessionsabgabe ist zwar eine Steuer mit Bezug zum Glücksspielmonopol, doch selbst wenn sich aus dem Glücksspielgesetz hervorliest, dass die Konzessionabgabe für die Überlassung des Rechts zur Durchführung der Glücksspiele zu entrichten ist, verweist diese auf die Besteuerung des Abschlusses entgeltlicher Glücksverträge.
Bemessungsgrundlage der Konzessionsabgabe ist im Wesentlichen die Summe der Einsätze während eines Kalenderjahres, der Steuersatz beträgt je nach Spiel zwischen 2% bis 27,5%, dazu kommt gemäß § 17 Abs. 6 GSpG noch die Glücksspielabgabe nach § 57 Abs. 1 GSpG von 16%. Die Konzessionsabgabe für Elektronische Lotterien (§ 12a GSpG Online-Glücksspiel, ausgenommen aber Video-Lotterie-Terminals) beträgt 40%. Bemessungsgrundlage sind die Jahresbruttospieleinnahmen. Wurde für Ausspielungen über elektronische Lotterien gemäß § 12a GSpG Konzessionsabgabe bezahlt, sind sie gemäß § 57 Abs. 2 letzter Satz GSpG von der Glücksspielabgabe befreit. Elektronische Lotterien über Video-Lotterie-Terminals unterliegen nicht der Konzessionsabgabe, sondern § 57 Abs. 4 GSpG, der für Ausspielungen mittels Glücksspielautomaten gemäß § 5 GSpG und solche mittels Video-Lotterie-Terminals aufgrund der Konzession gemäß § 14 GSpG einen Abgabensatz von 10% der um die Umsatzsteuer verminderten Jahresbruttospieleinnahmen vorsieht. Zusammen mit den Zuschlagsabgaben des § 13a FAG 2008 ergibt sich eine Abgabenbelastung von 25%, dazu kommt noch der Finanzierungsbeitrag gemäß § 1 Abs. 4 GSpG. (BGBl. I 2010/73, Bresich/Klingenbrunner/Posch in Strejcek/Bresich [Hg.], GSpG 19892 § 17 Rz 3). Steuerschuldner ist der Konzessionär. Die Entrichtung der Konzessionsabgabe erfolgt durch Selbstberechnung und ist jeweils am 20. des der Leistung der Wetteinsätze folgenden Kalendermonats fällig. Mit BGBl. 1996/747 wurde die Fälligkeit für die Konzessionsabgabe nach dem GSpG und für die Rechtsgebühren gemäß § 33 TP 17 GebG aF vereinheitlicht. Die Abrechnung, die der Konzessionär zu diesem Zeitpunkt vorzulegen hat, gilt als Abgabenerklärung. Am 15. März des Folgejahres hat der Konzessionär eine Steuererklärung abzugeben, die als Jahreserklärung gilt.
Nach § 21 GSpG kann der Bundesminister für Finanzen das Recht zum Betrieb einer Spielbank durch Erteilung einer Konzession an einen Konzessionär übertragen. (Spielbankkonzession; Kohl, Das österreichische Glücksspielmonopol, 16). Nur der Konzessionär darf in der Spielbank Glücksspiele iSd § 1 GSpG und § 2 Abs. 1 GSpG betreiben und ist verpflichtet, die Spielbankabgabe gemäß § 28 GSpG zu entrichten. Umgekehrt ist der konzessionslose Betrieb einer Spielbank nicht spielbankabgabepflichtig (VwGH 17.9.2001, 2001/17/0071- ergangen zu Fremdenverkehrs- bzw Tourismusbeiträgen; Züger/Standfest, Die Besteuerung von Wetten und Glücksspielen im Internet - Bundesrecht, ÖStZ 17/2001, 421, und ÖStZ 18/2001, 444), sondern glücksspielabgabenpflichtig gemäß § 57 GSpG. Wofür die Spielbankabgabe zu entrichten ist, kann sich nur aus dem Durchgriff durch § 21 GSpG (Spielbankbetriebsrecht) und § 3 GSpG ("Durchführung von Glücksspielen") auf die Glücksspiele (Glücksverträge) gemäß §§ 1 und 2 GSpG ergeben. Daraus kann die Struktur abgeleitet werden, dass auch mit der Spielbankabgabe grundsätzlich der Abschluss entgeltlicher Glücksverträge besteuert wird. Die Spielbankabgabe ist zwar eine Steuer mit Bezug zum Glücksspielmonopol, doch selbst wenn sich aus dem Glücksspielgesetz hervorliest, dass die Spielbankabgabe für das Recht zum Betrieb einer Spielbank zu entrichten ist, verweist diese auf die Besteuerung des Abschlusses entgeltlicher Glücksverträge.
Bemessungsgrundlage sind die Jahresbruttospieleinnahmen, der Steuersatz beträgt 30%. Die Ausspielungen in Spielbanken sind gemäß § 57 Abs. 6 GSpG von der Glücksspielabgabe befreit, um eine Doppelbesteuerung mit Spielbankabgabe und Glücksspielabgaben zu vermeiden. (VwGH 19.10.2017, Ro 2015/16/0024 Rn 18). Steuerschuldner ist der Spielbankkonzessionär. Nach den parlamentarischen Materialien zu BGBl 1989/620 regelt § 29 GSpG die Verfahren bei der Erhebung der Spielbankabgabe; auf das Verfahren finden die Bestimmungen der Abgabenverfahrensgesetze Anwendung. (1067 BlgNR 17. GP ). Die Entrichtung der Spielbankabgabe erfolgt durch Selbstberechnung und ist am 15. des der Spieleinnahme folgenden zweiten Kalendermonats fällig. Diese Abrechnung, die der Konzessionär zu diesem Zeitpunkt vorzulegen hat, gilt als Abgabenerklärung. Der Konzessionär hat bis zum 15. März des Folgejahres für das abgelaufene Kalenderjahr eine Steuererklärung abzugeben. (§ 29 GSpG; VwGH 6.4.2016, Ro 2016/16/0007; vgl. BFG 2.2.2015, RV/7103459/2012; BFG 8.11.2015, RV/7101099/2013).
Je nach Konzession, Lotterienkonzession gemäß § 14 GSpG oder Spielbankkonzession gemäß § 21 GSpG, hat der Konzessionär eine Konzessionsabgabe gemäß § 17 GSpG oder eine Spielbankabgabe gemäß § 28 GSpG zu entrichten. (Ehrke-Rabel in Doralt/Ruppe, Steuerrecht II7 Tz 1124). Beide Steuern knüpfen an den Abschluss bestimmter, entgeltlicher Spielverträge mit unternehmerischer Mitwirkung, besteuert werden Spielverträge gemäß § 1 Abs. 1 GSpG iVm § 2 Abs. 1 GSpG. Die Wortfolgen in § 17 Abs. 1 GSpG und § 21 iVm § 28 GSpG, dass der Konzessionär für die Überlassung des Rechts zur Durchführung der Glücksspiele eine Konzessionsabgabe zu entrichten hat, bzw. der (Spielbank)Konzessionär eine Spielbankabgabe zu entrichten hat, besagen nicht, dass diese beiden Steuern für den Erhalt der Konzession gezahlt werden, sondern dass diese beiden Steuern spezielle Ausprägungen der in den §§ 57 bis 59 GSpG geregelten allgemeinen Glücksspielabgabe sind. Wird eine Konzession gemäß § 14 GSpG erteilt, wird die allgemeine Glücksspielabgabe zur Konzessionsabgabe gemäß § 17 Abs. 1 GSpG, wird eine Konzession gemäß § 21 GSpG erteilt, wird die allgemeine Glücksspielabgabe zur Spielbankabgabe gemäß § 28 GSpG. Vom Steuergegenstand, besteuert werden Spielverträge gemäß § 1 Abs. 1 GSpG iVm § 2 Abs. 1 GSpG, also rechtserhebliche Vorgänge, können Konzessions- und Spielbankabgabe, sowie Glücksspielabgaben den Rechtsverkehrsteuern wie Rechtsgeschäftsgebühren, Stiftungseingangssteuer, Versicherungssteuer oder Grunderwerbsteuer zugerechnet werden. Analog zur Erbschafts- und Stiftungseingangssteuer kann man sagen, dass der Gesetzgeber auch in Bezug auf Rechtsgeschäftsgebühren gemäß § 33 TP 17 Abs. 1 Z 7 und 8 GebG aF und Glücksspielabgaben die größtmögliche Kontinuität im Auge hatte. (vgl. VwGH 30.1.2013, 2012/17/0055).
Bemessungsgrundlage bei den anderen Verkehrsteuern ist z.B. der Preis bei Bestandverträgen gemäß § 33 TP 5 GebG, oder beim Hoffnungskauf gemäß § 33 TP 17 Abs. 1 Z 2 GebG, der Wetteinsatz bei Glücksverträgen gemäß § 33 TP 17 Abs. 1 Z 1 GebG, das Entgelt bei Dienstbarkeiten gemäß § 33 TP 9 GebG oder Zessionen gemäß § 33 TP 21 GebG, das Versicherungsentgelt gemäß § 3 VersStG als jede Leistung, die für die Begründung und zur Durchführung des Versicherungsverhältnisses an den Versicherer zu bewirken ist und die Gegenleistung gemäß §§ 4 und 5 GrEStG, als Leistungen, die der Erwerber eines Grundstücks hingibt, um das Grundstück zu erhalten. Da der Stiftungseingangssteuer unentgeltliche Vorgänge zugrunde liegen, ist Bemessungsgrundlage der Wert der unentgeltlichen "Netto"zuwendung. Die Steuersätze bei den Rechtsgeschäftsgebühren betragen je nach Rechtsgeschäft zwischen 0,8% und 2%, bei der Versicherungssteuer zwischen (0,2%) 1% und 11% und bei der Grunderwerbsteuer höchstens 3,5%. Vergleicht man die Bemessungsgrundlagen von Konzessionsabgabe, Spielbankabgabe und Glücksspielabgaben gemäß §§ 57 bis 59 GSpG zeigt dies folgendes:
Grundsätzliche Bemessungsgrundlage ist/sind der Einsatz pro Spiel/die Einsätze eines Kalenderjahres:
Gemäß § 17 Abs. 2 Z 1 GSpG sind bei der Konzessionsabgabe Bemessungsgrundlage die Einsätze der Glücksspiele während eines Kalenderjahres für Lotto, Toto, und Zusatzspiel nach § 8 GSpG, der Tarif, die Steuersätze sind gestaffelt für die ersten 400 Millionen Euro 18,5%, darüber 27,5%, für Sofortlotterien 17,5%, für die Klassenlotterie 2%, für das Zahlenlotto 27,5%, für Nummernlotterien 17,5% und für Bingo und Keno 27,5%. Dazu kommt noch die Glücksspielabgabe nach § 57 Abs. 1 GSpG vom Einsatz 16%. (§ 17 Abs. 6 GSpG)
Die Jahresbruttospieleinnahmen (Legaldefinitionen § 17 Abs. 3 GSpG, § 28 GSpG, § 57 Abs. 5 GSpG, vor dem 1.1.2011 in § 33 TP 17 Abs. 1 Z 8 GebG und § 4 Abs. 5, 3. und 4. Satz UStG 1972, Glücksspielautomaten), sind Bemessungsgrundlage:
- bei Ausspielungen über elektronischen Lotterien gemäß § 12a GSpG bei Berechnung der Konzessionsabgabe gemäß § 17 Abs. 3 Z 7 GSpG, in § 17 Abs. 2 GSpG werden die Jahresbruttospieleinnahmen als die im Kalenderjahr dem Konzessionär zugekommenen Einsätze abzüglich der ausgezahlten Gewinne bezeichnet, davon 40%, dafür Befreiung von der Glücksspielabgabe gemäß § 57 Abs. 2 letzter Satz GSpG (Vermeidung der Doppelbesteuerung).
- Gemäß § 28 Abs. 2 GSpG wird die Bemessungsgrundlage für die Spielbankabgabe aus den Jahresbruttospieleinnahmen eines jeden Spielbankbetriebes gebildet, werden Ausspielungen über Glücksspielautomaten durchgeführt, wird von den Jahresbruttospieleinnahmen aus Glücksspielautomaten eines jeden Spielbankbetriebes die gesetzliche Umsatzsteuer abgezogen. Die Jahresbruttospieleinnahmen beziehen sich auf das Kalenderjahr und setzen sich zusammen aus:
+ Spieleinsätzen der Spielteilnehmer, die der Spielbank zugekommen sind
+ Vergütungen, die von den Spielteilnehmern für die Überlassung von Spieleinrichtungen an die Spielbank geleistet wurden
abzüglich Gewinne, die von der Spielbank (an die Spielteilnehmer) ausgezahlt wurden und Sonderjetons.
- Die Glücksspielabgaben gemäß § 57 Abs. 2 GSpG für Glücksverträge über Elektronische Lotterien iSd § 12a GSpG betragen 40% der Jahresbruttospieleinnahmen. Um eine Doppelbesteuerung mit der Konzessionsabgabepflicht gemäß § 17 Abs. 3 GSpG zu vermeiden, wurden diese konzessionsabgabepflichtigen Ausspielungen von der Glücksspielabgabe befreit. Die Glücksspielabgabe gemäß § 57 Abs. 3 GSpG für Ausspielungen mit Glücksspielautomaten und für elektronische Lotterien über Video-Lotterie-Terminals wird ebenfalls von der Bemessungsgrundlage der um die gesetzliche Umsatzsteuer verminderten Jahresbruttospieleinnahmen von einem Steuersatz von 30% berechnet. Gemäß § 57 Abs. 5 GSpG sind die Jahresbruttospieleinnahmen die Einsätze abzüglich der ausgezahlten Gewinne eines Kalenderjahres.
Hinsichtlich Regelungen der Bemessungsgrundlage und des Steuersatzes unterscheiden sich Konzessions- und Spielbankabgabe und Glücksspielabgaben nicht von den anderen Verkehrsteuern. Die Jahresbruttospieleinnahmen sind ein "glückspielgesetzeigentümlicher" betrieblicher Begriff (VwGH 17.1.1968, 0897/67), ihm ist zu entnehmen, dass sie den Spieleinsatz, als Preis für die Hoffnung auf eine Gewinnchance als vorgelagerten Sachverhalt hat. ("loses Synallagma", Bresich/Klingenbrunner/Posch in Strejcek/Bresich, GSpG 19892 zu § 2, RZ 9). Aus dieser systembezogenen Sicht ist im Begriff der Jahresbruttospieleinnahmen trotz Saldierung eine eindeutige Drift zum rechtsverkehrsteuerlichen Entgelt-, Preis- oder Gegenleistungsbegriff festzustellen (§ 304 ABGB iVm § 1270 ABGB; EuGH 17.10.2002, C-339/99 (ESTAG), EuGH 17.20.2002, C-138/00 (Solida, Tech Gate); VwGH 14.11.1974, 256/74; VwGH 23.1.1976, 731/74, VwGH 14.3.1980, 2080/79, VwGH 19.3.1990, 89/15/0085VwGH 20.1.2000, 95/15/0015; VwGH 28.6.2007, 2007/16/0028; VwGH 29.9.2010, 2009/16/0054 ua., UFS 19.3.2009, RV/1548-W/08; UFS 20.2.2009, RV/0947-W/08; UFS 20.11.2013, RV/2388-W/2013; Klang in Klang, ABGB II2, 45ff; Klang, ABGB IV/12, 3ff; Schwimann, ABGB3 [2006] § 1055 ABGB, Rz 1 Rz 5; Larenz, Methodenlehre, 430; o.V., Der Entgeltsbegriff beim Spiel mit Gewinnmöglichkeit, FJ 1988, 101; Fellner, Grunderwerbsteuer, § 5 Abs. 1 Z 1 GrEStG, Rz 63, Rz 37) und einbeziehen, dass die § 28 GSpG, § 17 Abs. 3 GSpG, § 57 Abs. 5 GSpG, vor dem 1.1.2011 in § 33 TP 17 Abs. 1 Z 8 GebG und § 4 Abs. 5, 3. und 4. Satz UStG 1972 bei ihren Legaldefinitionen von dem Modul der Spiel- bzw. Wetteinsätze ausgehen. (z.B. UFS 5.4.2013, RV/1194-W/12; UFS 5.4.2013, RV/1194-W/12; UFS 26.8.2013, RV/1509-W/13; UFS 20.11.2013, RV/2388-W/13; BFG 8.11.2015, RV/7101099/2013; BFG 28.06.2017, RV/7104383/2015; BFG 21.08.2017, RV/7100702/2016).
Die Steuersätze sind 16% bzw. zwischen 30% und 40%. Bresich/Klingenbrunner/Posch in Strejcek/Bresich, GSpG 19892 § 57, Rz 1 Rz 2 und Rz 5 kommentieren die Unterschiede so: "….Die Glücksspielabgabe ist eine allgemeine Abgabe auf Ausspielungen, deren Höhe je nach Ausspielungsform unterschiedlich hoch bemessen ist. In Zusammenschau mit anderen im GSpG normierten Abgaben (Konzessionsabgabe, Spielbankabgabe) und den in § 13a Finanzausgleichgesetz vorgesehenen Zuschlagsabgaben der Länder im Hinblick auf Glücksspielautomaten nach § 5 GSpG und VLT gemäß § 12a GSpG ergeben sich somit auch unterschiedlich hohe Gesamtabgabensätze in Bezug auf die verschiedenen Ausspielungsformen." Wenn § 57 Abs. 3 GSpG bestimmt, dass Ausspielungen mit Glücksspielautomaten und für elektronische Lotterien über Video-Lotterie-Terminals mit 30% der um die gesetzliche Umsatzsteuer verminderten Jahresbruttospieleinnahmen zu besteuern sind, und demgegenüber der Konzessionär gemäß § 14 GSpG zwar lediglich 25% Glücksspielabgabe zu zahlen hat, liegt darin keine Ungleichbehandlung, da die Glücksspielabgabenpflicht für Ausspielungen über Glücksspielautomaten und Video-Lotterie-Terminals mit der steuerlichen Belastung des Spielbankkonzessionärs in Höhe von 30% gleichgestellt wurde. (657 BlgNR 24. GP ; oA., GSpG-Novellen - steuerliche Änderungen ab 2011, ÖStZ 2010/702, 357). Abgesehen davon ist es nach den Beschlüssen VfGH 19.2.2015, E 49/2015 und VfGH 11.6.2015, E 564/2015 nicht unsachlich, wenn der Gesetzgeber in § 57 Abs. 3 und 4 GSpG für den Betrieb von Video-Lotterie-Terminals, für die eine Konzession nach § 14 GSpG besteht, und solchen, die ohne Konzession betrieben werden, die Glücksspielabgabe unterschiedlich regelt.
Die Steuersätze der Glücksspielabgabe gemäß § 57 Abs. 1 GSpG und der Konzessionsabgabe gemäß § 17 Abs. 3 Z 1 bis 6 GSpG (ohne elektronische Lotterien) sind ebenfalls gar nicht so unterschiedlich, wie sie sich im ersten Moment darstellen. Bei der Konzessionsabgabe gemäß § 17 Abs. 3 Z 1 bis 6 GSpG (ohne elektronische Lotterien) ergibt sich ein durchschnittlicher Steuersatz von 19,16% von der Summe der Einsätze eines Kalenderjahres: In § 17 Abs. 3 Z 1 GSpG ist für Lotto, Toto und Zusatzspiel ein Staffeltarif vorgesehen, für die ersten 400,000.000 Einsätze 18,5% für alle weiteren Beträge 27,5%. (400,000.000x18,5% = 74,000.000; 400,000.000x27,5% = 110.000.000 -> 800,000.000:100%=184,000.000:x; x= 23%, d.i. der ungefähre Durchschnittssteuersatz für den Staffeltarif). Der Durchschnittssteuersatz für die Spiele in Z 1 bis Z 6 wäre somit 19,16%, dazu kommen noch die Glücksspielabgaben von 16% = 35,16%, aber dafür zahlt der Konzessionär gemäß § 14 GSpG für die Ausspielungen über Glücksspielautomaten und Video-Lotterie-Terminals gemäß § 57 Abs. 4 GSpG nur 25% + Finanzierungsbeitrag gemäß § 1 Abs. 4 GSpG und nicht 30%.
Steuertheoretisch sind die Befreiungsvorschriften in ihrer Struktur den steuerrechtlichen Tatbeständen völlig gleich, sie scheiden die erfassten Sachverhalte vom Geltungsbereich des Gesetzes wieder aus (Stoll, Steuerschuldverhältnis, 86-87). Das heißt, dass die "Spielverträge", die von den Konzessionären gemäß § 14 GSpG und § 21 GSpG abgeschlossen werden, grundsätzlich der "allgemeinen" Glücksspielabgabe gemäß §§ 57 ff GSpG unterliegen, durch die Befreiungen gemäß § 57 Abs. 2 letzter Satz GSpG, § 57 Abs. 4 GSpG iVm § 13a FAG und § 57 Abs. 6 GSpG scheiden sie aus dem Geltungsbereich des § 57 GSpG grundsätzlich wieder aus, da sie "besonderen" Glücksspielabgaben unterliegen und eine Doppelbesteuerung mit Glücksspielabgaben vermieden werden soll. § 57 Abs. 2 letzter Satz GSpG, § 57 Abs. 4 GSpG iVm § 13a FAG und § 57 Abs. 6 GSpG, - letztere Vorschrift insbesondere aufgrund der historischen Interpretation - haben in etwa dieselbe Funktionsweise wie § 15 Abs. 3 GebG, der eine Verkehrsteuernkumulierung, dh eine Doppel- oder Mehrfachbesteuerung identer Rechtsvorgänge vermeiden soll. Die Befreiungsvorschriften geben daher die Sicht frei, dass grundsätzlich keine Unterschiede in der Abgabenbelastung zwischen den "allgemeinen Glücksspielabgaben" gemäß §§ 57 bis 59 GSpG einerseits und den "besonderen Glücksspielabgaben", nämlich der Konzessionsabgabe gemäß § 17 GSpG und der Spielbankabgabe gemäß § 28 GSpG andererseits besteht. Die Differenz der Steuersätze für Glücksspiele von 16% vom Einsatz und der Steuersätze für elektronische Lotterien iSd § 12a GSpG (Onlineglücksspiel) von 40% der Jahresbruttospieleinnahmen bzw. für Glücksspiele über Glücksspielautomaten bzw. Video-Lotterie-Terminals von 30% von den Jahresbruttospieleinnahmen abzüglich Umsatzsteuer ergibt sich daraus, dass Bemessungsgrundlage der Konzessionsabgabe gemäß § 17 Abs. 3 Z 1 bis 6 GSpG und gemäß § 57 Abs. 1 GSpG der - unsaldierte - Einsatz des Spielteilnehmers ist, d.h. die Gegenleistung des Spielteilnehmers ist, die er für die Hoffnung auf eine Gewinnchance hingibt, während die Jahresbruttospieleinnahmen die Einsätze der Spielteilnehmer abzüglich die ausgeschütteten Gewinne, als der Differenzbetrag Einsätze abzüglich Gewinne, darstellen, d.h. was übrig bleibt, wird mit dem Steuersatz von 30% bzw. 40% versteuert.
