446. Verordnung des Bundesministers für Wirtschaft, Familie und Jugend über die Erprobung von Patronen für Handfeuerwaffen 2013 (Patronenprüfordnung 2013)
Auf Grund der §§ 12 bis 15 und 22 des Beschußgesetzes, BGBl. Nr. 141/1951, zuletzt geändert durch das Bundesgesetz BGBl. I Nr. 50/2012, wird verordnet:
Inhaltsverzeichnis
§ 1. Sachlicher Geltungsbereich
§ 2. Begriffsbestimmungen
§ 3. Arten der Munitionsprüfung
§ 4. Information des Ständigen Büro der Ständigen Internationalen Kommission für die Prüfung von Handfeuerwaffen (C.I.P.)
§ 5. Einreichung zur Typenprüfung
§ 6. Probennahme bei Typenprüfung
§ 7. Durchführung der Typenprüfung
§ 8. Sichtprüfung
§ 9. Kontrolle der Kennzeichnung der Packungen
§ 10. Kontrolle des Inhaltes der Packungen
§ 11. Kontrolle der Kennzeichnung der Munition
§ 12. Kontrolle der Oberfläche der Munition
§ 13. Kontrolle der Bestandteile der Patronen mit bleifreien Schroten
§ 14. Kontrolle der Abmessungen der Munition
§ 15. Überprüfung des mittleren Gasdruckes der Munition
§ 16. Überprüfung bei Patronen mit bleifreien Schroten
§ 17. Prüfung der Funktionssicherheit der Munition
§ 18. Kontrolle der Prüfeinrichtungen des Herstellers
§ 19. Kontrolle der Prüfeinrichtungen des Importeurs
§ 20. Pflichten der Berechtigten
§ 21. Probennahme für die Fabrikationskontrolle
§ 22. Durchführung der Fabrikationskontrolle
§ 23. Durchführung der Inspektionskontrolle
§ 24. Anwendungsbereich
§ 25. Arten der Gasdruckmessung
§ 26. Vorbereitung und Durchführung der Gasdruckmessung
§ 27. Auswertung der Gasdruckmessung
§ 28. Gasdruckmessung mittels mechanisch-elektrischer Druckaufnehmer
§ 29. Gasdruckmessung mittels Stauchkörper
§ 30. Gasdruckmessung bei Munition für Handfeuerwaffen mit glatten Läufen und
Zentralfeuerzündung
§ 31. Gasdruckmessung bei Munition für Handfeuerwaffen mit gezogenen Läufen und
Zentralfeuerzündung
§ 32. Gasdruckmessung bei Patronen für Handfeuerwaffen mit Randfeuerzündung
§ 33. Gasdruckmessung bei Treibkartuschen mit Hülse für Schussapparate
§ 34. Gasdruckmessung bei Kartuschen für Alarmwaffen
§ 35. Gasdruckmessung bei Patronen für Kleinschrotwaffen (cartouches à grenaille)
§ 36. Ermittlung der Geschoßenergie
§ 37. Ermittlung der Geschoßenergie bei Patronen für Handfeuerwaffen mit Randfeuerzündung
§ 38. Ermittlung der Geschoßenergie bei Kartuschen für Alarmwaffen
§ 39. Ermittlung des Mündungsimpulses bei Patronen mit bleifreien Schroten
§ 40. Anwendungsbereich
§ 41. Messsystem für die Kalibrierung
§ 42. Primärdruckaufnehmer
§ 43. Referenzdruckaufnehmer
§ 44. Primäre Kalibrierung
§ 45. Sekundäre Kalibrierung
§ 46. Wiederholte Kalibrierung
§ 47. Ausscheiden eines Druckaufnehmers
§ 48. Wahl des Kalibrators
§ 49. Statischer Kalibrator
§ 50. Dynamischer Kalibrator
§ 51. Auswertung der Messergebnisse
§ 52. Verbindlicherklärung von ÖNORMEN
§ 53. Verbindlicherklärung von ON-Regeln
§ 54. Sprachliche Gleichbehandlung
§ 55. Verweisungen
§ 56. Inkrafttreten und Außerkrafttreten
§ 57. EU-Notifikation
Anlage 1: ÖNORMEN
Anlage 2: ON-Regeln
1. Hauptstück
Allgemeine Bestimmungen
Sachlicher Geltungsbereich
§ 1. (1) Die Bestimmungen dieser Verordnung sind bei der Erprobung von Munition für Handfeuerwaffen sowie bei deren Kennzeichnung und Verpackung anzuwenden.
(2) Diese Verordnung ist nicht anzuwenden auf:
- 1. Munition für militärische Zwecke;
- 2. Versuchsmunition einer neuen Munitionstype, die in der Entwicklungs-, Untersuchungs- oder Überarbeitungsphase in kleinen Mengen für Versuche an Personen geliefert wird, die nicht zum Personal des Herstellers gehören;
- 3. Munition, die in geringen Stückzahlen ausschließlich für den persönlichen Gebrauch geladen oder wiedergeladen wird.