Die Konzessions- und Spielbankabgabe enthalten keine Bewertungsvorschriften wie z.B. auch das Versicherungs- und Feuerschutzsteuergesetz; anders als § 26 GebG oder § 6 GrEStG.
Bei den Rechtsgeschäftsgebühren ist die Selbstberechnung iSd § 201 BAO grundsätzlich gestattet (§ 3 Abs. 4 und 4a GebG), in den Fällen der Bestandvertragsgebühr (§ 33 TP 5 Abs. 5 GebG), der Wettgebühr (§ 33 TP 17 Abs. 3 GebG) und der Wechselgebühr (§ 33 TP 22 Abs. 6 GebG) angeordnet, bei der Versicherungs- und Feuerschutzsteuer (§ 8 VersStG, § 6 FeuerschutzStG) ist die Selbstberechnung iSd §§ 201 bzw. 202 BAO angeordnet, ebenso bei der Stiftungseingangssteuer (§ 3 StiftEG), bei der Grunderwerbsteuer gestattet (§ 11, § 13 GrEStG). Sowohl der Konzessionär gemäß § 14 GSpG, als auch der Konzessionär gemäß § 21 GSpG hat die Konzessions- bzw. Spielbankabgabe selbst zu berechnen und termingerecht an das Finanzamt abzuführen. Der Verwaltungsgerichtshof hat im Erkenntnis VwGH 6.4.2016, Ro 2016/16/0007 bestätigt, dass es sich bei der Spielbankabgabe um eine nach § 28 GSpG zu berechnende Selbstberechnungsabgabe handelt, deren Selbstberechnung inhaltlich in § 28 Abs. 2 GSpG, deren Erklärung in § 29 Abs. 2 GSpG und deren Fälligkeit wiederum in § 29 Abs. 1 GSpG klar geregelt ist. Damit handelt es sich bei der Konzessions- bzw. Spielbankabgabe wie bei den Glücksspielabgaben gemäß §§ 57 bis 59 GSpG um "angeordnete" Selbstberechnungsabgaben gemäß § 201 BAO. Bezüglich der Entrichtung besteht zwischen Konzessions- und Spielbankabgabe und Glücksspielabgaben nur der Unterschied, dass bei der Konzessions- und Spielbankabgabe die Abrechnung als Abgabenerklärung und bei den Glücksspielabgaben die Abrechnung als Anzeige gilt. Das hat zur Folge, dass bei der Anzeige keine Berichtigung gemäß § 293b BAO möglich ist. (vgl. UFS 8.4.2013, RV/1640-W/09, RV/1645-W/09-bestätigt durch VwGH 19.6.2013, 2013/16/0112). Insbesondere bestehen Ähnlichkeiten zwischen der Entrichtung der Konzessions- und Spielbankabgabe und der Versicherungs- und Feuerschutzsteuer. Der Vergleich eignet sich auch deshalb, weil bürgerlichrechtlich Versicherungsverträge zu den Glücksverträgen zählen, auch wenn sie sich durch den spezifischen Leistungsgegenstand der Risikotragung abheben. (UFS 11.7.2013, RV/536-W/09, RV/538-W/09; § 1288 ABGB; Binder in Schwimann, ABGB3 V, § 1269, Rz 2; Stefula in Klang, ABGB3, § 1269 Rz 2). Auch der Verwaltungsgerichtshof wählte diesen Vergleich, laut VwGH 17.09.2001, 2001/17/0071 knüpft die Spielbankabgabe aus verwaltungstechnischen Gründen an die Jahresbruttospieleinnahmen an, wie bei Versicherungsunternehmen an die nach dem Versicherungsaufsichtsgesetz zu erstellende Gewinn- und Verlustrechnung angeknüpft wurde. Die von Judikatur und Literatur unbestrittenermaßen als Verkehrsteuer eingestufte Versicherungssteuer wird von der Versicherungsunternehmung ebenfalls monatlich abgerechnet und an das Finanzamt abgeführt, und über das vergangene Jahr ist eine Jahressteuererklärung abzugeben. (BFG 8.11.2015, RV/7101099/2013).
Im Fall der Rückabwicklung von Verträgen oder nachträglichen Herabsetzung des Entgeltes sehen weder die Konzessions- und Spielbankabgabe noch die Glücksspielabgaben gemäß § 57 bis 59 GSpG, aber auch die Rechtsgeschäftsgebühren gemäß § 17 Abs. 5 GebG keine Erstattungsvorschriften analog zu § 17 GrEStG oder dem § 9 VersStG bzw. § 7 FeuerschutzStG vor. Die Anwendung der "allgemeinen Korrekturvorschriften" des § 293 BAO, § 293b BAO (nur bei der Konzessions- und Spielbankabgabe, nicht bei den Glücksspielabgaben) § 295a BAO bzw. § 303 BAO iVm § 201 Abs. 2 Z 3 BAO bzw. § 201 Abs. 2 Z 5 BAO ist bei Vorliegen der Voraussetzungen möglich.
Zusammenfassend kann man sagen: Die Konzessions- und Spielbankabgabe weisen zwar einen Bezug zum Monopol über das Konzessionssystems auf, doch sind sie keine Monopoleinnahmen (Ehrke-Rabel in Doralt/Ruppe, Steuerrecht II7 Tz 3). Sowohl bei der Konzessionsabgabe, als auch bei der Spielbankabgabe handelt es sich, auch wenn diese Abgaben im Kontext mit der Konzessionserteilung stehen, um öffentliche Abgaben iSd Finanzverfassung, bei denen im Einzelfall ein Bezug zu einer bestimmten Verwaltungsaufwendung nicht herzustellen ist und demnach auch das Äquivalenzprinzip auszuschließen ist. (VwGH 3.10.1956, 1840/54; VwGH 27.2.1997, 97/16/0003; VwGH 21.01.1998, 97/16/0446 - zu den Rechtsgeschäftsgebühren; zum Begriff öffentliche Abgaben vgl. Fellner, Stempel- und Rechtsgebühren, Rz 111 zu § 14 TP 6 GebG unter Verweis auf VwGH 30.1.1970, Slg 4019/F, VwGH 21.2.1979, 1752/77; OGH 10.7.1996, 3 Ob 2/96, EvBl 1997/9). Es handelt sich bei beiden Abgaben um gemeinschaftliche Bundesabgaben gemäß § 8 Abs. 1 FAG. (Ehrke-Rabel in Doralt/Ruppe, Steuerrecht II7 Tz 3 und Tz 1124). Auch die feste Gebühr für Konzessionserteilungen gemäß § 59a GSpG (als lex specialis zu § 14 TP 2 GebG) ist eine Steuer für den Schriftverkehr zwischen Privaten und Behörden gemäß § 1 GebG, da die Gebühren nach dem Gebührengesetz 1957 und somit auch die festen Gebühren nach der ständigen Rechtsprechung der Höchstgerichte öffentliche Abgaben sind. (z.B. VfGH 15.12.1960, B 487/59; VfGH 1.3.1987, V 77/86, Vigh 30.4.2003, 2000/16/0086; BFG 8.11.2015, RV/7101099/2013; Fellner, Stempel- und Rechtsgebühren § 1 Rz 9).
Aus den verhältnismäßig kongruenten Besteuerungsgegenständen folgt diese abgabenrechtliche Ordnungsstruktur: Grundlage ist § 33 TP 17 GebG, der den Abschluss von Glücksverträgen iSd § 1267 ABGB mit einer Rechtsverkehrssteuer belegt. Zu den Glücksverträgen gehören auch Glücksverträge ieS, die soweit sie nicht im Glücksspielgesetz geregelt sind, nach wie vor nach jener Tarifpost besteuert werden (z.B. Wettverträge). Damit sind die Glücksspielabgaben einerseits eine lex specialis zu den Rechtsgeschäftsgebühren nach dem Gebührengesetz 1957, andererseits lex generalis im Hinblick auf die Konzessions- und Spielbankabgabe, da die letzteren beiden grundsätzlich den Abschluss bestimmter Glücksverträge besteuern und damit nur besondere, "auf die Konzessionäre gemäß § 14 GSpG, § 21 GSpG (und § 22 GSpG) zugeschnittene Glücksspielabgaben" iSv Rechtsverkehrsteuern sind.
Die Gleichartigkeit der "allgemeinen" und "besonderen" Glücksspielabgaben hat - wie gezeigt werden wird - in Bezug auf die Überlegungen zur Verfassungs- und Unionsrechtswidrigkeit Konsequenzen.
8.5.3.3. Der Nichtkonzessionär ist glücksspielabgabenrechtlich gegenüber dem Konzessionär nicht benachteiligt
Das Glücksspielmonopol ist nur ein Bereich, der im Glücksspielgesetz geregelt ist. Würde man gedanklich das Glücksspielmonopol = § 3 GSpG und das damit verbundene Bewilligungssystem "wegfallen lassen", würden die nicht mit dem Glücksspielmonopol zusammenhängenden gesetzlichen Bestimmungen bestehen bleiben, das wären z.B. § 1 Abs. 1 GSpG, § 1 Abs. 2 GSpG, § 2 GSpG mit Ausnahme § 2 Abs. 4 GSpG usw. alle Bestimmungen mit Legaldefinitionen und die Glücksspielabgaben gemäß § 57 GSpG bis § 59 GSpG. Wie auch der OGH 30.3.2016, 4 Ob 31/16m auf Seite 16 im pdf-Format feststellt, ist eine untrennbare Verbindung des § 3 GSpG "mit anderen Bestimmungen des Glücksspielrechtes nicht zwingend anzunehmen, weil sowohl die Spielerschutzvorschriften als auch die Regelungen über Glücksspielabgaben auch ohne Vorliegen eines Monopols und einer damit verbundenen Bewilligungspflicht anwendbar sein könnten."
Schließt man aus der Darstellung des Verwaltungsgerichtshofes 16.3.2016, Ro 2015/17/0022 Rn 75, 76 und Rn 113, dass sich das Monopol nicht auswirkt und auch ohne § 3 GSpG das Konzessionssystem bestehen bliebe, würde sich an der derzeitigen Besteuerungssituation nichts ändern. Aber selbst dann, wenn man nicht nur § 3 GSpG, sondern auch das Konzessionssystem wegdenkt, blieben die §§ 57-59 GSpG bestehen.
Zu Stempelgebühren gemäß § 59a GSpG, § 13a FAG und Befreiungsbestimmung des § 31a GSpG siehe die ausführliche Darstellung in BFG 10.6.2016, RV/7101758/2012, Punkt 7.4.3. Konzessions- und Spielbankabgabe und Glücksspielabgaben ohne § 3 GSpG.
Würde die Konzessionsabgabe gemäß § 17 GSpG wegfallen, da sie gewissermaßen auf § 3 "das Recht zur Durchführung von Glücksspielen" rekurriert, wäre der Lotterienkonzessionär für "Ausspielungen" mit 16% vom Einsatz glücksspielabgabenpflichtig, für das Onlineglücksspiel mit 40% von den Jahresbruttospieleinnahmen glücksspielabgabenpflichtig und für Ausspielungen über Glücksspielautomaten und Video-Lotterie-Terminals mit 30% von den Jahresbruttospieleinnahmen glücksspielabgabenpflichtig. Auf der anderen Seite stellt gemäß § 20 GSpG der Bund für Zwecke der besonderen Sportförderung nach den §§ 8 bis 10 des Bundes-Sportförderungsgesetzes, BGBl. 1970/2 idjgF jährlich einen Betrag von 80 Millionen Euro aus den Abgabenmitteln des Konzessionärs = Konzessionsabgabe gemäß § 17 GSpG, zur Verfügung. Da § 20 GSpG im Abschnitt "Übertragung bestimmter Lotterien" geregelt ist und an sie anknüpft, fiele diese Förderung weg. Ebenso fiele § 16 GSpG - Spielbedingungen und Vertrieb weg, der Betreiber von Lotterien wäre nicht mehr verpflichtet, vom Bundesminister für Finanzen zu bewilligende Spielbedingungen aufzustellen. Die Anforderungen an die Kapitalgesellschaft, in welcher Form der Lotterienkonzessionär betrieben wird, würden ebenfalls wegfallen.
Würde die Spielbankabgabe gemäß § 28 GSpG wegfallen, da sie gewissermaßen auf § 3 "das Recht zur Durchführung von Glücksspielen" rekurriert, wäre der Spielbankkonzessionär für "Ausspielungen" mit 16% vom Einsatz glücksspielabgabenpflichtig, er könnte auch Onlineglücksspiel betreiben und wäre dafür mit 40% von den Jahresbruttospieleinnahmen glücksspielabgabenpflichtig und für Ausspielungen über Glücksspielautomaten und Video-Lotterie-Terminals mit 30% von den Jahresbruttospieleinnahmen glücksspielabgabenpflichtig. Die Anforderungen an die Kapitalgesellschaft, in welcher Form der Spielbankkonzessionär betrieben wird, würden wegfallen, ebenso alle Anforderungen im ordnungspolitischen Bereich.
Umgekehrt würde sich an der Besteuerung mit Glücksspielabgaben gemäß § 57 bis 59 GSpG nichts ändern, die Anbieter von Kartenpokerspiel im Lebendspiel ohne Konzession in Pokersalons wie die Bf., blieben wie bisher mit 16% vom Einsatz/in Aussicht gestelltem Gewinn bei Turnieren glücksspielabgabenpflichtig, die Anbieter von Onlineglücksspiel ohne Konzession, würden wie bisher mit 40% von den Jahresbruttospieleinnahmen glücksspielabgabenpflichtig bleiben, die Anbieter von Ausspielungen über Glücksspielautomaten bzw. Video-Lotterie-Terminals ohne Konzession oder Bewilligung blieben ebenfalls wie bisher glücksspielabgabenpflichtig mit 30% von den die um die gesetzliche Umsatzsteuer verminderten Jahresbruttospieleinnahmen glücksspielabgabenpflichtig. Die Befreiungen der Konzessionäre von den Glücksspielabgaben würden inhaltsleer, da sich die bisherige Konzessions- bzw- Spielbankabgabenpflicht in die Glücksspielabgabenpflicht umgewandelt hätte. Das heißt, die Bf. bliebe mit den von ihr angebotenen Kartenpokerspielen mit 16% vom Einsatz/in Aussicht gestellten Gewinn bei Turnieren glücksspielabgabenpflichtig. Selbst dann, wenn man der Meinung wäre, die Übergangsbestimmungen des § 60 Abs. 36 GSpG lösten die Bf. aus dem ordnungspolitischen Teil, bliebe der abgabenrechtliche Teil in Form der Glücksspielabgaben gemäß §§ 57-59 GSpG für sie bestehen.
Entgegen der Ansicht der Bf. bedeutet das, dass die Konzessionäre und Bewilligungsinhaber gegenüber Nichtkonzessionären nicht steuerlich begünstigt sind. Das zeigt sich insbesondere, wenn man das Glücksspielmonopol samt Konzessionssystem "wegdenken" würde, dann würden statt Konzessions- und Spielbankabgabe Glücksspielabgaben in ungefähr gleicher Höhe anfallen. Einem allfälligen Mehr an Glücksspielabgaben stünde ein Wegfall der Anforderungen an die Kapitalgesellschaften iSd § 14 GSpG (z.B. eingezahltes Stamm- oder Grundkapital von mindestens 109 Millionen Euro) und § 21 GSpG (z.B. eingezahltes Stamm- oder Grundkapital von mindestens 22 Millionen Euro) gegenüber. An der Glücksspielabgabenpflicht der Bf. würde sich dadurch nichts ändern.
Da die Bf. eine steuerliche Ungleichbehandlung in Bezug zur Spielbankkonzessionärin geltend gemacht hat, sollen anhand einer Tabelle unter Einbeziehung der bis Mitte 2015 bestehenden Pokersalonkonzession gemäß § 22 GSpG die der Spielbankkonzessionärin gesetzlich auferlegten Kosten den von der Bf. zu tragenden Kosten gegenübergestellt werden:
| Spielbankenkonzession | 2011-2015: Pokersalonkonzession gemäß § 22 GSpG | bis 31.12.2019Gewerblicher Pokersalon gemäß § 60 Abs. 36 GSpG | |
Ordnungspolitischer Teil | ||||
Grund- und Stammkapital | 22,000.000 Euro gemäß § 21 Abs. 2 Z 3 GSpG | 5,000.000 Euro gemäß § 22 GSpG | 35.000 Euro gemäß § 6 Abs. 1 GmbHG oder70 000 Euro gemäß § 7 AktG | |
Finanzielle Auflagen gemäß § 21 Abs. 7 GSpG | 10% des Grundkapitals, ds 2,200.000, mindestens, sind zur Sicherung der Entrichtung der "Konzessionsabgabe und der Glücksspielabgaben" (sollte heißen der Spielbankabgabe)* zu leisten | Wären mindestens 10% des Grundkapitals, ds 500.000 zur Sicherung der Entrichtung der "Konzessionsabgabe und der Glücksspielabgaben" (sollte heißen der Spielbankabgabe)* gewesen. | Keine | |
Spielerschutz gemäß § 25 GSpG | Zu Responsible Gaming verpflichtet, nicht nur durch gesetzliche Vorgaben, sondern auch durch den Konzessionsbescheid. Kosten für spezielle Schulungen der Mitarbeiter. Ein Kostenfaktor sind auch die zu führenden Beratungs- und Informationsgespräche. | Zu Responsible Gaming verpflichtet, nicht nur durch gesetzliche Vorgaben, sondern auch durch den Konzessionsbescheid. Kosten für spezielle Schulungen der Mitarbeiter. Ein Kostenfaktor sind auch die zu führenden Beratungs- und Informationsgespräche | Keine derartige Verpflichtung | |
Kosten gemäß § 31 Abs. 1 GSpG (analog zu § 19 Abs. 1 GSpG) | Überwachung der Einhaltung des GSpG und des Konzessionsbescheides durch das BMfF …. Die Kosten der Überwachung trägt der Konzessionär; der BMfF hat den monatlichen Personal- und Sachaufwand für die Überwachung des Konzessionärs …. mit Bescheid zu bemessen und dem Konzessionär innerhalb von drei Monaten nach Ablauf jedes Kalenderjahres zur Zahlung innerhalb von 14 Tagen vorzuschreiben. | Überwachung der Einhaltung des GSpG und des Konzessionsbescheides durch das BMfF …. Die Kosten der Überwachung trägt der Konzessionär; der BMfF hat den monatlichen Personal- und Sachaufwand für die Überwachung des Konzessionärs …. mit Bescheid zu bemessen und dem Konzessionär innerhalb von drei Monaten nach Ablauf jedes Kalenderjahres zur Zahlung innerhalb von 14 Tagen vorzuschreiben | Keine derartige Verpflichtung | |
Bestimmungen zur Verhinderung der Geldwäsche und der Terrorismusfinanzierung, insbesondere § 31c GSpG, verpflichtende Risikoanalyse | Kostenfaktor | Kostenfaktor | Keine derartige Verpflichtung | |
Abgabenrechtlicher Teil | ||||
Eingabengebühr für Antrag auf Erteilung der Konzession/ Gewerbeberechtigung | 10.000 Euro gemäß § 59a Abs. 1 Z 1 GSpG | 10.000 Euro gemäß § 59a Abs. 1 Z 1 GSpG idF vor StRefG 2015/16 | Allenfalls 47,30 Euro gemäß § 14 TP 6 Abs. 2 GebG bis BGBl. I 2017/94, danach gemäß § 333a GewO gebührenfrei | |
Gebühr für amtliche Ausfertigung, für die Erteilung einer Konzession/ Gewerbeberechtigung | 100.000 Euro gemäß § 59a Abs. 1 Z 2 GSpG | 100.000 Euro gemäß § 59a Abs. 1 Z 2 GSpGidF vor StRefG 2015/16 | Allenfalls 83,60 Euro gemäß § 14 TP 2 GebG für Gewerbeberechtigung bis BGBl. I 2017/94, danach gemäß § 333a GewO gebührenfrei | |
Rechtsverkehrsteuern | Spielbankabgabe gemäß § 28 GSpG | Spielbankabgabe gemäß § 28 GSpG | Glücksspielabgaben gemäß § 57 Abs. 1 GSpG | |
Bemessungsgrundlagen | Jahresbruttospieleinnahmen: sind die im Kalenderjahr dem Spielbankbetrieb zugekommenen Spieleinsätze …. abzüglich der vom Spielbankbetrieb ausgezahlten Gewinne….. | Jahresbruttospieleinnahmen: sind die im Kalenderjahr dem Spielbankbetrieb zugekommenen Spieleinsätze …. abzüglich der vom Spielbankbetrieb ausgezahlten Gewinne….. | Einsatz, bei turnierförmiger Ausspielung treten …. an Stelle der Einsätze die in Aussicht gestellten …. (Gewinne ….) des Turniers. | |
Steuersatz | 30% | 30% | 16% | |
Abfuhr | Die Spielbankabgabe ist gemäß § 29 GSpG am 15. des der Spieleinnahme folgenden zweiten Kalendermonats fällig. Bis dahin hat der Konzessionär über die abzuführenden Beträge an Spielbankabgabe dem FAGVG eine nach Spielbanken und Spielarten gegliederte Abrechnung vorzulegen. Diese Abrechnung gilt als Abgabenerklärung. Der Konzessionär hat bis zum 15. März des Folgejahres für das abgelaufene Kalenderjahr eine Steuererklärung abzugeben, …. Diese Erklärung gilt als Jahresabgabenerklärung. | Die Spielbankabgabe ist gemäß § 29 GSpG am 15. des der Spieleinnahme folgenden zweiten Kalendermonats fällig. Bis dahin hat der Konzessionär über die abzuführenden Beträge an Spielbankabgabe dem FAGVG eine nach Spielbanken und Spielarten gegliederte Abrechnung vorzulegen. Diese Abrechnung gilt als Abgabenerklärung. Der Konzessionär hat bis zum 15. März des Folgejahres für das abgelaufene Kalenderjahr eine Steuererklärung abzugeben, …. Diese Erklärung gilt als Jahresabgabenerklärung. | Die Glücksspielabgabe ist gemäß § 59 Abs. 3 GSpG vom Abgabenschuldner jeweils für ein Kalendermonat selbst zu berechnen und bis zum 20. des Folgemonats (Fälligkeitstag) an das FAGVG zu entrichten und eine Abrechnung samt Unterlagen vorzulegen. Die Abrechnung gilt als Anzeige. | |
Finanzierungsbeitrag gemäß § 1 Abs. 4 GSpG für die Einrichtung einer Spielerschutzstelle | Zur Finanzierung der Arbeit dieser Stelle wird ein Finanzierungsbeitrag von 1 vT der jeweiligen Bemessungsgrundlage nach § 28 …. gemeinsam mit den jeweiligen Abgaben erhoben. In Höhe des Anteils von jährlich 180.000 bis 200.000 Euro, der in Relation zur Spielbankabgabe steht. | Zur Finanzierung der Arbeit dieser Stelle wird ein Finanzierungsbeitrag von 1 vT der jeweiligen Bemessungsgrundlage nach § 28 …. gemeinsam mit den jeweiligen Abgaben erhoben. | Keine | |
Befreiung von Landes- und Gemeindeabgaben für konzessioniertes Glücksspiel gemäß § 31a GSpG | Ja | Ja | Nein | |
Befreiung von Landes- und Gemeindeabgaben, die nicht im Zusammenhang mit konzessioniertem Glücksspiel stehen (z.B. Grund- u. Kommunal-steuer)** | Nein | Nein | Nein | |
Körperschaftssteuer | Ja | Ja | Ja | |
Umsatzsteuer | befreitgemäß § 6 Abs. 1 Z 9 lit.d aa) UStG | befreitgemäß § 6 Abs. 1 Z 9 lit.d aa) UStG | befreitgemäß § 6 Abs. 1 Z 9 lit.d aa) UStG | |
| | | | |
* Bresich/Klingenbrunner/Posch in Strejcek/Bresich [Hg.], GSpG 19892 § 21 Rz 19 unter Verweis auf RV 981 BlgNR 24. GP 147 zu BBG 2011 BGBl. I 2010/111: "In der Konzession wird schließlich nach § 21 Abs. 7 Z 2 geregelt, in welchem Ausmaß eine besondere kurzfristig realisierbare Sicherstellung seitens des Konzessionärs für seine finanziellen Verbindlichkeiten zu leisten ist. Sie beträgt unverändert mindestens 10% des eingezahlten Eigenkapitals."
** Beispiel aus Bresich/Klingenbrunner/Posch in Strejcek/Bresich [Hg.], GSpG 19892 § 31a Rz 4
Diese Aufstellung zeigt, dass die Spielbankkonzessionärin in einem Konzessionszeitraum einmalige Kosten von 110.000 Euro feste Gebühren gemäß § 59a GSpG, einmalige Kosten zur Sicherung der Spielbankabgabe in Höhe von mindestens 2,200.000 Euro zu leisten hat, sowie jedes Jahr einen jährlichen Finanzierungsbeitrag anteilig zur jährlichen Spielbankabgabe (möglicherweise von 180.000 bis 200.000 Euro jährlich die Hälfte). Diese Kosten fallen bei der Bf. nicht an (dzt. wäre die gewerberechtliche Bewilligung wahrscheinlich auch von den festen Gebühren nach § 333a GewO befreit).
Weiters hat die Spielbankkonzessionärin ein Grundkapital von 22,000.000 Euro aufzubringen, die Bf. jedoch nur von 35.000 (allenfalls 70.000) Euro.
Die Spielbankkonzessionärin trägt die Kosten der Überwachung auf die Einhaltung der Bestimmungen des GSpG und des Konzessionsbescheides gemäß § 31 Abs. 1 GSpG, die Bf. trifft ein derartiger finanzieller Aufwand nicht.
Ziffernmäßig nicht immer festzumachende Kosten hängen mit dem Responsible Gaming, das der Bf. durch § 25 GSpG und bescheidmäßig auferlegt ist, sowie mit den gesetzlichen Bestimmungen zur Verhinderung der Geldwäsche und Terrorismusfinanzierung, z.B. die verpflichtend durchzuführende Risikoanalyse (§ 31c GSpG), zusammen. Im Zusammenhang mit Spielerschutz hat die Spielbankkonzessionärin ihre Mitarbeiter speziell zu schulen, damit diese mit gefährdeten Spielteilnehmern Informations- und Beratungsgespräche führen können und allenfalls Kontakte zu Hilfsorganisationen aufnehmen können. Demgegenüber ist die Bf. zu einem derartigen Kostenaufwand weder durch § 25 GSpG, noch bescheidmäßig verpflichtet, sie hat z.B. im Hinblick auf Verhinderung der Geldwäsche und Terrorismusfinanzierung auch nicht verpflichtend eine Risikoanalyse durchzuführen.
Der Bf. wird entgegengehalten, dass sie von einer unrichtigen rechtlichen Darstellung des § 57 Abs. 6 GSpG ausgeht. § 57 Abs. 6 GSpG ist keine Bestimmung, die konzessionierte Spielbanken im Gegensatz zu nichtkonzessionierten Anbietern befreit, sondern eine Vorschrift zur Verhinderung der Kumulation von Spielbankabgabe und Glücksspielabgabe. Die konzessionierten Spielbanken unterliegen mit den von ihnen angebotenen Spielen, auch mit Kartenpokerspiel, der Spielbankabgabe. Gäbe es die Befreiung gemäß § 57 Abs. 6 GSpG nicht, unterlägen die Spielbanken mit den Glücksspielen sowohl der Spielbankabgabe gemäß § 28 GSpG, als auch der Glücksspielabgabe gemäß § 57 Abs. 1 und Abs. 3 GSpG.
Abgesehen davon hat der VfGH 8.6.2017, E 1330/2016, E 1756/2016 (BFG 13. Mai 2016, RV/7101232/2012 und BFG 10.6.2016, RV/7101758/2012) im Ablehnungsbeschluss festgestellt, dass die Glücksspielabgaben mit der Spielbankabgabe nicht verglichen werden können, weil die Spielbankkonzessionäre weitgehende Verpflichtungen, wie Spielerschutz, Geldwäscherichtlinien, Tragung der Kosten der staatlichen Aufsicht und Kontrolle gemäß § 31 GSpG treffen und sie neben der Spielbankabgabe einen Finanzierungsbeitrag gemäß § 1 Abs. 4 GSpG zu leisten haben. Der Verwaltungsgerichtshof hat in seinem Erkenntnis VwGH 19.10.2017, Ro 2015/16/0024 Rn 18-20 und Rn 28-33 ausführlich dargelegt, dass § 57 Abs. 6 Z 1 GSpG eine Doppelbesteuerungsvermeidungsvorschrift darstellt und darin keine unionsrechtsrelevante Beihilfe erblickt.
Insgesamt kann gesagt werden, dass glücksspielabgabenrechtlich einerseits der Nichtkonzessionär gegenüber dem Konzessionär nicht benachteiligt ist und andererseits die Glücksspielabgabe mit der Wortfolge "Ausspielungen, an denen dieTeilnahme vom Inland aus erfolgt", weder an die Staatsbürgerschaft noch an den Wohnsitz der spielvertragabschließenden Personen anknüpft, also keine Glückspielabgabeninländer- oder ausländereigenschaft kennt und In- und Ausländer gleich behandelt. (vgl. VwGH 9.9.2013, 2013/17/0217). Da sowohl konzessionierte, als auch nicht konzessionierte Unternehmungen einer Glückspielbesteuerung unterliegen, kann eine steuerliche Ungleichbehandlung nicht vorliegen. Eine steuerliche Ungleichbehandlung kann auch nicht darin liegen, dass diese Glücksspielabgabe für konzessionierte Spielbanken als besondere Glücksspielabgabe Spielbankabgabe heißt und nicht konzessionierte Unternehmungen mit den Glücksspielen der allgemeinen Glückspielabgabe unterliegen.
Aus der Sicht der Glücksspielabgaben gemäß §§ 57-59 GSpG ist auch nicht erkennbar, dass diese das Anbieten von Kartenpokerspielen außerhalb des konzessionierten Bereiches für einen Steuerausländer unattraktiver machen, als für einen Steuerinländer.
8.5.3.4. Erwägungen zum Vorbringen der Bf., dass die Glücksspielabgabe letztlich zwingend zur Insolvenz des Unternehmens führt
8.5.3.4.1. Urteil des EuGH in der Rechtssache Berlington Hungary (EuGH 11.6.2015, C-98/14 Berlington Hungary Tanacsado es Szolgaltato kft ua).
Die Bf. berief sich in den 29 Vorlageanträgen, datiert mit 31. März 2017, auf obgenanntes Urteil. Nach Ansicht der Bf. liege in ihrem Fall genauso ein Eingriff in die Grundrechte vor wie im Sachverhalt von EuGH 11.6.2015, C-98/14 Berlington Hungary Tanacsado es Szolgaltato kft ua. vor.
Bis zum 9. Oktober 2012 war in Ungarn der Betrieb von Geldspielautomaten in Spielcasinos oder Spielhallen durch allein zu diesem Zweck gegründete Handelsgesellschaften erlaubt. Auf die Geldspielautomaten in Spielhallen wurde eine pauschale Spielsteuer erhoben, für den Betrieb von Geldspielautomaten in Spielcasinos galt eine andere Steuerregelung. In den Jahren 2011/2012 gab es gesetzliche Änderungen. Mit dem Gesetz zur Stärkung der Haushaltsstabilität wurde einerseits die Pauschalsteuer auf Spielautomaten in Spielhallen um das Fünffache angehoben und für diese andererseits noch eine proportionale Steuer eingeführt. Anschließend wurde das ungarische Glücksspielgesetz geändert, dass nur noch Spielcasinos das Recht zum Betrieb von Geldspielautomaten haben und Genehmigungen zum Betrieb von Glücksspielautomaten in Spielhallen am Tag nach dem Inkrafttreten dieses Gesetzes erlöschen sollten.
Es wurden mehrere Fragen an den EuGH gestellt. Zur Besteuerung der Glücksspielautomaten in Spielhallen antwortete der EuGH folgendermaßen: Sollte das vorlegende Gericht feststellen, dass diese Steuererhöhung, ohne einen Übergangszeitraum vorzusehen, zur Folge hatte, den Betrieb von Geldspielautomaten auf Spielcasinos zu beschränken, für die diese Erhöhungen nicht galten, so kann das eine Beschränkung der mit Art. 56 AEUV gewährleisteten Dienstleistungsfreiheit darstellen. (EuGH 11.6.2015, C-98/14 Rn 41). Verfolgt die Beschränkung von Glücksspieltätigkeiten in erster Linie wirklich die Ziele, die sich auf den Schutz der Verbraucher vor Spielsucht und die Bekämpfung von Kriminalität und Betrug im Zusammenhang mit den Spielen, dann ist es nicht unionsrechtswidrig, wenn diese Beschränkung als Nebenfolge über die Erhöhung der Steuereinnahmen auch dem Haushalt des betreffenden Mitgliedstaat zugute kommt. (EuGH 11.6.2015, C-98/14 Rn 92).
Zum Erlöschen der Genehmigungen ohne Übergangszeitraum: nach der Rechtsprechung des EuGH kann ein Wirtschaftsteilnehmer nicht auf das völlige Ausbleiben von Gesetzesänderungen vertrauen, sondern er kann nur die Modalitäten der Durchführung einer solchen Änderung in Frage stellen. Der Grundsatz der Rechtssicherheit verlangt nicht, dass Gesetzesänderungen unterlassen werden. Der Grundsatz der Rechtssicherheit gebietet es allerdings, dass Rechtsvorschriften, mit denen Genehmigungen widerrufen werden, die ihren Inhabern die Ausübung einer wirtschaftlichen Tätigkeit ermöglichen, zu ihren Gunsten einen hinreichend langen Übergangszeitraum, damit sie sich darauf einstellen können oder eine angemessene Entschädigung, vorsehen müssen. Das muss das nationale Gericht prüfen. (EuGH 11.6.2015, C-98/14 Rn 77, 85).
Zum Vorbringen der Bf. ist zu sagen:
Entgegen der Ansicht der Bf. passt der Sachverhalt dieses Urteils nicht mit dem vorliegenden Sachverhalt zusammen. Bis 1.1.2011 war die Bemessungsgrundlage gemäß § 33 TP 17 Abs. 1 Z 7b GebG der Gewinn abzüglich des Einsatzes des Gewinners x25%, ab 1.1.2011 ist Bemessungsgrundlage der Einsatz x16% beim Cashgame bzw. der in Aussicht gestellte Gewinn x16% bei Turnierspielen. Von einer Verfünffachung einer Pauschalsteuer bzw. zusätzlichem Einführen von proportionalen Steuersätzen kann hier nicht die Rede sein. Die Bf. kann sich auch darin nicht beschwert erachten, dass keine Übergangsregelungen vorhanden seien. Hinsichtlich der Glücksspielabgabe gemäß § 57 GSpG gab es eine Übergangsfrist von ca. fünf Monaten, das BGBl. I 2010/54 wurde am 19.7.2010 kundgemacht, die Glücksspielabgaben gemäß §§ 57 ff GSpG traten mit 1.1.2011 in Kraft.
Wenn die Bf. vorbringt, sie sei schlechter gestellt als der Spielbankkonzessionär, ist ihr entgegenzuhalten, dass sie durch 16% Glücksspielabgabe nicht schlechter gestellt ist, als sie es durch die Spielbankabgabe mit 30% von den Jahresbruttospieleinnahmen der Spiele, die im Spielbankbetrieb gespielt werden, wäre, insbesondere auch im Hinblick darauf, dass die Spielbankkonzession gemäß § 21 Abs. 2 Z 3 GSpG nur einem Konzessionswerber erteilt darf, wenn die Kapitalgesellschaft über ein eingezahltes Stamm- oder Grundkapital von mindestens 22 Millionen Euro verfügt, diese Konzession auf 15 Jahre erteilt wird, die Obliegenheitspflichten gemäß § 25 Abs. 3 GSpG eingehalten werden, sowie dass der Spielbankkonzessionär gemäß § 59a GSpG den Antrag auf Konzessionserteilung mit 10.000 Euro und die Erteilung der Konzession mit 100.000 Euro vergebühren muss. Die Bf. hingegen ist, wie im vorigen Kapitel dargestellt, von diesen, insbesondere finanziellen Anforderungen - nicht betroffen.
So hat auch der Verwaltungsgerichtshof zu § 31a GSpG festgestellt, dass damit Doppelbelastungen nur "für die Konzessionäre" verhindert werden sollen. "Diese sind nämlich bereits den Konzessions- und Spielbankabgaben unterworfen, deren teils beträchtliche Höhe das Verbot von zusätzlichen Landes- und Gemeindeabgaben gerechtfertigt erscheinen lässt. Indessen trifft dies auf gewerberechtlich befugte Pokersalonbetreiber nicht zu, sodass deren unterschiedliche Behandlung keinen Bedenken begegnet." (VwGH 20.1.2016, 2013/17/0325).
8.5.3.4.2. Bezug der Entscheidungen des Europäischen Gerichtshofes für Menschenrechte (EGMR 14.5.2013, 66529/11 N.K.M. v. Hungary ua.) zu den Glücksspielabgaben
Die Bf. berief sich in den 18 Vorlageanträgen, datiert mit 5. August 2015 auf die obgenannten Entscheidungen und brachte vor, dass sich vor allem die Glücksspielabgabe nach den Einsätzen der Spielteilnehmer berechnet. Die Bf. sei an den Kartenspielen selbst aber nicht beteiligt. Sie hebe im Cashgamebereich nur eine Tischgebühr ein, die durchschnittlich 3 Euro pro gespieltem Pot ausmache und bei Turnierspielen verbleibe der Bf. lediglich ein einstelliger Prozentbetrag der gesamten Spieleinsätze als Gewinn. Eine Besteuerung, die als Bemessungsgrundlage den Spieleinsatz heranziehe, obwohl der durchschnittliche Gewinn im Turnierbereich unter 10% der Spieleinsätze liege, bewirke, dass die Steuer aus der Substanz des Unternehmens getragen werden müsste, was aber verfassungsrechtlich unzulässig wäre. Diese Einsatzbesteuerung führe letztlich zwingend zur Insolvenz des Unternehmens. Im Fall der Bf. greife die Besteuerung noch weit gravierender in Grundrechte ein, da es bei ihr um die Besteuerung von mehr als 400% des erzielten Umsatzes gehe.
In mehreren EGMR-Urteilen (EGMR 14.5.2013, 66529/11 N.K.M. v. Hungary, EGMR 25.6.2013, 49570/11 Gall v. Hungary; EGMR 2.7.2013, 41838/11 R.Sz v. Hungary) ging es um die plötzliche und zunächst auch rückwirkende Einführung einer besonderen Besteuerung von Abfertigungen und Abfindungen für Beamte. Bestimmte Bezugsteile wurden nicht mehr mit 16%, sondern mit 98% besteuert. Diese neue Besteuerung führte bei den Beschwerdeführern zu einer Besteuerung der Abfertigung in Höhe von insgesamt 52%. Dazu kam, dass hinsichtlich dieser Beamten, die diese besteuerten Abfertigungen erhielten, eine Entlassungswelle stattfand. Der EGMR stellte dazu fest, dass bei der Erhebung der Steuern den Staaten ein weiter Ermessensspielraum zukommt, weswegen für den Verhältnismäßigkeitsgrundsatz der geltende Steuersatz als solcher nicht entscheidend ist. (EGMR 14.5.2013, 66529/11 Rz 67). Den Verstoß im Hinblick auf die Verhältnismäßigkeit sah der EMGR darin, dass sämtliche sonstigen Einkünfte in Ungarn mit 16% besteuert werden, diese speziellen Abfindungen aber mit 52%, sowie, dass die unerwartete und rasche Abänderung des Steuerrechtes eine Vorbereitung der Betroffenen im Hinblick darauf, dass Abfertigungen eine Unterstützung für entlassene Arbeitnehmer bei der Suche eines neuen Arbeitsplatzes gewähren sollen, praktisch unmöglich machte.
Nach den Entscheidungen des EMGR ist für den Verhältnismäßgkeitsgrundsatz der geltende Steuersatz nicht entscheidend. Die Bf. kann sich daher nicht hinsichtlich der 16% vom Einsatz auf den Verhältnismäßigkeitsgrundsatz berufen. Wie bereits dargestellt, sind sowohl Konzessionäre und Bewilligungsinhaber nach mehreren Bestimmungen glücksspielabgabenpflichtig, ebenso wie die Bf. auch. Ebenso machte eine unerwartete und rasche Abänderung des Steuerrechtes eine Vorbereitung der Bf. nicht praktisch unmöglich. Wie aufgezeigt, konnte sich die Bf. im Jahr 2010 innerhalb von fünf Monaten auf die neue Rechtslage einstellen, abgesehen davon, dass mit der Tabelle unter Punkt 8.5.2.7. dargestellt wurde, dass im Fall der Bf. die Steuerlast durch § 57 Abs. 1 GSpG im Vergleich mit den Rechtsgeschäftsgebührenim Wesentlichen gleich blieb. Das war auch Intention der Regierungsvorlage, die Abgabenbelastung sollte gleich bleiben. (Glücksspielgesetz-Novelle 2008, BGBl. I 2010/54 vom 19.7.2010; RV 658 BlgNR 24. GP II. Besonderer Teil, Zu §§ 57 bis 59 GSpG; o. A., GSpG-Novellen - steuerliche Änderungen ab 2011, ÖStZ 2010/702, 356).
Zum Vorbringen der Bf. wird auf den Punkt 8.6. "Die Beschlüsse des Verfassungsgerichtshofes zu den Rechtsgeschäftsgeschäftsgebühren und Glücksspielabgaben", verwiesen, in welchen dieser immer wieder feststellte, dass grundsätzlich die rechtspolitische Freiheit des Gesetzgebers besteht, Instrumente des Abgabenrechts einzusetzen, um für unerwünscht erachtete Entwicklungen entgegenzusteuern, sowie, dass der Abgabepflichtige es in der Hand hat, Vorkehrungen für die Entrichtung der Abgabenschuld zu treffen. Zur Frage, ob eine Abgabe, die bewirkt, dass die Steuerbelastung überhaupt zum Versiegen der Steuerquelle führen soll und eines damit verbundenen Eingriffes in die verfassungsmäßig gewährleisteten Rechte auf Unversehrheit des Eigentums und Freiheit der Erwerbsausübung sprach der Verfassungsgerichtshof aus, dass die Ziesetzung, eine Zunahme von (dort:) Spielautomaten zu verhindern und ihre Zahl eher zu verringern, verfassungsrechtlich nicht zu beanstanden ist. Der VfGH hat dazu unter anderem ausgeführt: "Sollten damit potentielle Spieler wegen mangelnder Attraktivität vom Spielen abgehalten werden, liegt dies genau in der - verfassungsrechtlich nicht zu beanstandenden - Absicht des Gesetzgebers." (BFG 23.6.2016, RV/7102949/2014 unter Verweis auf VfGH 5.12.2011, B 533/11 und VwGH 27.4.2012, 2011/17/0114, 2011/17/0116; siehe auch VfGH 28.06.2007, B1895/06, sowie Beschlüsse VfGH 26.9.1995, B220/95; VfGH 28.2.2006, B 63/05; VfGH 21.9.2012, B 1357; VfGH 19.2.2015, E 49/2015 ua.; BFG 14.07.2016, RV/7100925/2012).
Der Verfassungsgerichtshof hat - unter anderem unter Bezugnahme auf diese zitierten EGMR-Entscheidungen - ausgesprochen, dass es dem Gesetzgeber auf Grund des ihm zukommenden rechtpolitischen Gestaltungsspielraumes unbenommen bleibt, die Rechtslage auch zu Lasten des Betroffenen zu verändern. Allerdings muss zur Vermeidung unsachlicher Ergebnisse die Gelegenheit gegeben werden, sich rechtzeitig auf die neue Rechtslage einzustellen. Weiters hat der Verfassungsgerichtshof einen schutzwürdigen Fall nur dann angenommen, wenn der Normunterworfene durch eine in Aussicht gestellte Begünstigung zu einem bestimmten Aufwand veranlasst werden sollte, der dann durch Wegfall der Begünstigung frustiert wird oder wegen Durchführung der geförderten Planungsmaßnahmen und Vorhaben nicht mehr rückgängig gemacht werden kann. (VfGH 9.12.2014, G 136/2014 ua.).
Analog zu VfGH 9.12.2014, G 136/2014 ua kann auch hier vom Bundesfinanzgericht nicht erkannt werden, dass vor dem 1.1.2011 eine Rechtslage vorlag, bei der der Gesetzgeber bestimmte Verhaltensweisen geradezu angeregt und gefördert und diese Unternehmungen damit zu Vertragsabschlüssen veranlasst hätte, deren betriebswirtschaftliche Folgen sich durch die - eigentliche Fortführung - der bisherigen Rechtsgeschäftsgebühren als "Glücksspielabgaben" als nachteilig erwiesen. Unter diesen Umständen liegt es im rechtspolitischen Ermessen des Gesetzgebers, die Rechtslage für die Zukunft anders und auch ungünstiger zu gestalten. Im Gegenteil, die Bf. bietet seit 2008 Kartenpokerspiel an. Das Kartenpokerspiel unterlag bis 31.12.2010 den Rechtsgeschäftsgebühren gemäß § 33 TP 17 GebG, ab 1.1.2011 den Glücksspielabgaben gemäß § 57 Abs. 1 GSpG. In der Tatsache, dass für das Kartenpokerspiel, unternehmerisch angeboten, bekanntermaßen (in den konkreten Fällen: seit 2008) einer Rechtsverkehrsbesteuerung unterliegt, kann weder ein Verstoß gegen die Verhältnismäßigkeit, noch ein Verstoß gegen den Vertrauensschutz bestehen.
Zur Frage der "Erdrosselungssteuer" des § 57 Abs. 1 GSpG bei Anbieten von Kartenpokerspielen führt BFG 7.6.2017, RV/3100267/2015 an: "Seitens der Bf wurde abschließend angedeutet, bei der derzeit gesetzlich vorzunehmenden Besteuerung "vom Einsatz" handle es sich grundlegend um eine unverhältnismäßige "Erdrosselungssteuer", die möglicherweise verfassungswidrig sei. Dem gilt zu erwidern, dass sich weder der Verwaltungsgerichtshof (zB im Erkenntnis vom 27.4.2012, 2011/17/0114) noch der Verfassungsgerichtshof (zB Beschluss vom 6.10.2010, B 1032/10) in Zusammenhang mit dem Vorbringen im Wesentlichen dahin, die Abgabenbemessung nach den Spieleinsätzen sei exzessiv, würde den Umsatz des veranstaltenden Unternehmens übersteigen und zu deren wirtschaftlichen Ruin führen, bislang veranlasst sahen, diesbezüglich ein Gesetzesprüfungsverfahren wegen verfassungsrechtlicher Bedenken einzuleiten (vgl. auch VwGH 20.1.2016, 2013/17/0325). So hat der VfGH ua. ausgeführt: "Durch eine derartige Regelung werde nicht die Ausübung eines ganzen Erwerbszweiges unmöglich gemacht. Zwar könnten - wie bei jeder Besteuerung - die Rentabilität von Pokerstätten herabgesetzt und Unternehmen in wirtschaftliche Schwierigkeiten gebracht werden, der Wesensgehalt der Grundrechte werde dadurch aber nicht berührt". Aus diesem Grund besteht aber für das BFG umso weniger die Veranlassung, eine allfällige Verfassungswidrigkeit der gesetzlichen Bestimmung in § 57 Abs. 1 GSpG anzunehmen."
Da somit in Bezug auf Veranstaltung von Kartenpokerspielen eine Rechtsprechung besteht, nach welcher wegen gegen § 57 Abs. 1 GSpG bis dato keine verfassungsrechtlichen Bedenken bestanden, sieht das Bundesfinanzgericht von einem Antrag auf Normprüfung ab.
8.5.4. Keine unterschiedliche Besteuerung von Poker im Lebendspiel und von Onlinepoker, da § 57 Abs. 1 GSpG die Grundnorm der Glücksspielbesteuerung ist.
Nach dem Vorbringen der Bf. ergäbe der Vergleich mit Online-Poker, dass Online-Poker günstiger besteuert werde, als Poker im Lebendspiel. Gemäß § 57 Abs. 2 GSpG sei für Online-Poker 40% des Tischgeldes als Abgabe zu entrichten. Daher werde Online-Poker - obwohl sein "Gefährdungspotential" sehr hoch eingeschätzt werde, - niedriger besteuert als Live-Poker.
§ 57 Abs. 2 GSpG verweist auf die Regelungen zur elektronischen Lotterie iSd § 12a GSpG. Jedes Spiel spielt sich in einem begrenzten Raum ab, durch den die Spielregel und der Spieltypus definiert werden (vgl. Huizinga, Homo Ludens, 17-19), das ist bei Kartenpokerspiel z.B. der Pokertisch. Da sich jedes Spiel in einem "Spielraum" abspielt, kann dieser Raum auch ein virtueller Raum sein, wie z. B. die Internettechnologie bei Onlinepokerspiel. (BFG 18.12.2014, RV/7103332/2011). Poker ist daher, wenn es über die entsprechende Telekommunikationstechnologie angeboten wird, eine Ausspielung über elektronische Medien und damit eine elektronische Lotterie.
Der Begriff "zentralseitig" rekurriert auf den Ort, an dem bei Einsatz von Technik das Spielergebnis erfolgt (elektronische Lotterie) oder auch nicht (Glücksspielapparat). Geregelt wird bloß eine eigene Art der Durchführung des Spiels, eine äußere Form, in der das Spiel abläuft, es wird aber kein neuer Vertragszustandekommenstypus erschaffen. Nach der historischen und teleologischen Auslegung des § 12a GSpG kann nicht entnommen werden, dass zentralseitige Herbeiführung des Ergebnisses den Inhalt hat, dass "ausschließlich ohne Mitwirkungsmöglichkeit durch den Spielteilnehmer über den Ausgang des Spiels bestimmt werde". Zentralseitigkeit des Spielergebnisses bedeutet daher, dass das Spielergebnis vorwiegend oder ausschließlich vom Zufall abhängt und im Wesentlichen über Internettechnologie zustande kam und zur Verfügung gestellt wurde, und nicht über eine elektronische oder mechanische Vorrichtung in einem Glücksspielapparat. (BFG 4.4.2018, RV/7104839/2017)
Intention des Glücksspiel- und Gebührengesetzgebers im Hinblick auf § 12a GSpG war nicht, das Lebendspiel von der Technik abzugrenzen, sondern eine Technik von der anderen Technik, nämlich den Glücksspielapparat, der selbst über das Ergebnis entscheidet, von der elektronischen Lotterie, bei der die Entscheidung irgendwo anders fällt. (Zur Abgrenzung: VwGH 19.7.2011, 2011/02/0127; VwGH 27.4.2012, 2011/02/0224; VwGH 15.3.2013, 2012/17/0256; VwGH 24.4.2014, 2012/02/0299). Es liegt kein Verstoß gegen verfassungsgesetzliche Vorschriften vor, wenn unterschiedliche Formen des Spiels unterschiedlich besteuert werden.
Abgesehen davon, geht die Bf. von einer unrichtigen Prämisse aus. Im Glücksspielgesetz ist keine unterschiedliche Besteuerung von Poker im Lebendspiel und von Onlinepoker vorgesehen, sondern § 57 Abs. 1 GSpG ist die Grundnorm für die Glücksspielbesteuerung. Gäbe es § 57 Abs. 2 GSpG nicht, würde automatisch auch Onlineglücksspiel unter § 57 Abs. 1 GSpG fallen. Würde § 57 Abs. 2 GSpG als verfassungswidrig aufgehoben, würde Onlineglücksspiel von § 57 Abs. 1 GSpG erfasst. § 57 Abs. 2 GSpG stellt nicht darauf ab, Onlineglücksspiel günstiger zu besteuern als Poker im Lebendspiel von nicht nach dem Glücksspielgesetz konzessioniertem Anbietern, sondern dient in erster Linie dazu Onlineglücksspiel von Automatenglücksspiel abzugrenzen.
Anlässlich der mündlichen Verhandlung vor dem Senat am 26. August 2019 wurden seitens der Bf. und des Finanzamtes zu diesem Thema keine über ihr bisheriges Vorbringen hinausgehende Stellungnahmen abgegeben.
8.5.5. Glücksspielabgaben fallen trotz Gewerbeberechtigung für "Pokerspieler im Lebendspiel ohne Bankhalter" an
Dazu wird die Bf. auf das obzitierte Erkenntnis Verwaltungsgerichtshof 19.10.2017, Ro 2015/16/0024 Rn 23 bis 26 verwiesen; weiters auch auf die Darstellungen in BFG 10.6.2016, RV/7101758/2012, BFG 25.9.2017, RV/7100907/2012, RV/7100908/2012 und BFG 4.4.2018, RV/7104839/2017: Der Verfassungsgerichtshof wies mit Beschluss VfGH 24.9.2018, G 203/2018 einen Individualantrag auf Aufhebung von Bestimmungen des Glücksspielgesetzes betreffend Pokerangebote auf Grundlage einer gewerberechtlichen Bewilligung zurück. Die Antragstellerin sah sich - unter Zitierung Verwaltungsgerichtshof 19.10.2017, Ro 2015/16/0024 - zu Unrecht der Glücksspielabgabe unterworfen, doch die Zurückweisung erfolgte, da sie einen unmittelbaren Eingriff in ihre Rechtssphäre nicht darlegte.
Anlässlich der mündlichen Verhandlung vor dem Senat am 26. August 2019 wurden seitens der Bf. und des Finanzamtes zu diesem Thema keine über ihr bisheriges Vorbringen hinausgehende Stellungnahmen abgegeben.
8.6. Die Beschlüsse des Verfassungsgerichtshofes zu den Rechtsgeschäftsgebühren und Glücksspielabgaben
Nach Art. 144 Abs. 2 B-VG kann der Verfassungsgerichtshof die Behandlung einer Beschwerde bis zur mündlichen Verhandlung durch Beschluss ablehnen, wenn sie keine hinreichende Aussicht auf Erfolg hat oder von der Entscheidung die Klärung einer verfassungsrechtlichen Frage nicht zu erwarten ist. Die Ablehnungsbeschlüsse gemäß § 144 Abs. 2 B-VG sind in dem Sinn keine Rechtsprechung des Verfassungsgerichtshofes zur Rechtmäßigkeit der Besteuerung mit Rechtsgeschäftsgebühren gemäß § 33 TP 17 Abs. 1 Z 7b GebG bzw Glücksspielabgaben. (Holoubek, Grundsätze des verfassungsgerichtlichen Verfahrens in Holoubek/Lang [Hrsg.] Das verfassungsgerichtliche Verfahren in Steuersachen, 1998, 26; Pöschl, Die Rechtskraft von Normprüfungserkenntnissen in Holoubek/Lang [Hrsg.], 124-125; Mayer/Muzak, B-VG5, 524, Punkt III.4.: Der Verwaltungsgerichtshof nimmt an, dass er im Fall eines Ablehnungsbeschlusses im weiteren Verfahren einen Antrag auf Normenkontrolle stellen kann).
Allerdings kann nach Pfau, Das Bundesfinanzgericht als Antragsteller im Normenprüfungsverfahren, ÖStZ 2014/566, 349 ein starkes Indiz für die verfassungsrechtliche Unbedenklichkeit darin liegen, dass der Verfassungsgerichtshof schon einmal die Behandlung einer Beschwerde nach Art. 144 B-VG, mit der ein vergleichbares Vorbringen erstattet wurde, mit inhaltlich begründetem Beschluss abgelehnt oder der Verwaltungsgerichtshof in einer vergleichbaren Rechtsfrage ein diesbezügliches Beschwerdevorbringen mit näherer inhaltlicher Begründung als nicht zur Normenprüfung durch den Verfassungsgerichtshof antragsbedürftig erachtet hat.
Gerade zu den Rechtsgeschäftsgebühren gemäß § 33 TP 17 Abs. 1 Z 7b GebG bzw Glücksspielabgaben gemäß § 57ff GSpG hat der Verfassungsgerichtshof etliche Ablehnungsbeschlüsse gefasst:
Zu § 33 TP 17 Abs. 1 Z 7b GebG idF vor 1.1.2011
Bereits 1994 vertrat das Finanzamt die Rechtsansicht, dass durch fortgeführt veranstaltete Kartenpokerspiele der Tatbestand des § 33 TP 17 Abs. 1 Z 7 GebG aF verwirklicht wurde, was durch die Berufungsentscheidung der früheren Rechtsmittelinstanz (Finanzlandesdirektion) bestätigt wurde. Der Verfassungsgerichtshof lehnte mit Beschluss VfGH 26.9.1995, B 220/95 die Behandlung der dagegen erhobenen Beschwerde ab.
"…. Vor dem Hintergrund der ständigen Rechtsprechung des Verfassungsgerichtshofes zu den geltend gemachten Grundrechten (vgl. etwa VfSlg. 11.942/1988, 12.165/1989) und angesichts der grundsätzlich bestehenden rechtspolitischen Freiheit des Gesetzgebers, Instrumente des Abgabenrechts einzusetzen, um für unerwünscht erachteten Entwicklungen gegenzusteuern (vgl. VfSlg. 9750/1983) lässt ihr Vorbringen die behaupteten Rechtsverletzungen …. als so wenig wahrscheinlich erkennen, dass sie …. keine hinreichende Aussicht auf Erfolg hat."
Der Verwaltungsgerichtshof hob mit Erkenntnis VwGH 18.12.1995, 95/16/0047 die (erste) Berufungsentscheidung wegen Rechtswidrigkeit infolge Verletzung von Verfahrensvorschriften auf. Mit Erkenntnis VwGH 20.8.1998, 97/16/0287 hob der Verwaltungsgerichtshof die (zweite) Berufungsentscheidung ebenfalls wegen Rechtswidrigkeit infolge von Verletzung von Verfahrensvorschriften auf. In der (dritten) Entscheidung UFS 13.12.2004, RV/0421-W/02, kam der UFS zu dem Ergebnis, dass das Kartenpokerspiel (Seven Card Stud Poker) infolge seiner Glücksspieleigenschaft der Rechtsgebühr unterliegt. Der Verfassungsgerichtshof lehnte mit Beschluss VfGH 28.2.2006, B 63/05 die Behandlung der dagegen erhobenen Beschwerde ab:
"Die vorliegende Beschwerde entspricht in allen hier wesentlichen Belangen der zu B 220/95 protokollierten Beschwerde der … [Bf.] … gegen den im ersten Rechtsgang erlassenen Bescheid. Es genügt daher auf die Begründung der diesbezüglichen Entscheidung des Verfassungsgerichtshofes …. zu verweisen. Ergänzend wird bemerkt, dass …. aus dem Hinweis auf die Gebührengesetz-Novelle BGBl. 1996/797 für die behauptete Gleichheitswidrigkeit der im vorliegenden Fall maßgeblichen Rechtslage (Gebührenfestsetzung für den Zeitraum von 1. Jänner bis 31. Juli 1994) von vorneherein nichts zu gewinnen ist…."
Das Bundesfinanzgericht BFG 10.10.2014, RV/3100566/2012 und BFG 13.10.2014, RV/3100567/2012 entschied, dass das Kartenpokerspiel in der Variante Texas Hold'em und Omaha Hold'em wegen seiner vorwiegenden Zufallsabhängigkeit sowohl als Cashgame als auch in Turnierform der Rechtsgeschäftsgebühr gemäß § 33 TP 17 Abs. 1 Z 7 lit. b GebG idF vor dem 1.1.2011 unterliegt. Die Behandlung der dagegen erhobenen Beschwerden lehnte der Verfassungsgerichtshof VfGH 10.12.2014, E 1787/2014, E 1788/2014 ab, da die Vorschreibung einer Gebühr in Höhe von 25% des versprochenen Gewinns eines von einem Veranstalter angebotenen oder organisierten Glücksspiels weder unverhältnismäßig noch unsachlich sei und im rechtspolitischen Gestaltungsspielraum des Gesetzgebers liege. (vgl. BFG 10.06.2016, RV/7101758/2012).
Zu gleichzeitige Geltung von § 33 TP 17 Abs. 1 Z 7b GebG und § 1 Abs. 2 GSpG ("Poker") 19.7.2010 bis 31.12.2010
Mit Berufungsentscheidung UFS 7.10.2011, RV/0743-W/11 ging es um die Rechtsgeschäftsgebührenpflicht eines Kartenpokerturniers in der zweiten Jahreshälfte 2010. (§ 1 GSpG idF BGBl. I 2010/54 war bereits in Geltung). Mit Beschluss VfGH 21.9.2012, B 1357 lehnte der Verfassungsgerichtshof die Behandlung der Beschwerde mit folgender Begründung ab:
Der Beschwerde ist "….zu entgegnen, dass die Frage, ob mit der GSpG-Novelle 2008, BGBl. I 54/2010, eine verfassungswidrige Ausweitung des Glücksspielmonopols erfolgt ist, für die Lösung des vorliegenden Falles ohne Bedeutung ist, weil § 33 TP 17 GebG (in der Fassung vor dem 1. Jänner 2011) - gestützt auf die Abgabeneinhebungskompetenz des Bundes gemäß § 6 F-VG 1948 - lediglich an die in § 1 GSpG genannten Glücksspiele - unabhängig von deren monopolrechtlichen Konsequenzen - anknüpft. Gleiches gilt für die Frage, ob durch diese Novelle ein verfassungswidriger Eingriff in geschützte Rechtspositionen erfolgte, da die beschwerdeführende Gesellschaft die strittige Veranstaltung auch im Hinblick auf die - mit hg. Erkenntnis vom 30. Juni 2012, G 51/11, zum Teil aufgehobene Übergangsvorschrift des § 60 Abs. 24 GSpG rechtmäßig durchführen konnte. In der Abgabeneinhebung ist auch kein Eingriff in verfassungsgesetzlich geschützte Rechte zu erkennen, weil es der Abgabenpflichtige in der Hand hat, die Vorkehrungen für die Entrichtung der Abgabenschuld zu treffen (vgl. dazu auch VwGH 28.3. 2011, 2011/17/0039 mwN). Dass der Begriff des Spiels "Poker" in verfassungswidriger Weise unbestimmt sei, kann der Verfassungsgerichtshof nicht erkennen…. "
Der VwGH 9.9.2013, 2012/16/0188 lehnte die Behandlung der (Sukzessiv-)Beschwerde ab.
Nach der Entscheidung BFG 18.12.2014, RV/7103332/2011 (anhängig zu Ro 2015/16/0024) erfüllte das Kartenpokerspiel die Voraussetzungen der von § 57 Abs. 1 GSpG geforderten "Ausspielung", das Anbieten der konkreten Spielmöglichkeiten in den Räumlichkeiten machte die Anbietende zum Unternehmer iSd § 2 Abs. 2 GSpG. Es bestünde dadurch keine Verfassungs- und Unionsrechtswidrigkeit der Glücksspielabgaben. Der Verfassungsgerichtshof lehnte die Behandlung der Beschwerde ab, da es grundsätzlich im rechtspolitischen Gestaltungsspielraum des Gesetzgebers liege, wenn er das Pokerspiel dem Regime des Glücksspielgesetzes unterwirft. Auch die Ausgestaltung der Glücksspielabgabe nach § 57 GSpG überschreite nicht den rechtspolitischen Gestaltungsspielraum des Gesetzgebers (VfGH 19.2.2015, E 293/2015).
Der Verfassungsgerichtshof lehnte mit Beschluss VfGH 11.6.2015, E 820/2015 die Behandlung der Beschwerde gegen die Entscheidung BFG 05.03.2015, RV/2100581/2012 ab, die die Glücksspielabgabenpflicht gemäß § 57 Abs. 1 GSpG des Kartenpokerspiel als Cashgame oder in Turnierform, sowie von Surrender als Black Jack-Variante bestätigte.
Mit Beschluss VfGH 8.6.2017, E 1330/2016, E 1756/2016 (BFG 13. Mai 2016, RV/7101232/2012 und BFG 10.6.2016, RV/7101758/2012) lehnte der Verfassungsgerichtshof die Behandlung der Beschwerden zur Glücksspielabgabenpflicht des Kartenpokerspiels aus folgenden Gründen ab:
- Die geltend gemachte Unionsrechtswidrigkeit und die daraus allenfalls folgende Gleichheitswidrigkeit ("Inländerdiskriminierung") der Glücksspielmonopolregelungen liegt nicht vor
- Dier Aufnahme von "Poker" in den Begriff des Glücksspiels gemäß § 1 Abs. 2 GSpG ist nicht gleichheitswidrig
- Die Glücksspielabgaben können mit der Spielbankabgabe nicht verglichen werden, weil die Spielbankkonzessionäre weitgehende Verpflichtungen, wie Spielerschutz, Geldwäscherichtlinien, Tragung der Kosten der staatlichen Aufsicht und Kontrolle gemäß § 31 GSpG treffen und sie neben der Spielbankabgabe einen Finanzierungsbeitrag gemäß § 1 Abs. 4 GSpG zu leisten haben.
- Die Regelungen der §§ 57ff GSpG verletzen auch nicht die Erwerbsausübungsfreiheit. Wenn der Steuergesetzgeber im öffentlichen Interesse liegende Ziele durch eine Erhöhung der Abgabenbelastung erreichen möchte und damit eine Verminderung der Rentabilität einhergehen kann, führt das nicht zu einem unzulässigen Eingriff in verfassungsrechtlich verbürgte Rechtspositionen.
In mehreren Ablehnungsbeschlüssen VfGH 26.2.2018, E 3452/2017 zu BFG 21.8.2017, RV/7101181/2013; VfGH 26.2.2018, E 3862/2017 zu BFG 25.09.2017, RV/7100907/2012 und VfGH 26.2.2018, E 3860/2017 zu BFG 25.09.2017, RV/7100908/2012 zur früheren Rechtsgeschäftsgebühren- und jetzigen Glücksspielabgabenpflicht für Kartenpokerspiel traf der Verfassungsgerichtshof folgende Aussagen:
- Keine Verletzung des Gleichheitsgrundsatzes, wenn Ausspielungen im Lebendspiel und solche in Form von Elektronischen Lotterien im Rahmen des rechtspolitischen Gestaltungsspielraumes einer unterschiedlich hohen Glücksspielabgabe unterworfen werden.
- Die §§ 57f GSpG verletzen nicht die Erwerbsausübungs- und Eigentumsfreiheit, wenn im öffentlichen Interesse liegende Ziele durch eine Erhöhung der Abgabenbelastung erreicht werden sollen. Dass damit eine Verminderung der Rentabilität für den Veranstalter von Ausspielungen einhergehen kann und einige Standorte nicht mehr wirtschaftlich betrieben werden können, führt nicht zu einem unzulässigen Eingriff.
Ein weiterer Ablehnungsbeschluss VfGH 12.6.2018, G 73/2018 wird im Beschluss des OGH 21.11.2018, 1Ob209/18v im Zusammenhang mit der Sicherstellung von Glücksspielabgaben zitiert: In der Begründung führte der Oberste Gerichtshof aus, dass die Klägerinnen bereits einen Antrag auf Aufhebung von Bestimmungen des Glücksspielgesetzes, insbesondere des Wortes "Poker" in § 1 Abs 2, der §§ 57 bis 59 und des § 60 Abs 36 GSpG an den Verfassungsgerichtshof gestellt hatten. Der Verfassungsgerichtshof lehnte mit Beschluss vom 12.6.2018, G 73/2018 die Behandlung des Antrags der Klägerinnen ab. Der Verfassungsgerichtshof führte insbesondere aus, entgegen der Auffassung der Klägerinnen handle es sich bei der Glücksspielabgabe nach § 57 GSpG um eine Abgabe im Sinn der Bundesabgabenordnung und nicht um eine (Geld-)Strafe. Die Glücksspielabgabe gemäß § 57 GSpG gelte für jeden, der - gleichgültig, ob legal oder illegal - Glücksspiele veranstalte, betreibe "oder Ähnliches". Es liege auch keine Gleichheitswidrigkeit der Regelungen über die Glücksspielabgabe gemäß den §§ 57 ff GSpG vor. Ein Vergleich mit der Konzessionsabgabe nach § 28 GSpG (bzw nach § 17 GSpG) scheide aus, weil den Regelungen - aus näher dargelegten Gründen - keine vergleichbaren Sachverhalte zugrunde lägen. Die Glücksspielabgabe habe auch nicht infolge des Abstellens auf den Umsatz eine Erdrosselungswirkung und verstoße daher nicht gegen Art 47 und 48 GRC. Der Abgabengesetzgeber sei, solange er nicht eine Erwerbstätigkeit vollkommen unterbinde, nicht verpflichtet, die Rentabilität der belasteten Tätigkeit zu garantieren.
Im Ablehnungsbeschluss VfGH 24.9.2018, E 4361/2017 zu BFG 19.10.2017, RV/7103493/2014 traf der Verfassungsgerichtshof folgende Aussagen: "Spezifisch verfassungsrechtliche Überlegungen sind zur Beurteilung der aufgeworfenen Fragen, insbesondere der Frage, ob das Bundesfinanzgericht zu Recht die Glücksspielabgabe gemäß § 57 GSpG für die in den Pokerspielsalons der bf. Gesellschaft abgehaltenen Pokerspiele vorgeschrieben hat, insoweit nicht anzustellen. Eine Rechtswidrigkeit der Bestimmungen über Glücksspielabgaben in den §§ 57 bis 59 GSpG ist vor dem Hintergrund der ständigen Rechtsprechung des Verfassungsgerichtshofes …. so wenig wahrscheinlich, dass eine Beschwerde keine hinreichende Aussicht auf Erfolg hat. Es liegt grundsätzlich im rechtspolitischen Gestaltungsspielraum des Gesetzgebers, wenn er das Pokerspiel dem Regime des Glücksspielgesetzes unterwirft …. . Auch die Ausgestaltung der Glücksspielabgabe überschreitet nicht den rechtspolitischen Gestaltungsspielraum des Gesetzgebers. …."
Zu § 57 Abs. 2 GSpG (wie ua. BFG 26.9.2016, RV/7100405/2012):
Im Jahr 2011 wandten sich einige Anbieter von Wetten und Glücksspiel im Internet mit einem Initiativantrag an den Verfassungsgerichtsgerichtshof auf Aufhebung der Wortfolge in § 57 GSpG "Ausspielungen, bei denen die Teilnahme vom Inland aus erfolgt". Der Verfassungsgerichtshof wies die Anträge mit Beschluss VfGH 30.11.2011, G-12-14/11 zurück, bzw. auf den Rechtsmittelweg. Der Verfassungsgerichtshof lehnte zB die Behandlung der Beschwerden betreffend Teilnahme vom Inland aus an Online-Glücksspielen iSd § 57 Abs. 2 GSpG ab (VfGH 21.11.2013, B 617/2013, B 1116/2013 - zu UFS 5.4.2013, RV/1194-W/12; UFS 26.8.2015, RV/1509-W/13; UFS 20.11.2013, RV/2388-W/13).
Das Erkenntnis des BFG 4.4.2018 erging zur Frage, ob die entsprechenden Wortfolgen in § 33 TP 17 Abs. 2 GebG (Wettgebühren) und § 57 Abs. 2 GSpG zur Teilnahme vom Inland aus verfassungswidrig sind, aber auch zur Glücksspielabgabenpflicht von Poker. Der Verfassungsgerichtshof lehnet die Behandlung der Beschwerde ab: Das Vorbringen, die Wortfolgen "Teilnahme an dem Rechtsgeschäft Wette vom Inland aus"…. seien verfassungswidrig, lässt vor dem Hintergrund der ständigen Rechtsprechung des Verfassungsgerichtshofes zur Zulässigkeit der Verwendung unbestimmter Gesetzesbegriffe …. die behauptete Rechtsverletzung, …. als so wenig wahrscheinlich erkennen, dass sie keine hinreichende Aussicht auf Erfolg hat. Dem steht auch nicht der Umstand entgegen, dass die Abgabe im Wege der Selbstbemessung zu entrichten ist. Soweit die Verfassungswidrigkeit der Bestimmungen über Glücksspielabgaben in den §§ 57 bis 59 Giücksspielgesetz behauptet wird, ist Folgendes anzumerken: Es liegt grundsätzlich im rechtspolitischen Gestaltungsspielraum des Gesetzgebers, wenn er das Pokerspiel dem Regime des Glücksspielgesetzes unterwirft….. Auch die Ausgestaltung der Glücksspielabgabe überschreitet nicht den rechtspolitischen Gestaltungsspielraum des Gesetzgebers. …. (VfGH 11.6.2019, E 2014/2018; aber auch VfGH 11.6.2019, E 1137/2018 zu BFG 16.02.2018, RV/7104387/2015; weitere Ablehnungsbeschlüsse VfGH 26.2.2018, E 2913/2017 zu BFG 28.06.2017, RV/7104383/2015; VfGH 26.2.2018, E 3389/2017 zu BFG 21.08.2017, RV/7100702/2016; VfGH 24.9.2018, E 2251/2017 zu BFG 8.5.2017, RV/7100024/2015)
Zu § 57 Abs. 3 und 4 GSpG (wie ua. BFG 26.9.2016, RV/7100405/2012):
Das Bundesfinanzgericht kam aus Sicht der im Glücksspielgesetz geregelten Steuern in den Entscheidungen BFG 21.11.2014, RS/7100015/2012 und BFG 2.2.2015, RV/7103459/2012 (beide abrufbar unter findok.bmf.gv.at ) zu dem Schluss, dass kein Zusammenhang der Glücksspielabgaben gemäß §§ 57 bis 59 GSpG mit § 3 GSpG (Glücksspielmonopol) besteht. Der Verfassungsgerichtshof nahm die dagegen erhobenen Beschwerden nicht in Behandlung. Nach diesen Beschlüssen des Verfassungsgerichtshofes ist es nicht unsachlich, wenn der Gesetzgeber in § 57 Abs 3 und 4 GSpG für den Betrieb von VLT, für die eine Konzession nach § 14 GSpG besteht, und solchen, die ohne Konzession betrieben werden, die Glücksspielabgabe unterschiedlich regelt (VfGH 19.2.2015, E 49/2015 zu BFG 21.11.2014, RS/7100015/2012; VfGH 11.6.2015, E 564/2015 zu BFG 2.2.2015, RV/7103459/2012). Bemerkt wird, das der Verwaltungsgerichtshof VwGH 30.6.2016, Ro 2015/16/0021 und Ro 2015/16/0013 die Revisionen gegen BFG 21.11.2014, RS/7100015/2012 und BFG 2.2.2015, RV/7103459/2012 zurückwies. In einem Fall des § 57 Abs. 3 GSpG betreffend Ausspielungen über nicht bewilligte Eingabeterminals, die sich mit einem konzessionierten Glücksspielautomaten in einem anderen Bundesland über Internet verbinden und die Teilnahme an der Ausspielung an dem geografischen Ort, von dem der Spielteilnehmer daran tatsächlich physisch teilnimmt, dh vom nicht bewilligten Eingabeterminal erfolgt, lehnte der Verfassungsgerichtshof mit Beschluss VfGH 8.6.2017, E 2416/2016 (BFG 26.9.2016, RV/7100405/2012) die Behandlung der Beschwerde ab, da die einschlägigen glücksspielrechtlichen Monopolregelungen und damit auch die §§ 57 ff GSpG nicht dem Unionsrecht widersprechen, weswegen von vornherein keine Gleichheitswidrigkeit infolge Inländerdiskriminierung vorliegt.
Zu § 58 Abs. 1 und 2 GSpG:
Im Erkenntnis BFG 18.02.2019, RV/7106017/2018 ging es darum, ob bei einer sonstigen Nummernlotterie (gemeinnützige Lotterie) Bemessungsgrundlage der Glücksspielabgabe gemäß § 58 Abs. 1 GSpG die tatsächlich erzielten Einsätze (die Summe der tatsächlich verkauften Lose) oder alle erzielbaren Einsätze (iSd Summe der aufgelegten Lose) sind. Der Verfassungsgerichtshof lehnte die Behandlung der Beschwerde ab: "…. Der Begriff der "erzielbaren Einsätze" in § 58 GSpG begegnet im Hinblick auf seine Bestimmtheit keinen verfassungsrechtlichen Bedenken. …. Es bestehen - schon vor dem Hintergrund des höheren Steuersatzes im Hinblick auf vom Konzessionär angebotene Lotterien gemäß § 57 GSpG und der vom Konzessionär zu leistenden Konzessionsabgabe gemäß § 17 GSpG - keine gleichheitsrechtlichen Bedenken ob der in § 58 GSpG vorgesehenen Bemessungsgrundlage zur Berechnung der ermäßigten Glücksspielabgabe …. Im Übrigen liegt es im rechtspolitischen Gestaltungsspielraum des Gesetzgebers im Abgabenrecht …. , wenn er für die Berechnung der ermäßigten Glücksspielabgabe alle "erzielbaren Einsätze" heranzieht." (Ablehnungsbeschluss: VfGH 11.6.2019, E 1231/2019 und auch VfGH 11.6.2019 -E 1736/2019 ua. zu BFG 29.03.2019, RV/3100364/2018, RV/3100364/2018; BFG 2.4.2019, RV/3100363/2018, BFG 3.4.2019, RV/3100949/2018).
Zu § 58 Abs. 3 GSpG:
Der Verfassungsgerichtshof entschied, dass die Bestimmung über eine Glücksspielabgabe auf Glücksspiele im Rahmen von Gewinnspielen (Preisausschreiben) ohne vermögenswerte Leistungen nicht gleichheitswidrig ist, und der festgelegte Besteuerungsgegenstand und der Steuersatz nicht unsachlich sind. (VfGH 12.12.2016, G 650/2015 ua). Für den vorliegenden Fall sind folgende Textstellen relevant:
"2.1.3. Gemäß § 58 Abs3 GSpG unterliegen "Glücksspiele im Rahmen von Gewinnspielen (Preisausschreiben) ohne vermögenswerte Leistung gemäß §2 Abs1 Z2 (Einsatz) einer Glücksspielabgabe von 5 vH der in Aussicht gestellten vermögenswerten Leistungen (Gewinn), wenn sich das Gewinnspiel (auch) an die inländische Öffentlichkeit richtet". Nach der angefochtenen Abgabenbestimmung genügt es sohin, dass das Preisausschreiben so ausgestaltet ist, dass dessen Ergebnis "ausschließlich oder vorwiegend vom Zufall abhängt" (§1 Abs1 GSpG). Eine (tatsächliche) aktive Teilnahme (Preisausschreibung) wird nicht verlangt.
Nach Auffassung des Verfassungsgerichtshofes ist im Lichte der geltend gemachten gleichheitsrechtlichen Bedenken nicht entscheidend, ob und inwieweit sich der Begriff des Glücksspiels gemäß §58 Abs3 GSpG mit jenem in §1 GSpG deckt; entscheidend ist vielmehr, ob der Gesetzgeber den Besteuerungsgegenstand und den Steuersatz gemäß §58 Abs3 GSpG in unsachlicher Weise festgelegt hat. Eine solche Unsachlichkeit kann der Verfassungsgerichtshof nicht finden:
Preisausschreiben iSd §58 Abs3 GSpG unterscheiden sich zwar von herkömmlichen Glücksspielen darin, dass sie ohne vermögenswerte Leistung des Teilnehmers erfolgen. Ungeachtet dessen bestehen Gemeinsamkeiten, weil auch Preisausschreiben den Charakter eines Spiels aufweisen und damit in einem weiten Sinn als Ausspielung betrachtet werden können (vgl. auch - den nicht mehr geltenden - §15 Abs1 Z6 ErbStG, wonach Preisausschreiben als unentgeltliche Ausspielungen gegolten haben). Nicht zuletzt dies rechtfertigt, dass der Gesetzgeber die Belastungsentscheidung im Glücksspielgesetz auf Preisausschreiben ausdehnt, zumal - worauf die Bundesregierung zutreffend verweist - Lenkungsaspekte, die der Besteuerung von Glücksspielen zugrunde liegen, auch für Preisausschreiben von Bedeutung sein können."
Zusammenfassend widersprechen nach den Beschlüssen des Verfassungsgerichtshofes die Glücksspielabgaben nicht dem Unionsrecht, weswegen keine Gleichheitswidrigkeit infolge Inländerdiskriminierung vorliegt. (VfGH 8.6.2017, E 1330/2016, E 1756/2016; VfGH 8.6.2017, E 2416/2016). Die Ausgestaltung der Glücksspielabgabe überschreitet nicht den rechtspolitischen Gestaltungsspielraum des Gesetzgebers. (VfGH 19.2.2015, E 293/2015). Die Aufnahme von "Poker" in § 1 Abs. 2 GSpG ist nicht gleichheitswidrig. Die Glücksspielabgaben können mit der Spielbankabgabe nicht verglichen werden, weil die Spielbankkonzessionäre über die Steuerpflicht hinaus viele weitere Verpflichtungen trifft. (VfGH 8.6.2017, E 1330/2016, E 1756/2016).
Damit liegt infolge der genannten Ablehnungsbeschlüsse nach Pfau, Das Bundesfinanzgericht als Antragsteller im Normenprüfungsverfahren, ÖStZ 2014/566, 349 ein starkes Indiz für die verfassungsrechtliche Unbedenklichkeit der Rechtsgeschäftsgebühren gemäß § 33 TP 17 Abs. 1 Z 7b GebG bzw. der Glücksspielabgaben gemäß §§ 57 ff GSpG vor, weswegen das Bundesfinanzgericht auch aus diesen Gründen von einer Antragstellung auf Normprüfung Abstand nahm.
8.7. Ergebnis der Untersuchung
Zur Thematik der Rechtsgeschäftsgebühren- bzw. Glücksspielabgabenpflicht des gewerblich veranstalteten Kartenpokerspiels nicht im konzessionierten Bereich hat der Verfassungsgerichtshof in etlichen Ablehnungsbeschlüssen zusammengefasst folgende Aussagen getroffen:
Die geltend gemachte Unionsrechtswidrigkeit und die daraus allenfalls folgende Gleichheitswidrigkeit ("Inländerdiskriminierung") der Glücksspielmonopolregelungen liegt nicht vor. (VfGH 8.6.2017, E 1330/2016, E 1756/2016 (BFG 13. Mai 2016, RV/7101232/2012 und BFG 10.6.2016, RV/7101758/2012)). Die Aufnahme von "Poker" in den Begriff des Glücksspiels gemäß § 1 Abs. 2 GSpG ist nicht gleichheitswidrig (VfGH 8.6.2017, E 1330/2016, E 1756/2016 (BFG 13. Mai 2016, RV/7101232/2012 und BFG 10.6.2016, RV/7101758/2012)).
Die Vorschreibung einer Gebühr gemäß § 33 TP 17 Abs. 1 Z 7 GebG in Höhe von 25% des versprochenen Gewinns eines von einem Veranstalter angebotenen oder organisierten Glücksspiels ist weder unverhältnismäßig noch unsachlich und liegt im rechtspolitischen Gestaltungsspielraum des Gesetzgebers. (VfGH 10.12.2014, E 1787/2014, E 1788/2014). In der Abgabeneinhebung ist auch kein Eingriff in verfassungsgesetzlich geschützte Rechte zu erkennen, weil es der Abgabenpflichtige in der Hand hat, die Vorkehrungen für die Entrichtung der Abgabenschuld zu treffen (VfGH 21.9.2012, B 1357).
Es liegt grundsätzlich im rechtspolitischen Gestaltungsspielraum des Gesetzgebers, wenn er das Pokerspiel dem Regime des Glücksspielgesetzes unterwirft. Auch die Ausgestaltung der Glücksspielabgabe nach § 57 GSpG überschreitet nicht den rechtspolitischen Gestaltungsspielraum des Gesetzgebers (VfGH 19.2.2015, E 293/2015; VfGH 11.6.2019, E 2014/2018; aber auch VfGH 11.6.2019, E 1137/2018 zu BFG 16.02.2018, RV/7104387/2015; weitere Ablehnungsbeschlüsse VfGH 26.2.2018, E 2913/2017 zu BFG 28.06.2017, RV/7104383/2015; VfGH 26.2.2018, E 3389/2017 zu BFG 21.08.2017, RV/7100702/2016; VfGH 24.9.2018, E 2251/2017 zu BFG 8.5.2017, RV/7100024/2015; VfGH 24.9.2018, E 4361/2017 zu BFG 19.10.2017, RV/7103493/2014). Bei der Glücksspielabgabe gemäß § 57 GSpG handelt es sich um eine Abgabe im Sinn der Bundesabgabenordnung und nicht um eine (Geld-)Strafe. Die Glücksspielabgabe gemäß § 57 GSpG gilt für jeden, der - gleichgültig, ob legal oder illegal - Glücksspiele veranstaltet, betreibt "oder Ähnliches". Es liegt auch keine Gleichheitswidrigkeit der Regelungen über die Glücksspielabgabe gemäß den §§ 57 ff GSpG vor. Die Glücksspielabgabe hat auch infolge des Abstellens auf den Umsatz keine Erdrosselungswirkung und verstößt daher nicht gegen Art 47 und 48 GRC. Der Abgabengesetzgeber ist, solange er nicht eine Erwerbstätigkeit vollkommen unterbindet, nicht verpflichtet, die Rentabilität der belasteten Tätigkeit zu garantieren. (VfGH 12.6.2018, G 73/2018 zitiert im Beschluss des OGH 21.11.2018, 1Ob209/18v). Die Regelungen der §§ 57ff GSpG verletzen auch nicht die Erwerbsausübungsfreiheit. Wenn der Steuergesetzgeber im öffentlichen Interesse liegende Ziele durch eine Erhöhung der Abgabenbelastung erreichen möchte und damit eine Verminderung der Rentabilität für den Veranstalter von Ausspielungen einhergehen kann und einige Standorte nicht mehr wirtschaftlich betrieben werden können, führt das nicht zu einem unzulässigen Eingriff in verfassungsrechtlich verbürgte Rechtspositionen. VfGH 8.6.2017, E 1330/2016, E 1756/2016 (BFG 13. Mai 2016, RV/7101232/2012 und BFG 10.6.2016, RV/7101758/2012) VfGH 26.2.2018, E 3452/2017 zu BFG 21.8.2017, RV/7101181/2013; VfGH 26.2.2018, E 3862/2017 zu BFG 25.09.2017, RV/7100907/2012 und VfGH 26.2.2018, E 3860/2017 zu BFG 25.09.2017, RV/7100908/2012).
Die Glücksspielabgaben können mit der Spielbankabgabe nicht verglichen werden, weil die Spielbankkonzessionäre weitgehende Verpflichtungen, wie Spielerschutz, Tragung der Kosten der staatlichen Aufsicht und Kontrolle gemäß § 31 GSpG treffen und sie neben der Spielbankabgabe einen Finanzierungsbeitrag gemäß § 1 Abs. 4 GSpG zu leisten haben. (VfGH 8.6.2017, E 1330/2016, E 1756/2016 (BFG 13. Mai 2016, RV/7101232/2012 und BFG 10.6.2016, RV/7101758/2012)) Ein Vergleich der Glücksspielabgaben mit der Konzessionsabgabe nach § 28 GSpG (bzw nach § 17 GSpG) scheidet aus, weil den Regelungen keine vergleichbaren Sachverhalte zugrunde liegen. (VfGH 12.6.2018, G 73/2018 zitiert im Beschluss des OGH 21.11.2018, 1Ob209/18v)
Keine Verletzung des Gleichheitsgrundsatzes, wenn Ausspielungen im Lebendspiel und solche in Form von Elektronischen Lotterien im Rahmen des rechtspolitischen Gestaltungsspielraumes einer unterschiedlich hohen Glücksspielabgabe unterworfen werden. (VfGH 26.2.2018, E 3452/2017 zu BFG 21.8.2017, RV/7101181/2013; VfGH 26.2.2018, E 3862/2017 zu BFG 25.09.2017, RV/7100907/2012 und VfGH 26.2.2018, E 3860/2017 zu BFG 25.09.2017, RV/7100908/2012)
Im oben zitierten Beschluss VwGH 21.1.2019, Ro 2018/17/0007 (BFG 25.9.2017, RV/7100908/2012 und RV/7100908/2012) zu den Glücksspielabgaben iSd § 57 GSpG befasste sich der Verwaltungsgerichtshof mit der in der Revision aufgeworfenen Einwendung, die Besteuerung der Konzessionärin einerseits und der revisionswerbenden Gesellschaft andererseits stelle einen Verstoß gegen die Dienstleistungsfreiheit nach Art. 56 AEUV dar.
In ihren Beschwerdeschriften vom 14. Dezember 2016 bzw. Vorlageanträgen vom 3. April 2017 hat die Bf. ein vergleichbares Vorbringen erstattet.
Der Verwaltungsgerichtshof begründete seinen Beschluss VwGH 21.1.2019, Ro 2018/17/0007 folgendermaßen:
"Nach der ständigen Rechtsprechung des EuGH steht es im Übrigen den Mitgliedstaaten in Ermangelung einer Harmonisierung auf Unionsebene grundsätzlich frei, die Ziele ihrer Politik auf dem Gebiet der Glücksspiele festzulegen und das angestrebte Schutzniveau zu bestimmen. Die sittlichen], religiösen oder kulturellen Besonderheiten und die mit Glücksspielen (und Wetten) einhergehenden sittlich und finanziell schädlichen Folgen für den Einzelnen wie für die Gesellschaft rechtfertigen es, den staatlichen Stellen ein ausreichendes Ermessen zuzuerkennen. um im Einklang mit ihrer eigenen Wertordnung festzulegen, welche Erfordernisse sich aus dem Schutz der Verbraucher und der Sozialordnung ergeben. Der Verwaltungsgerichtshof erkennt in ständiger Rechtsprechung unter Durchführung der vom EuGH geforderten Gesamtwürdigung, dass die im Glücksspielgesetz vorgesehenen Beschränkungen der Dienstleistungsfreiheit, etwa durch Statuierung eines Monopols zugunsten des Bundes in Verbindung mit der Vergabe von Konzessionen, durch die Verfolgung legitimer Ziele in kohärenter und systematischer Weise gerechtfertigt sind" (unter Verweis auf VwGH 16.3.2016, Ro 2015/17/0022; VfGH 15.10.2016, E 945/2016724, VwGH 11.7.2018, R212018/17/0048 bis 0049). (VwGH 21.1.2019, Ro 2018/17/0007 Rn 19)
In der Revision sei ausgeführt worden, "die revisionswerbende Gesellschaft werde zu einer Abgabe in enormer Höhe herangezogen, während ihre unmittelbare und engste Wettbewerberin, die…. Konzessionärin …., keine Abgabe in dieser Höhe bezahle. Der wirtschaftliche Vorteil der …. Konzessionärin …. liege nicht allein in der Abgabenerleichterung, sondern gleichzeitig in der "asymmetrischen Belastung der revisionswerbenden Gesellschaft mit einer exzessiven Abgabe". Nach Ansicht der revisionswerbenden Gesellschaft sei dabei die Frage einer Überkompensierung (Hinweis auf EuGH 7.9.2006, C-526/04 Laboratoires Boiron) nicht relevant bzw. sei offensichtlich, dass das begünstigte Unternehmen (…. Konzessionärin ….,) stärker begünstigt als belastet werde. Die …. Konzessionärin …. habe mit dem Glücksspiel nämlich keine gemeinwirtschaftlichen Verpflichtungen oder öffentlichen Aufgaben übernommen, weshalb die Beihilfe nicht gerechtfertigt sei." (VwGH 21.1.2019, Ro 2018/17/0007 Rn 21). lm bereits zitierten Erkenntnis des Verwaltungsgerichtshofes vom 19. Oktober 2017, R0 2015/16/0024, auf dessen Begründung …. verwiesen wird, wurde das Vorliegen einer dem Unionsrecht widersprechenden Beihilfe bereits verneint. (VwGH 21.1.2019, Ro 2018/17/0007 Rn 22).
"Selbst wenn aber durch die Belastung von Personen, die nicht über eine Spielbankenkonzession verfügen, mit der Glücksspielabgabe dem Konzessionär ein finanzieller Vorteil gewährt würde, ist festzuhalten, dass es entgegen den Behauptungen der revisionswerbenden Gesellschaft nicht zutrifft, dass einen Spielbankenkonzessionär keine gemeinwirtschaftlichen Verpflichtungen treffen, die Zusatzkosten verursachten. Vielmehr entstehen ihm auf Grund von Bestimmungen des Glücksspielgesetzes, die der Verhinderung von Spielsucht, Kriminalität und Geldwäscherei dienen, hohe Zusatzkosten. Weiters hat er die Kosten der Überwachung der Einhaltung dieser Bestimmungen durch den Bundesminister für Finanzen zu tragen (vgl. § 19 Abs. 1 GSpG). Dass in diesem Zusammenhang eine Überkompensierung erfolge, wird in der Zulassungsbegründung gar nicht behauptet, sondern in Verkennung der Rechtslage der Standpunkt vertreten, dass es darauf gar nicht ankomme." (VwGH 21.1.2019, Ro 2018/17/0007 Rn 24).
Da bei der Bf. ein Inlandssachverhalt vorliegt, kann kein Vorabentscheidungsersuchen an den EuGH gestellt werden.
Die Untersuchung ergab, dass in Bezug auf die Glücksspielabgaben, die die Bf. für das von ihr veranstaltete Kartenpokerspiel aufgrund einer gewerberechtlichen Bewilligung zu tragen hat, keine Unionsrechtswidrigkeit und damit keine Verfassungswidrigkeit infolge Inländerdiskriminierung vorliegt. Das Glücksspielmonopol wurde als gemeinnütziges Monopol ausgestaltet. Auch den anderen Vorbringen der Bf. in Bezug auf die Verfassungswidrigkeit der Glücksspielabgaben ist angesichts der zitierten Ablehnungsbeschlüsse des Verfassungsgerichtshofes und der zitierten ständigen Judikatur des Verwaltungsgerichtshofes kein Erfolg beschieden.
Daher stellte das Bundesfinanzgericht auch keinen Antrag an den Verfassungsgerichtshof auf Normprüfung.
9. Ablehnung von zwei Beweisanträgen, die anlässlich der mündlichen Verhandlung vor dem Senat gestellt wurden
Die Bf. stellte den
Antrag auf Bestellung eines amtlich beeideten und gerichtlich zertifizierten Sachverständigen, aus dem Bereich Rechnungswesen, Fachgruppe 92, zum Beweis dafür, dass die Glücksspielabgabe letztlich zwingend zur Insolvenz des Unternehmens führt
und den
Antrag auf Erhebung der Zusatzkosten, welche der Spielbankkonzessionärin durch die Einhaltung der ihr angeblich auferlegten Verpflichtungen entstehen.
Gemäß § 183 Abs. 3 BAO sind von den Parteien beantragte Beweise aufzunehmen, soweit nicht eine Beweiserhebung gemäß § 167 Abs. 1 BAO zu entfallen hat. Von der Aufnahme beantragter Beweise ist abzusehen, wenn die unter Beweis zu stellenden Tatsachen als richtig anerkannt werden oder unerheblich sind, wenn die Beweisaufnahme mit unverhältnismäßigem Kostenaufwand verbunden wäre, es sei denn, dass die Partei sich zur Tragung der Kosten bereit erklärt und für diese Sicherheit leistet, oder wenn aus den Umständen erhellt, dass die Beweise in der offenbaren Absicht, das Verfahren zu verschleppen, angeboten worden sind.
Unter Anbringen zur Geltendmachung von Rechten versteht man Anträge jeder Art, die gesetzlich, und zwar sowohl materiell-rechtlich, als auch verfahrensrechtlich vorgesehen sind und daher einer Entscheidung bedürfen. (Stoll, BAO-Kommentar 849). Vom Gebot der Aufnahme betragter Beweise bestehen unter anderem folgende Ausnahmen:
- Entfall der Beweiserhebung gemäß § 167 Abs. 1 BAO (offenkundige Tatsachen) und
- Unerheblichkeit der unter Beweis zu stellenden Tatsachen.
Unerheblichkeit der unter Beweis zu stellenden Tatsachen liegt vor, wenn etwa dem auf Feststellung der Wahrheit gerichteten Interesse im Verfahren bereits weitgehend Rechnung getragen wurde, wenn bereits ein deutliches Bild von den Tatsachen gewonnen werden konnte, wenn sich aus den bisherigen Beweisergebnissen bereits sachgerechte Schlussfolgerungen auf die vom Beweisthema umschlossenen Sachumstände ziehen lassen, oder wenn es um Beweise geht, die nicht zentrale substanzielle Sachverhaltsbelange erstmals an das Licht der Erkenntnis bringen sollen, sondern bereits gewonnene Einsichten in Randzonen ergänzen, in Einzelbelangen verdeutlichen, insgesamt zusätzlich absichern sollen. (Stoll, BAO-Kommentar 1894-1896).
Die Ablehnung erfolgte einerseits wegen Unerheblichkeit deshalb, weil beide Beweisthemen als weiter ausformulierte Beschwerdegründe ohnehin im Rahmen der Erwägungen zum unionsrechtlichen Vorbringen behandelt wurden, siehe Punkt 8.5.
Andererseits erfolgte die Ablehnung des 1. Beweisantrages wegen Unerheblichkeit deshalb, weil bereits ein deutliches Bild von den Tatsachen gewonnen werden konnte. Von Seiten der Veranstalter gewerblichen Pokerspiels, - bereits aus UFS 13.12.2004, RV/0421-W/02 geht hervor, dass die damalige Bw. erklärte, die neue Bestimmung des § 33 TP 17 Abs. 1 Z 7 GebG (BGBl 965/1993) sei im Rahmen ihres Betriebes nicht vollziehbar und gab zu erkennen, dass sie ihrer Verpflichtung gemäß § 28 Abs. 3 GebG (BGBl 965/1993), zur unmittelbaren Entrichtung der Gebühr nicht nachkommen werde - wurde sowohl zu den Rechtsgeschäftsgebühren als auch zu den Glücksspielabgaben ein solches Vorbringen bereits in mehreren Rechtsmittelverfahren erstattet (z.B. UFS 24.7.2007, RV/0369-W/02 ua.; UFS 7.10.2011, RV/0743-W/11; BFG 10.6.2016, RV/7101758/2012; BFG 20.6.2016, RV/7101283/2013; BFG 25.9.2017, RV/7100907/2012, RV/7100908/2012; BFG 19.10.2017, RV/7103493/2014), jedoch ist nach der ständigen Rechtssprechung der Höchstgerichte wie VwGH 19.10.2017, Ro 2015/16/0024 Rn 34-35 die Ausgestaltung der Glücksspielabgabe nach § 57 GSpG im rechtspolitischen Gestaltungsspielraum des Gesetzgebers gelegen und in der Bemessungsgrundlage der tatsächlichen Einsätze wurde eine exzessive Steuerbelastung nicht erkannt. (siehe Punkt 8.7. dieses Erkenntnisses). Desgleichen wird die Ablehnung der Beweisanträge auf "offenkundige Tatsachen" gestützt, da bereits eine höchstgerichtliche Rechtsprechung zu diesem Thema vorhanden ist, die im Rechtsinformationssystem des Bundes veröffentlicht ist.
Ebenso erfolgte die Ablehnung des 2. Beweisantrages wegen Unerheblichkeit deshalb, weil bereits ein deutliches Bild von den Tatsachen gewonnen werden konnte. Desgleichen wird die Ablehnung der Beweisanträge auf "offenkundige Tatsachen" gestützt, da sich viele Leistungsverpflichtungen der Spielbankkonzessionärin aus dem Gesetz ergeben (§ 1 Abs. 4 GSpG, § 21 GSpG, § 25 GSpG, § 31 Abs. 1 GSpG, § 59a GSpG). In der Tabelle unter Punkt 8.5.3.3. dieses Erkenntnisses wurden die Aufwendungen der Spielbankkonzessionärin den Aufwendungen der Bf. gegenübergestellt. Eine darüber hinausgehende Einsicht in das Rechenwerk der Spielbankkonzessionärin, um detailliertere Informationen über deren diesbezügliche Ausgaben zu erhalten, oder in die ziffernmäßige Darstellung der Kosten in Buchungssätzen, geht, da es sich hier um das Abgabenverfahren der Bf. und nicht der Spielbankkonzessionärin handelt, über das Gebot des § 115 BAO, wonach von Amts wegen die abgabenpflichtigen Fälle zu erforschen und die tatsächlichen und rechtlichen Verhältnisse zu ermitteln sind, die für die Abgabenpflicht und die Erhebung der Abgaben - die die Bf. betreffen - wesentlich sind, bei weitem hinaus.
10. Thesenartige Zusammenfassung des Ergebnisses
Die Bf. hat den vom Finanzamt in den sechs gegenständlichen Außenprüfungsberichten dargestellten Sachverhalt nicht in Frage gestellt.
Die Bf. veranstaltete in ihrem Pokercasino, das sie aufgrund einer Gewerbeberechtigung betreibt, im Zeitraum Februar 2012 bis Dezember 2015 Kartenpokerspiele in den Varianten Texas Hold'em, Omaha und Seven Card Stud in Form von Cashgame und in Turnierform, womit sie beide Voraussetzungen der von § 57 Abs. 1 GSpG geforderten "Ausspielung" erfüllte:
1. durch tatsächlichen Abschluss der entsprechenden zivilrechtlichen Glücksverträge liegen Glücksspiele iSd § 1 Abs. 1 und § 1 Abs. 2 GSpG vor, und
2. durch das Anbieten der konkreten Spielmöglichkeiten in ihren Räumlichkeiten ist die Bf. Unternehmerin iSd § 2 GSpG.
Mit den "Ausspielungen" setzte die Bf. das Auslösemoment für die Glücksspielabgabenpflicht gemäß § 57 Abs. 1 GSpG in Höhe von 16% vom Einsatz, bzw. bei Turnierspielen in Höhe von 16% vom in Aussicht gestellten Gewinn.
10.1. Ausgangssituation
Das Kartenpokerspiel entspricht dem zweiseitig verbindlichen Spielvertrag des § 1272 ABGB, das heißt, es werden Einsätze geleistet und für die Hingabe des Einsatzes wird eine Hoffnung auf Gewinnchance erwartet. Da das Kartenpokerspiel zwischen zwei oder mehreren Spielern entgeltlich abgeschlossen wird und die Entscheidung über das Ergebnis des einzelnen Spiels zumindest vorwiegend vom Zufall abhängig ist, erfüllt es die Voraussetzungen des § 1 Abs. 1 GSpG iVm § 2 Abs. 1 GSpG. Als Ausspielung unterliegt das Kartenpokerspiel im konzessionierten Bereich der Konzessions- oder Spielbankabgabe, oder wie hier im Fall eines gewerberechtlichen Pokersalons der Glücksspielabgabe gemäß § 57 Abs. 1 GSpG. Das wurde in Judikatur bereits ausführlich dargestellt. (UFS 13.12.2004, RV/0421-W/02; UFS 24.7.2007, RV/0369-W/02 ua.; UFS 7.10.2011, RV/0743-W/11; UFS 5.4.2013, RV/1194-W/12 ua. BFG 10.6.2016, RV/7101758/2012; BFG 20.6.2016, RV/7101283/2013; BFG 25.9.2017, RV/7100907/2012, RV/7100908/2012; BFG 19.10.2017, RV/7103493/2014; BFG 4.4.2018, RV/7104839/2017; BFG 17.2.2019, RV/7106017/2018).
Nach Ansicht der Bf. kommt Poker die Glücksspieleigenschaft iSd § 1 GSpG weder nach der alten noch nach der neuen Rechtslage zu, weswegen mangels einer "Ausspielung" keine Glücksspielabgabenpflicht gemäß § 57 GSpG ausgelöst werden könne. Aus den Übergangsbestimmungen ergäbe sich, dass gewerberechtliche Pokersalons bis zum Auslaufen am 31.12.2019 rechtmäßig betrieben werden dürfen, weshalb keine Glücksspielabgabe anfalle. Überdies widerspräche die Anforderung einer Glücksspielabgabe von der Bf., die an den Spielverträgen der Spieler nicht beteiligt sei, dem Verfassungs- und Unionsrecht. (Beihilfenverbot und Dienstleistungsfreiheit).
In der mündlichen Senatsverhandlung brachte die Bf. vor, sie sei grenzüberschreitend tätig, als auch Teilnehmer aus dem Ausland zu den von ihr veranstalteten Kartenpokerspielen kommen würden. Spielerschutzerwägungen würden eine verbotene Beihilfe nicht aufwiegen, wenn die Konzessionärin gleichzeitig massive Werbemaßnahmen für Glücksspiel (Poker Tour 2019) durchführt und seien Spielerschutzerwägungen lediglich ein Vorwand dafür, die Spielbankkonzessionärin vor Wettbewerb zu schützen. (VwGH 21.1.2019, Ra 2018/17/0150 Rn 20 bis Rn 22). Wettbewerber würden durch die Glücksspielabgabe, die die Konzessionärin nicht zu entrichten habe, so hoch besteuert, dass sie letztlich alle Insolvenz anmelden mussten.
10.2. Unions- und verfassungsrechtliche Untersuchung
Auch wenn iSd § 57 Abs. 1 GSpG sowohl die Bf. als auch die Spielteilnehmer ausschließlich vom Inland aus an den von der Bf. angebotenen und veranstalteten Kartenpokerspielen teilnahmen und deshalb ein reiner Inlandssachverhalt vorliegt, ist nach der Judikatur der Höchstgerichte in einem solchen Fall die betreffende inländische Rechtslage in Bezug auf das Unionsrecht zu prüfen, da eine allfällige, dadurch bewirkte Inländerdiskriminierung verfassungswidrig ist und einen Normprüfungsantrag rechtfertigen würde (insbesondere VfGH 15.10.2016, E 945/2016 ua; OGH 30.3.2016, 4 Ob 31/16m). Das Bundesfinanzgericht ging davon aus, dass zwar einerseits keine untrennbare Verbindung zwischen den §§ 57 bis 59 GSpA und dem Glücksspielmonopol bzw. Konzessionssystem vorliegt (z.B. Beschluss VfGH 21.9.2012, B 1357; OGH 30.3.2016, 4 Ob 31/16m ua.), andererseits aber die Befreiungsbestimmungen des § 57 Abs. 2 letzter Satz GSpG, § 57 Abs. 4 GSpG iVm § 13a FAG/§ 14 FAG 2017 und § 57 Abs. 6 GSpG auf das Konzessionssystem rekurrieren.
Die Unionsrechtskonformität des Glücksspielmonopols im Zusammenhang mit dem ordnungspolitischen Teil des Glücksspielgesetzes wurde durch mehrere höchstgerichtliche Entscheidungen bestätigt. (VfGH 15.10.2016, E 945/2016ua, VwGH 16.3.2016, 2015/17/0022; VwGH 11.7.2018, Ra 2018/17/0048; VwGH 24.04.2019, Ra 2017/17/0962 Rn 10 unter Verweis auf EuGH 8.9.2010, C- 316/07 u.a., Stoß u.a., Rn. 107; 30.4.2014, C-390/12, Pfleger, Rn. 50 ff; 6.9.2018, Gmalieva s.r.o. u.a., C-79/17, Rn. 27). Da laut VwGH 11.7.2018, Ra 2018/17/0048 Rn 21 unter Verweis auf EuGH 30.4.2014, C-390/12 Rn 50 Rs Pfleger, bei einer Gesamtwürdigung auf alle Umstände Bedacht zu nehmen ist, unter denen die die Dienstleistungsfreiheit beschränkenden Bestimmungen des GSpG erlassen worden sind und umgesetzt werden (VwGH 16.3.2016, 2015/17/0022 Rn 69 bis Rn 73), befasste sich das Bundesfinanzgericht in einem ersten Schritt mit der Rechtsentwicklung der Abgaben, die im Zusammenhang mit dem Glücksspiel stehen und in einem zweiten Schritt, wie sich eine Verfassungswidrigkeit infolge Unionsrechtswidrigkeit auf die Glücksspielabgaben auswirken würde, mit spezieller Untersuchung der Kosten, die dem Spielbankkonzessionär anfallen, gegenüber den Kosten der Bf. als Anbieterin gewerberechtlicher Pokerspiele:
Mit der Darstellung der Rechtsentwicklung der Glücksspielbesteuerung und deren Implementierung in das Glücksspielgesetz mit besonderer Berücksichtigung des Kartenpokerspiels aus Sicht der Gebühren und Verkehrsteuern konnte gezeigt werden, dass bereits bei den Vorgängerbestimmungen des heutigen Glücksspielgesetzes der Spielerschutz im Vordergrund stand, fiskalische Zwecke traten immer weiter zurück. Die im Glücksspielgesetz 1989 geregelte Spielbankabgabe und Konzessionsabgabe hatten sich aus einem Monopol heraus zu echten Steuern entwickelt. (Griller/Reindl, Die Unvereinbarkeit des österreichischen Glücksspielgesetzes mit dem Europäischen Gemeinschaftsrecht, ZfV 1998, 234, 250, 251; Segalla, Glücksspiel- und Wettrecht, in Holoubek/Potacs (Hrsg), Handbuch des öffentlichen Wirtschaftsrechts2 (2007) 250). Die Glücksspielabgaben iSd §§ 57 ff GSpG gehen auf Rechtsgeschäftsgebühren für Glücksverträge zurück, die im § 33 TP 17 GebG geregelt waren und die erst durch die Glücksspielgesetznovellen 2010 im Glücksspielgesetz Eingang fanden. (1080 BlgNR 17. GP ; o.A., GSpG-Novellen - steuerliche Änderungen ab 2011, ÖStZ 2010/702, 356; Bresich/Klingenbrunner/Posch in Strejcek/Bresich, GSpG 19892, 31).
Die Glücksspielgesetznovellen 2010 verlagerten den Hauptzweck des Glücksspielmonopols auf ordnungspolitische Aspekte, es kommt nicht mehr darauf an, ob der höchste Abgabenertrag erzielt wird, sondern die Konzession wird an den Bewerber vergeben, von dem die beste Ausübung der Konzession im Hinblick auf Spielsuchtvorbeugung, zum Spielerschutz, zur Geldwäsche- und Kriminalitätsvorbeugung, zur Betriebssicherheit, zur Qualitätssicherung, zur betriebsinternen Aufsicht usw. zu erwarten ist. Die Spielbankabgabe wurde von tlw. 80% auf 30% herabgesetzt. (657 BlgNR 24. GP zu BGBl I 2010/73; BGBl. I 2010/111; Bresich/Klingenbrunner/Posch in Strejcek/Bresich [Hg.], GSpG 19892 29). Mit dem Transfer der Rechtsgeschäftsgebühren in die Glücksspielabgaben wurde der Steuersatz von 25% vom Gewinn auf 16% vom Einsatz herabgesetzt. Um Konzessionäre nicht einer Doppelbelastung mit Steuern auszusetzen, wurden Bestimmungen eingestellt, dass dann, wenn Konzessions- oder Spielbankabgabe anfallen, keine Glücksspielabgabenpflicht besteht. (RV 657 BlgNR XXIV GP zu BGBl I 2010/73 zu § 57 und § 60 Abs 25 GSpG).
Dem Abgehen von fiskalischen Ziesetzungen standen aber erhöhte Anforderungen an die Konzessionäre gegenüber, wie hohes Grundkapital, feste Gebühren, Ausgaben im Zusammenhang mit Spielerschutz wie der Finanzierungsbeitrag gemäß § 1 Abs. 4 GSpG, mit dem die Stabsstelle für Spielerschutz im BMF finanziell ausgestattet wird und mit dem Personalkosten, Kosten für Teilnahme an Tagungen, Druck und Versand von Glücksspielsuchtbroschüren der Stabsstelle an alle österreichweiten Spielschutzeinrichtungen, und an Behörden, sowie Kosten für Werkverträge über Repräsentativumfragen und z.B. Onlinestudien finanziert werden. (13395/AB 24.GP, 11, abrufbar über die Homepage des Parlamentes). Die Spielerschutzstelle ist in Begutachtungsverfahren von Gesetzes- und Verordnungsentwürfen eingebunden und unterstützt auch die Glücksspielaufsicht in fachlicher Hinsicht und führt mit den Konzessionären Gespräche zum fachlichen Austausch. Diese Gespräche werden Konzessionären bescheidmäßig auferlegt. (BMF, Glücksspielbericht 2014-2016, 32-33). Darüber hinaus ist die Spielbankkonzessionärin an Maßnahmen des Responsible Gaming gesetzlich über § 25 GSpG und bescheidmäßig gebunden. Zusätzliche Kosten entstehen ihr auch durch die Beratungsgespräche durch besonders geschulte Mitarbeiter, sowie durch Informations- und Beratungsgespräche und insbesondere durch begleitend intensivere Personalschulungen. (BMF, Glücksspielbericht 2014-2016, 8; vgl. auch Landesverwaltungsgericht Salzburg 25.03.2019, 405-10/438/1/22-2019).
Das Pokerspiel wurde in § 1 Abs. 2 GSpG namentlich genannt.
Die Bf. als Veranstalterin von Kartenpokerspiel hat keine glücksspielgesetzliche, sondern eine gewerberechtliche Bewilligung zum "Halten von erlaubten Spielen". Da nach der Gewerbeordnung das "Halten von Spielen" als freies Gewerbe, das gemäß § 111 Abs. 4 Z 2 GewO Inhabern einer Gastgewerbeberechtigung als Nebenrecht zusteht, ausgeübt werden kann, wurde, insbesondere aufgrund der Weite des Begriffs "Spiel" Art. 10 Abs. 1 Z 8 B-VG grundsätzlich als mögliche Kompetenzgrundlage des Glücksspielwesens in Betracht gezogen. (Winkler, Poker und Pokerspielsalons in der Glücksspielgesetzgebung, 359; Kohl, Das österreichische Glücksspielmonopol, 113). Daraus resultierend wurden an die Frage, ob Poker gemäß § 1 Abs. 1 GSpG ein Glücks- oder Geschicklichkeitsspiel ist, im Schrifttum kompetenzrechtliche Themen geknüpft, ob der Gesetzgeber berechtigt sei, das Glücksspielmonopol durch Einbeziehen von Geschicklichkeitsspielen nach nationalen und unionsrechtlichen Bestimmungen auszuweiten. Mittlerweile gibt es einen Corpus an Literatur und Judikatur, dass die namentliche Aufzählung von Poker in § 1 Abs. 2 GSpG keine unzulässige Ausdehnung des Glücksspielmonopols ist, da zum Zeitpunkt des Inkrafttretens des Art. 10 Abs. 1 Z 4 B-VG "Monopolwesen" im Jahr 1925 Poker in der Glücksspielverordnung, BGBl. 1923/253 als verbotenes Glücksspiel aufgezählt war. (Kohl, Das österreichische Glücksspielmonopol, 143; Stefula in Fenyves/Kerschner/Vonklich, Klang3 § 1270-1272 Rz 51). Mit Erkenntnis VfGH 10.10.2018, G 105/2018 ua. stellte der Verfassungsgerichtshof fest, dass im Rahmen des Kompetenztatbestandes "Monopolwesen" gemäß Art. 10 Abs. 1 Z 4 B-VG dem einfachen Bundesgesetzgeber "Kompetenz-Kompetenz" für die Ausgestaltung des Glücksspielmonopols zukommt.
Der Verfassungsgerichtshof VfGH 27.6.2013, G 26/2013 G 90/2012 stellte fest, dass die Hereinnahme von Poker in § 1 Abs. 2 GSpG nicht verfassungswidrig ist. Die Rechtsgeschäftgebühren/Glücksspielabgabenpflicht für Kartenpokerspiel - auch im "aufgehobenen" Zeitraum Juli 2013 bis Februar 2014 - steht nach der Judikatur des Verwaltungsgerichtshofes außer Zweifel (VwGH 18.10.2016, Ro 2014/16/0041; VwGH 4.5.2017, Ra 2017/16/0035; VwGH 19.10.2017, Ro 2015/16/0024; VwGH 27.3.2018, Ro 2017/17/0025; VwGH 22.10.2018, Ro 2018/16/0028; VwGH 21.1.2019, Ra 2018/17/0150; VwGH 21.1.2019, Ro 2018/17/0007; VwGH 26.3.2019, Ro 2019/17/0003 dazu ausführlich Punkt 7.2. dieses Erkenntnisses).
Was die Bf. betrifft, das Kartenpokerspiel ohne Bankhalter mit gewerberechtlicher Bewilligung, das von einem Veranstalter angeboten und organisiert wird, - außerhalb des konzessionierten Bereiches - wurde ab 1993 der Glücksvertragsgebühr gemäß § 33 TP 17 Abs. 1 Z 7b GebG vom Gewinn pro Spiel x 25% unterzogen, und der Veranstalter gemäß § 28 Abs. 3 GebG als Gebührenschuldner herangezogen. (BGBl. 1993/965, 1427 BlgNR 18.GP ; VwGH 8.9.2005, 2000/17/0201; UFS 13.12.2004, RV/0421-W/02 abrufbar unter http://www.bmf.findok.at ; BFG 10.6.2016, RV/7101758/2012). Da das Kartenpokerspiel im konzessionierten Bereich der Spielbankabgabe unterliegt, wurden Glücksspiele, für die Abgaben gemäß § 28 GSpG zu entrichten sind, von den Gebühren gemäß § 33 TP17 Abs. 1 Z 7 GebG ausgenommen, um Doppelbesteuerungen zu vermeiden. (Arnold, Rechtsgebühren9 § 33 TP 17 Rz 18c). Die durch die Glücksspielnovellen 2010 neu gefassten Glücksspielabgaben in den §§ 57 bis 59 GSpG wurden gegenüber den Rechtsgeschäftsgebühren gemäß § 33 TP 17 Abs. 1 Z 7 GebG textlich neu formuliert und auf das Glücksspielgesetz abgestimmt. Damit wurde das Kartenpokerspiel mit der allgemeinen Glücksspielabgabe gemäß § 57 Abs. 1 GSpG, Einsatze pro Spielx16% besteuert, die Doppelbesteuerungsvermeidungsvorschrift in Bezug auf die Spielbankkonzessionärin kam in textlich veränderter Form in § 57 Abs. 6 Z 1 GSpG. Die Regierungsvorlage RV 657 BlgNR XXIV GP zu BGBl I 2010/73 hält fest, dass § 57 Abs 6 GSpG die Befreiungsbestimmung für konzessionierte Spielbanken, Wirtshauspoker und Glücksspielautomaten aF ist und dass durch diese Befreiungsbestimmung Doppelbesteuerungen ausgeschlossen werden. Die Rechtsgeschäftsgebührenbefreiung für "- Glücksspiele, für die Abgaben gemäß § 28 GSpG zu entrichten sind", die textlich eindeutig auf eine Vermeidung einer Doppelbesteuerung von Glücksspielen, die in einer konzessionierten Spielbank gespielt werden, mit Spielbankabgabe und Glücksvertragsgebühr gemäß § 33 TP 17 Abs. 1 Z 7 GebG abstellt, wurde in § 57 Abs. 6 Z 1 GSpG umformuliert in "Ausspielungen in vom Bundesminister für Finanzen konzessionierten Spielbanken im Sinne des § 21,". Aus der historischen Interpretation des § 57 Abs. 6 Z 1 GSpG ist dessen Zweck als Doppelbesteuerungsvermeidung unmittelbar evident.
10.3. Die Bf. ist auch von ihrer finanziellen Belastung her gegenüber der Spielbankkonzessionärin nicht im Nachteil:
- Die Spielbankkonzessionärin hat gemäß § 21 Abs. 2 Z 3 GSpG ein Grund- und Stammkapital von 22,000.000 Euro, demgegenüber hat die Bf. 35.000 Euro gemäß § 6 Abs. 1 GmbHG oder 70 000 Euro gemäß § 7 AktG aufzubringen.
- Die Spielbankkonzessionärin hat gemäß § 21 Abs. 7 GSpG finanzielle Auflagen zur Sicherung der Entrichtung der Spielbankabgabe von mindestens 2,200.000 aufzubringen, die Bf. ist an keine solche Auflage in Bezug auf die Glücksspielabgaben gebunden.
- Die Spielbankkonzessionärin hat gemäß § 28 GSpG eine Spielbankabgabe von Jahresbruttospieleinnahmen x30% zu leisten, die Bf. als Veranstalterin von gewerblichem Kartenpokerspiel eine Glücksspielabgabe vom Einsatz/Turniergewinn x 16%.
- Die Spielbankkonzessionärin hat gemäß § 59a Abs. 1 Z 1 GSpG eine Eingabengebühr von 10.000 Euro für den Antrag auf Erteilung der Konzession zu entrichten, die Bf. als Veranstalterin von gewerblichem Kartenpokerspiel allenfalls 47,30 Euro gemäß § 14 TP 6 Abs. 2 GebG bis BGBl. I 2017/94, danach gemäß § 333a GewO gebührenfrei.
- Die Spielbankkonzessionärin hat gemäß § 59a Abs. 1 Z 2 GSpG eine Gebühr für amtliche Ausfertigung, für die Erteilung einer Konzession in Höhe von 100.000 Euro zu leisten, die Bf. als Veranstalterin von gewerblichem Kartenpokerspiel allenfalls 83,60 Euro gemäß § 14 TP 2 GebG für Gewerbeberechtigung bis BGBl. I 2017/94, danach gemäß § 333a GewO gebührenfrei.
- Die Spielbankenkonzessionärin trägt die Kosten der Überwachung durch das Bundesministerium für Fiannzen auf die Einhaltung der Bestimmungen des GSpG und des Konzessionsbescheides gemäß § 31 Abs. 1 GSpG, die Bf. trifft ein derartiger finanzieller Aufwand nicht.
- Die Spielbankkonzessionärin ist gemäß § 31a GSpG von den Landes- und Gemeindeabgaben, die sich auf konzessioniertes Glücksspiel beziehen befreit, die Bf. als Veranstalterin von gewerblichem Kartenpokerspiel unterliegt dieser Befreiung nicht, da sie kein konzessioniertes Glücksspiel betreibt und sie ohnehin keine Abgaben, die sich auf konzessioniertes Glücksspiel beziehen, entrichten muss.
- Die Spielbankkonzessionärin hat gemäß § 1 Abs. 4 GSpG jährlich einen Finanzierungsbeitrag von 1 Promille von der Bemessungsgrundlage der Spielbankabgabe zu entrichten. Mit dem Finanzierungsbeitrag wird die Stabsstelle für Spielerschutz im BMfF finanziell ausgestattet, um Personalkosten, Kosten für Tagungen, wie die jährlich stattfindende Spielerschutztagung, Druck und Versand von Glücksspielsuchtbroschüren, Repräsentativumfragen leisten zu können. (GÖG/ÖBIG 2016, Evaluation GSpG-Novelle 98 abrufbar über bmf.gv.at/steuern/glücksspiel-spielerschutz im pdf-Format). Die Spielerschutzstelle unterstützt einerseits die Glücksspielaufsicht im BMF in fachlicher Hinsicht in Kontakt mit den Konzessionären bei Ausarbeitung von Spielerschutzkonzepten, was den Konzessionären bescheidmäßig auferlegt ist, und andererseits wirkt sie im Begutachtungsverfahren von Gesetzes- und Verordnungsentwürfen in Bezug auf Spieler- und Wettkundenschutz teil und unterbreitet Verbesserungsvorschläge. (BMF, Glücksspielbericht 2014-2016, 32-33; bmf.gv.at ->Steuern ->Glücksspiel & Spielerschutz -> Spielerschutz und Hilfsangebote). Die Bf. als Anbieterin von gewerblichem Kartenpokerspiel unterliegt nicht dem Abgabentatbestand des § 1 Abs. 4 GSpG, sie hat den Finanzierungsbeitrag nicht zu leisten. Aus ordnungspolitischer Sicht wurde der Bf. auch nicht Kontakt mit der Spielerschutzstelle bei Ausarbeitung von Spielerschutzkonzepten auferlegt.
- Die Spielbankkonzessionärin ist an Maßnahmen des Responsible Gaming sowohl gemäß § 25 GSpG, als auch bescheidmäßig gebunden. Im Zusammenhang mit Spielersperren entstehen auch durch die Beratungsgespräche durch besonders geschulte Mitarbeiter, sowie durch Informations- und Beratungsgespräche und insbesondere durch begleitend intensivere Personalschulungen in Bezug auf Beobachtungen und Auswertungen des Spielerverhaltens diverse Kosten. (BMF, Glücksspielbericht 2014-2016, 7-8; vgl. auch Landesverwaltungsgericht Salzburg 25.03.2019, 405-10/438/1/22-2019). Die Bf. als Anbieterin von gewerblichem Kartenpokerspiel ist nicht an Maßnahmen des Responsible Gaming iSd § 25 GSpG bzw. bescheidmäßig gebunden, Kosten der Schulung der Mitarbeiter in Bezug auf Beobachtungen und Auswertungen des Spielerverhaltens oder Informations- und Beratungsgespräche im Zusammenhang mit Spielersperren entstehen bei der Bf. jedenfalls nicht zwingend.
- Auch bei erfolgreicher Anfechtung von Glücksspielverträgen durch Spielteilnehmer ist die Bf. im Hinblick auf mögliche steuerliche "Korrekturmechanismen" keinesfalls schlechter gestellt als die Spielbankkonzessionärin, die an § 25 Abs. 3 GSpG gebunden ist und daher schadenersatzpflichtig werden kann.
- Ein Kostenfaktor für die Spielbankkonzessionärin resultiert auch aus der verpflichtenden Risikoanalyse, die sie nach den Bestimmungen zur Verhinderung der Geldwäsche und der Terrorismusfinanzierung, insbesondere § 31c GSpG, durchzuführen hat. Die Bf. trifft eine solche glücksspielgesetzliche Verpflichtung nicht.
Die Bf. hat vornehmlich die Werbung der Spielbankkonzessionärin für eine "Pokertour 2019" im Licht des Unionsrechtes für bedenklich gehalten. Ihr ist entgegenzuhalten, dass diese Werbung als geeignet angesehen werden kann, die Spieler von den illegalen Spielmöglichkeiten zu den legalen hinzuleiten, denn der Verwaltungsgerichtshof hat es für die Durchführung der Gesamtwürdigung als Wesentlich angesehen, dass es demgegenüber zu einer Ausweitung des Spielerschutzes und Implementierung umfangreicher Regelungen zur Verhinderung von Geldwäsche und Terrorismusfinanzierung kam. (VwGH 11.7.2018, Ra 2018/17/0048; VwGH 24.04.2019, Ra 2017/17/0962).
Mit den Glücksspielgesetznovellen 2010 war auch eine Konzession für eine Spielbank in Form eines Pokersalons vorgesehen, die durch das StRefG 2015/16 wieder gestrichen wurde. Die Bf. als Veranstalterin von Kartenpokerspielen mit gewerberechtlicher Bewilligung war grundsätzlich Adressatin des durch das StRefG 2015/16 wieder gestrichenen § 22 GSpG gewesen, wonach Konzessionen für drei Spielbanken in Form von Pokersalons vergeben werden konnten. Sie hätte sich darum bewerben bzw. ihr Interesse daran bekunden können.
Über die von der Bf. weiteren aufgeworfenen Rechtsfragen wurde zusammengefasst folgendes entschieden:
10.4. Poker ist ein Glücksspiel iSd § 1 Abs. 1 GSpG, § 1 Abs. 2 GSpG ist lediglich eine Klarstellung: Poker ist nach der ständigen Judikatur des Verwaltungsgerichtshofes bereits aufgrund des § 1 Abs. 1 GSpG ein Glücksspiel (VwGH 8.9.2005, 2000/17/0201; VwGH 21.1.2019, Ra 2018/17/0150 ua). Auch wenn Geschicklichkeitsmomente vorhanden sind, ist es dem Gesetzgeber nicht verwehrt, Poker dem Glücksspielgesetz zu unterwerfen. Die definitive Anführung von Poker als Glücksspiel in § 1 Abs. 2 GSpG dient lediglich der Klarstellung und ist nicht verfassungswidrig. Eines Sachverständigengutachtens über die Zufallsabhängigkeit von Poker bedarf es daher nicht. (VfGH 27.6.2013, G 26/2013 G 90/2012; VwGH 18.10.2016, Ro 2014/16/0041; VwGH 4.5.2017, Ra 2017/16/0035; VwGH 19.10.2017, Ro 2015/16/0024; VwGH 27.3.2018, Ro 2017/17/0025 und VwGH 11.07.2018, Ra 2018/17/0048, VwGH 22.10.2018, Ro 2018/16/0028, VwGH 21.1.2019, Ro 2018/17/0007, VwGH 21.1.2019, Ra 2018/17/0150 und VwGH 26.3.2019, Ro 2019/17/0003). Das Bundesfinanzgericht hat sich nicht auf die von der Bf. zitierte Literatur gestützt, sondern auf die Literatur zum bürgerlichen Recht, insbesondere auf Stefula in Fenyves/Kerschner/Vonklich, Klang3 § 1270-1272. Auch im Zeitraum Juli 2013 bis Februar 2014, in dem das Wort "Poker" in § 1 Abs. 2 GSpG durch VfGH 27.6.2013, G 26/2013 aufgehoben gewesen war, fallen Glücksspielabgaben an, weil bereits vor Aufnahme des Wortes "Poker" in die demonstrative Aufzählung des § 1 Abs. 2 GSpG Poker als Glücksspiel qualifiziert wurde. (Beschluss VwGH 26.3.2019, Ro 2019/17/0003 (BFG 19.10.2017, RV/7103493/2014)).
10.5. Rechtsverkehrsbesteuerung von Poker: Poker unterlag bereits vor dem 1.1.2011 den Rechtsgeschäftsgebühren, das ergab sich aus dem Verweis in § 33 TP 17 Abs. 1 Z 7 GebG "Glücksspiele (§ 1 Abs. 1 GSpG) ….". Ab 1.1.2011 wurden diese speziellen Gebühren durch die Glücksspielabgabe ersetzt. Poker ist ab 1.1.2011 daher glücksspielabgabenpflichtig gemäß § 57 Abs. 1 GSpG als "Ausspielungen ….". Es kommt für das Vorliegen einer Ausspielung iSd § 2 GSpG auf die Möglichkeit zur Erlangung einer Gegenleistung an, die durch das Organisieren von Kartenspielen geschaffen wird (VwGH 19.10.2017, Ro 2015/16/0024 Rn 26).
10.6. Steuerbelastung: Nach dem eindeutigen Gesetzeswortlaut des § 57 Abs. 1 erster Satz GSpG unterliegen Ausspielungen einer Glücksspielabgabe von 16 vH vom "Einsatz". (Beschluss VwGH 21.1.2019, Ro 2018/17/0007 (BFG 25.9.2017, RV/7100907/2012 und RV/7100908/2012)). In der Steuerbelastung der tatsächlich getätigten Einsätze mit 16% konnte der VwGH eine exzessive Steuerbelastung nicht erkennen, die Bf. muss die Kartenpokerspiele so organisieren, dass die Glücksspielabgabe entrichtet werden kann (VfGH 8.6.2017, E 1330/2016, E 1756/2016 (BFG 13. Mai 2016, RV/7101232/2012 und BFG 10.6.2016, RV/7101758/2012); VwGH 19.10.2017, Ro 2015/16/0024 Rn 35, 36). Ein "Degressionsabschlag", wie ihn die Bf. in ihrem Beispiel berechnete, ist nach der derzeitigen Rechtsprechung des Bundesfinanzgerichtes nicht vorgesehen. (z.B. UFS 11.5.2011, RV/0500-I/10, UFS 13.5.2011, RV/0499-I/10, UFS 7.10.2011, RV/0743-W/11; BFG 10.10.2014, RV/3100566/2012; BFG 13.10.2014, RV/3100567/2012 ua).
10.7. Bemessungsgrundlage Einsätze/Jahresbruttospieleinnahmen: Das Verhältnis der Glücksspielabgabe zum Jahresumsatz und Jahresergebnis der Bf. sind unternehmerische Parameter, die kein Kriterium für die Glücksspielabgabenbesteuerung für Kartenpokerspiel außerhalb von Spielbanken darstellen (VwGH 19.10.2017, Ro 2015/16/0024 Rn 36). Anders als im Sachverhalt des von der Bf. vorgebrachten Urteils des EuGH in der Rechtssache Berlington Hungary (EuGH 11.6.2015, C-98/14 Berlington Hungary Tanacsado es Szolgaltato kft ua.), ist die Bf. durch 16% Glücksspielabgabe von den Einsätzen nicht schlechter gestellt, als sie es durch die Spielbankabgabe mit 30% von den Jahresbruttospieleinnahmen der Spiele, die im Spielbankbetrieb gespielt werden, wäre, insbesondere auch im Hinblick darauf, dass die Spielbankkonzession gemäß § 21 Abs. 2 Z 3 GSpG nur einem Konzessionswerber erteilt darf, wenn die Kapitalgesellschaft über ein eingezahltes Stamm- oder Grundkapital von mindestens 22 Millionen Euro verfügt, diese Konzession auf 15 Jahre erteilt wird, die Obliegenheitspflichten gemäß § 25 Abs. 3 GSpG eingehalten werden, sowie dass der Spielbankkonzessionär gemäß § 59a GSpG den Antrag auf Konzessionserteilung mit 10.000 Euro und die Erteilung der Konzession mit 100.000 Euro vergebühren muss. "Indessen trifft dies auf gewerberechtlich befugte Pokersalonbetreiber nicht zu, sodass deren unterschiedliche Behandlung keinen Bedenken begegnet." (VwGH 20.1.2016, 2013/17/0325). In den Bemessungsgrundlagen Einsatz, Gewinn oder Jahresbruttospieleinnahmen sind sowohl die Einsätze des "Gewinners", als auch die Einsätze des "Verlierers" enthalten. Bezogen auf das Kartenpokerspiel geben z.B. 10 Spielteilnehmer pro Person 10 Euro Spieleinsatz hin. Im Zeitpunkt der Hingabe des Spieleinsatzes wissen die Teilnehmer des Kartenpokerspiels noch nicht, wer von ihnen gewinnen oder verlieren wird. Dieser Betrag, der an die Spielergemeinschaft geleistet wird, wird der Glücksspielabgabe von 16% unterzogen, (§ 59 Abs. 1 Z 2 GSpG iVm § 2 Abs. 1 Z 2 GSpG), da die Steuerschuld mit der Erbringung der Einsätze entsteht. Auf diesen Zeitpunkt bezogen, "wenn die Einsätze auf dem Tisch liegen", hätte die Bf. als Veranstalterin die Steuer einzubehalten und abzuführen. Da die §§ 57 ff GSpG keine vergleichbaren Bestimmungen zu § 30 GebG enthalten, kann der "Verlierer" für die Glücksspielabgabe nicht in Anspruch genommen werden.
10.8. § 57 Abs. 6 GSpG ist keine Bestimmung, die konzessionierte Spielbanken im Gegensatz zu nichtkonzessionierten Anbietern befreit, sondern eine Vorschrift zur Verhinderung der Doppelbesteuerung von Spielbankabgabe und Glücksspielabgabe, vergleichbar § 15 Abs. 3 GebG. Eine steuerliche Ungleichbehandlung kann auch nicht darin liegen, dass diese Glücksspielabgabe für konzessionierte Spielbanken als besondere Glücksspielabgabe Spielbankabgabe heißt und nicht konzessionierte Unternehmungen mit den Glücksspielen der allgemeinen Glückspielabgabe unterliegen. Aus der historischen Interpretation des § 57 Abs. 6 Z 1 GSpG ist dessen Zweck als Doppelbesteuerungsvermeidung unmittelbar evident. Eine Ungleichbehandlung der Bf. gegenüber der Spielbankkonzessionärin kann aus § 57 Abs. 6 Z 1 GSpG nicht abgeleitet werden.
10.9. Gewerberechtlichen Pokercasinos: Die Übergangsvorschrift des § 60 Abs. 24 GSpG (jetzt § 60 Abs. 36 GSpG) ist im Zusammenhang mit der früheren Bestimmung über die Pokersalonkonzession gemäß § 22 GSpG zu sehen und stellte das in den gewerberechtlichen Pokercasinos veranstaltete Pokerspiel bis 31.12.2019 straffrei. Da die Glücksspielabgaben gemäß §§ 57-59 GSpG sowohl verbotene, als auch erlaubte Ausspielungen erfassen (VwGH 19.10.2017, Ro 2015/16/0024 Rn 29), unterliegt auch das in den gewerberechtlichen Pokersalons veranstaltete, bis 31.12.2019 straffreie und damit bis 31.12.2019 erlaubte, Pokerspiel den Glücksspielabgaben. Ob das unternehmerische Anbieten von Poker außerhalb von Spielbanken aufgrund einer Gewerbeberechtigung bis zu den GSpG-Nov 2008/2010 verboten war oder nicht, ist für die Glücksspielabgabe nicht relevant (VwGH 19.10.2017, Ro 2015/16/0024 Rn 24), bei Anwendung der "alten Rechtslage" waren Rechtsgeschäftsgebühren gemäß §33 TP 17 Abs 1 Z 7 GebG zu zahlen. (VwGH 19.10.2017, Ro 2015/16/0024 Rn 25). § 59 Abs 2 GSpG regelt, wer zur Zahlung der Glücksspielabgaben verpflichtet ist. Unter "Berechtigungsverhältnis" iSd zweiten Teilstriches des § 59 Abs 2 Z 1 GSpG ist nicht eine Gewerbeberechtigung zu verstehen, sondern eine glücksspielgesetzliche Konzession oder Bewilligung für Landesausspielungen mit Glücksspielautomaten (VwGH 19.10.2017, Ro 2015/16/0024 Rn 22).
10.10. Die Glücksspielabgaben iSd § 57 GSpG verstoßen nicht gegen das unionsrechtliche Beihilfenverbot iSd Art. 107 Abs 1 AEUV, da kein zwingender Zusammenhang zwischen der Glücksspielabgabe und der Verwendung deren Steuerertrages für die Finanzierung einer Beihilfe vorliegt (VwGH 19.10.2017, Ro 2015/16/0024 Rn 31, 32; VwGH 26.3.2019, Ro 2019/17/0003). Die "asymmetrische Belastung" mit einer "exzessiven Abgabe" alleine erfüllt noch nicht den Tatbestand einer Beihilfenmaßnahme. (Beschluss VwGH 22.10.2018, Ro 2018/16/0028 (BFG 25.9.2017, RV/7100908/2012)). Selbst wenn dem Konzessionär in Bezug auf Glücksspielabgabe - Spielbankabgabe ein finanzieller Vorteil gewährt würde, ist festzuhalten, dass dem Konzessionär auf Grund von Bestimmungen des Glücksspielgesetzes, die der Verhinderung von Spielsucht, Kriminalität und Geldwäscherei dienen, hohe Zusatzkosten entstehen. Weiters hat er die Kosten der Überwachung der Einhaltung dieser Bestimmungen durch den Bundesminister für Finanzen zu tragen (vgl. § 19 Abs. 1 GSpG). (VwGH 21.1.2019, Ro 2018/17/0007 Rn 24). Die Gegenüberstellung der Kosten der Spielbankkonzessionärin zu den Kosten der Bf. in Tabellen- und Textform ergab, dass die Bf. auch von ihrer finanziellen Belastung her gegenüber der Spielbankkonzessionärin nicht im Nachteil ist.
10.11. Da die Bf. keinen grenzüberschreitenden Sachverhalt erfüllt, kann kein Vorabentscheidungsersuchen an den EuGH gerichtet werden. Nach der Judikatur der Höchstgerichte (VwGH 16.3.2016, Ro 2015/17/0022 und OGH 30.3.2016, 4 Ob 31/16m), ist auch bei "reinen Inlandssachverhalten" der Verstoß gegen Unionsrecht zu untersuchen, da dieser Verfassungswidrigkeit wegen "Inländerdiskriminierung" auslöst. Die Untersuchung ergab, dass tatsächlich und nach den Beschlüssen des Verfassungsgerichtshofes keine Unionsrechtswidrigkeit der Glücksspielabgaben und daraus folgende Inländerdiskriminierung, die einen Normprüfungsantrag an den Verfassungsgerichtshof gerechtfertigt hätte, vorliegt. Die Ablehnungsbeschlüsse sind zwar keine "Sachentscheidungen", sie bilden jedoch ein starkes Indiz für die verfassungsrechtliche Unbedenklichkeit der der Glücksspielabgaben gemäß §§ 57 ff GSpG (Pfau, Das Bundesfinanzgericht als Antragsteller im Normenprüfungsverfahren, ÖStZ 2014/566, 349).
12. Schlussfolgerungen
Zur Glücksspielabgabenpflicht von Poker:
Dadurch, dass die Bf. in ihrem gewerberechtlichen Pokercasino im Zeitraum Februar 2012 bis Dezember 2015 Kartenpokerspiele veranstaltete, erfüllte sie beide Voraussetzungen der von § 57 Abs. 1 GSpG geforderten "Ausspielung":
1. durch tatsächlichen Abschluss der entsprechenden zivilrechtlichen Glücksverträge gemäß § 1272 ABGB (Kartenpokerspielverträge) zwischen den Spielteilnehmern liegen Glücksspiele iSd § 1 Abs. 1 und § 1 Abs. 2 GSpG vor, und
2. durch das Anbieten der konkreten Spielmöglichkeiten in ihren Räumlichkeiten ist die Bf. Unternehmerin iSd § 2 GSpG.
Mit den "Ausspielungen" setzte die Bf. das Auslösemoment für die Glücksspielabgabenpflicht gemäß § 57 Abs. 1 GSpG in Höhe von 16% vom Einsatz, bzw. bei Turnierspielen in Höhe von 16% vom in Aussicht gestellten Gewinn.
Die Glücksspielabgabe ist nicht an eine Gewerbeberechtigung gebunden, da jeder - gleichgültig, ob mit oder ohne Gewerbeberechtigung - der die Glücksverträge Kartenpokerspiel anbietet und veranstaltet, das Glücksspielabgabenmoment auslöst. Eine Gewerbeberechtigung zum "Halten erlaubter Kartenspiele - Poker" schiebt die Strafbarkeit des "verbotenen Spiels" bis 31.12.2019 hinaus, aber löst nicht aus der Glücksspielabgabenverpflichtung heraus. Da die Bf. glücksspielrechtliche Unternehmerin ist, trifft auf sie das Tatbestandsmerkmal Veranstalterin, die die Spielmöglichkeiten anbietet, zu und ist sie damit Glücksspielabgabenschuldnerin gemäß § 59 Abs. 2 GSpG zweiter Spiegelstrich.
Poker ist nach der ständigen Judikatur des Verwaltungsgerichtshofes bereits aufgrund des § 1 Abs. 1 GSpG ein Glücksspiel, auch im Zeitraum Juli 2013 bis Februar 2014, in dem das Wort "Poker" in § 1 Abs. 2 GSpG durch VfGH 27.6.2013, G 26/2013 aufgehoben gewesen war, unterliegt es daher den Glücksspielabgaben gemäß § 57 GSpG, weil bereits vor Aufnahme des Wortes "Poker" in die demonstrative Aufzählung des § 1 Abs. 2 GSpG Poker als Glücksspiel qualifiziert wurde. (VwGH 8.9.2005, 2000/17/0201; VwGH 21.1.2019, Ra 2018/17/0150 ua; Beschluss VwGH 26.3.2019, Ro 2019/17/0003 (BFG 19.10.2017, RV/7103493/2014)). Die Rechtsgeschäftgebühren/Glücksspielabgabenpflicht für Kartenpokerspiel - auch im "aufgehobenen" Zeitraum Juli 2013 bis Februar 2014 - steht nach der Judikatur des Verwaltungsgerichtshofes außer Zweifel (VwGH 18.10.2016, Ro 2014/16/0041; VwGH 4.5.2017, Ra 2017/16/0035; VwGH 19.10.2017, Ro 2015/16/0024; VwGH 27.3.2018, Ro 2017/17/0025; VwGH 22.10.2018, Ro 2018/16/0028; VwGH 21.1.2019, Ra 2018/17/0150; VwGH 21.1.2019, Ro 2018/17/0007; VwGH 26.3.2019, Ro 2019/17/0003 dazu ausführlich Punkt 7.2. dieses Erkenntnisses).
Glücksspielabgaben von Poker im Licht von Unions- und Verfassungsrecht:
Nach EuGH 30.4.2014, C-390/12 Rn 50, 52 Rs Pfleger muss bei Prüfung der Unionsrechtswidrigkeit die Gesamtwürdigung auf alle Umstände Bedacht nehmen, unter denen eine Regelung erlassen wurde und dynamisch sein, da auch die Entwicklung der Umstände nach Erlaß der betreffenden Regelung berücksichtigt werden müssen. Aufgrund der in diesem Erkenntnis durchgeführten Untersuchung und nach der zitierten Judikatur des Verfassungs- und Verwaltungsgerichtshofes sind die Glücksspielabgaben weder verfassungs- noch unionsrechtswidrig, weswegen kein Antrag an den Verfassungsgerichtshof auf Normenprüfung und - infolge Inlandssachverhaltes - kein Vorabentscheidungsverfahren an den EuGH angestrengt wurde.
Zum zentralen Vorbringen der Bf.
In der Steuerbelastung der tatsächlich getätigten Einsätze mit 16% konnte der VwGH 19.10.2017, Ro 2016/16/0024 Rn 35, 36 eine exzessive Besteuerung nicht erkennen. Sowohl der VwGH, als auch der VfGH 8.6.2017, E 1330/2016 stellten fest, dass die Kartenpokerspiele so organisiert werden müssen, dass die Glücksspielabgabe entrichtet werden kann.
Eine Schlechterstellung der Bf., die Glücksspielabgabe zu entrichten hat, gegenüber der Spielbankkonzessionärin liegt abgabenrechtlich nicht vor, da die Spielbankkonzessionärin Spielbankabgabe abzuführen hat. Die Spielbankkonzessionärin hat im Zusammenhang mit der Konzession feste Gebühren von 10.000/100.000 Euro zu leisten, die Bf. als Veranstalterin von gewerblichem Kartenpokerspiel hatte allenfalls 47,30/83,60 Euro zu leisten und wäre seit 2017 allenfalls gemäß § 333a GewO davon befreit. Weiters hat die Spielbankkonzessionärin zwingend nicht nur Aufwendungen an Grund- und Stammkapital von 22,000.000 Euro gegenüber der Bf. mit 35.000/70.000 Euro, sondern die Spielbankkonzessionärin muss auch die Obliegenheitsverpflichtungen des Spielerschutzes gemäß § 25 Abs.3 GSpG einhalten. Wie der VfGH 15.10.2016, E 945/2016 und der VwGH 16.3.2016, 2015/17/0022, VwGH 11.07.2018, Ra 2018/17/0048 in ihren Entscheidungen über die Unionsrechtskonformität des Glücksspielmonopols in den Jahren 2016 und 2018 festhielten, ist nicht Spielerschutz gegen Werbung "aufzurechnen", sondern eine gesamtheitliche Betrachtung durchzuführen, die in diesem Erkenntnis im Zusammenhang mit den Glücksspielabgaben durchgeführt wurde.
§ 57 Abs. 6 Z 1 GSpG enthält genaugenommen keine Befreiung des Spielbankkonzessionärs von der Glücksspielabgabe, sondern eine Vermeidung der Doppelbesteuerung mit Spielbankabgabe UND Glücksspielabgabe. § 57 Abs. 6 Z 1 GSpG ist keine verbotene Beihilfe, und die von der Bf. genannte Werbung der Spielbankkonzessionärin kann betrieben werden, um Spieler von den illegalen Spielmöglichkeiten zu den legalen hinzuleiten, da es durch die Glücksspielnovellen 2010 zu einer tatsächlichen Ausweitung des ordnungspolitischen Anliegens des Spielerschutzes kam und umfangreiche Regelungen zur Verhinderung von Geldwäsche und Terrorismusfinanzierung getroffen wurden.
Zu den Beweisanträgen
Die beiden anlässlich der mündlichen Verhandlung gestellten Beweisanträge wurden, da beide Beweisthemen als weiter ausformulierte Beschwerdegründe ohnehin im Rahmen der Erwägungen behandelt wurden, wegen Unerheblichkeit bzw. Offenkundigkeit der Tatsachen (Gesetzesbestimmungen und höchstgerichtliche Entscheidungen) abgelehnt.
Aus all diesen Gründen war den Beschwerden gegen die 47 Glücksspielabgabenbescheide der Erfolg zu versagen. Die Bescheide bleiben aufrecht.
13. Unzulässigkeit der Revision
Gegen ein Erkenntnis des Bundesfinanzgerichtes ist die Revision zulässig, wenn sie von der Lösung einer Rechtsfrage abhängt, der grundsätzliche Bedeutung zukommt, insbesondere weil das Erkenntnis von der Rechtsprechung des Verwaltungsgerichtshofes abweicht, eine solche Rechtsprechung fehlt oder die zu lösende Rechtsfrage in der bisherigen Rechtsprechung des Verwaltungsgerichtshofes nicht einheitlich beantwortet wird.
Das Bundesfinanzgericht ist von der zitierten Rechtsprechung VwGH 18.10.2016, Ro 2014/16/0041; VwGH 4.5.2017, Ra 2017/16/0035; VwGH 19.10.2017, Ro 2015/16/0024; ; VwGH 27.3.2018, Ro 2017/17/0025 und VwGH 11.07.2018, Ra 2018/17/0048, VwGH 22.10.2018, Ro 2018/16/0028, VwGH 21.1.2019, Ro 2018/17/0007, VwGH 21.1.2019, Ra 2018/17/0150 und VwGH 26.3.2019, Ro 2019/17/0003 nicht abgewichen.
Das Bundesfinanzgericht ist der zitierten Rechtsprechung gefolgt.
Wien, am 13. September 2019
Zusatzinformationen | |
|---|---|
Materie: | Steuer, Glücksspiel |
betroffene Normen: | § 57 Abs. 1 GSpG, Glücksspielgesetz, BGBl. Nr. 620/1989 |
Verweise: | VwGH 16.03.2016, 2015/17/0022 |