(3) Die Erprobung einer Type von Verbrauchsmunition, welche in einem anderen Mitgliedstaat des Übereinkommens über die gegenseitige Anerkennung von Beschusszeichen für Handfeuerwaffen, BGBl. Nr. 269/1971 in der Fassung des Artikels II des Bundesgesetzes BGBl. Nr. 233/1984, hergestellt wird, unterliegt grundsätzlich nicht den Bestimmungen dieser Verordnung; sie kann vom Beschussamt nur in jenem Fall vorgenommen werden, wenn das Beschussamt des anderen Mitgliedstaates darum ersucht und bestätigt, dass technische Gründe vorliegen, welche eine Erprobung dort nicht möglich machen.
(4) Munition für Handfeuerwaffen darf gewerbsmäßig nur in Verkehr gebracht werden, wenn sie den Bestimmungen dieser Verordnung entspricht. Munition, welche mit einem gemäß den Bestimmungen der Prüfzeichenverordnung 2013, BGBl. II Nr. 444/2013, anerkannten Prüfzeichen versehen ist, gilt als den Bestimmungen dieser Verordnung entsprechend. Munition für Handfeuerwaffen, welche sich im Verkaufslager eines Händlers befindet, gilt als gewerbsmäßig in den Verkehr gebracht.
(5) Die Haftung des Herstellers bzw. des Importeurs von Munition wird durch die Bestimmungen dieser Verordnung nicht berührt.
Begriffsbestimmungen
§ 2. Im Sinne dieser Verordnung gilt als:
- 1. Patrone: jenes technische Produkt, in dem Zündeinrichtung, Treibladung und Geschoß, mit oder ohne Hülse, zu einer Einheit zusammengefügt sind;
- 2. Kartusche: Hülse mit Zündeinrichtung, mit oder ohne Treibladung, die zum Abfeuern in Schussapparaten und Alarmwaffen bestimmt ist;
- 3. Munition: die Gesamtheit von Patronen und Kartuschen;
- 4. Gebrauchsmunition: jede Munition für Handfeuerwaffen mit Ausnahme der Beschussmunition;
- 5. Beschussmunition: jene Munition, welche zur amtlichen Erprobung von Handfeuerwaffen verwendet wird;
- 6. Hochleistungspatrone: jene Patrone, welche nur aus Waffen mit glatten Läufen, die den verstärkten Beschuss (§ 14 Abs. 5 Z 2 und 3 der Beschussverordnung 2013, BGBl. II Nr. 445/2013) oder den „Stahlschrotbeschuss“ gemäß § 14 Abs. 5 Z 4 der Beschussverordnung 2013 bestanden haben, verschossen werden darf;
- 7. Munitionstype: die jeweilige, durch die in den jeweils in Betracht kommenden, in § 53 angeführten ON-Regeln angegebene Kaliberbezeichnung oder durch eine übliche Handelsbezeichnung bestimmte Ausführungsart von Munition, zB „Kaliber 7x64 mit Kegelspitzgeschoß“;
- 8. Los: die Gesamtheit der Munition derselben Munitionstype, die in Serie gefertigt und von demselben Hersteller geladen wird; jedes Los gilt als geändert, wenn einer der Bestandteile, aus denen die Munition besteht, verändert wird;
- 9. Packung: jener kleinste Behälter, in dem Munition üblicherweise im Handel an den Endverbraucher abgegeben wird;
- 10. Handfeuerwaffe: jedes in § 1 Abs. 2 der Beschussverordnung 2013 als Handfeuerwaffe bezeichnete Gerät.
2. Hauptstück
Munitionsprüfung
1. Abschnitt
Allgemeines
Arten der Munitionsprüfung
§ 3. (1) Die Munition und deren Herstellung ist durch das Beschussamt bzw. durch den Hersteller oder den Importeur unter Aufsicht des Beschussamtes zu überprüfen; dabei ist gegebenenfalls unterstützend auf die Sachinhalte rechtskräftiger Beschlüsse der Ständigen Internationalen Kommission für die Prüfung von Handfeuerwaffen (Commission Internationale Permanente pour l'épreuve des armes à feu portatives - C.I.P.), BGBl. Nr. 269/1971, Bedacht zu nehmen.
(2) Folgende Kontrollen sind vorgesehen:
- 1. Kontrolle der Munitionstype (Typenprüfung, §§ 5 bis 17);
- 2. Kontrolle der Prüfeinrichtungen des Herstellers (§ 18) bzw. des Importeurs (§ 19);
- 3. Kontrolle der Fabrikation (Fabrikationskontrolle, §§ 20 bis 22);
- 4. Inspektionskontrolle (§ 23).
(3) Aufgrund der erfolgreich bestandenen Typenprüfung kann vom Hersteller oder vom Importeur das Prüfzeichen gemäß § 7 Abs. 5 auf der Packung angebracht werden.
(4) Aufgrund der erfolgreich bestandenen Kontrolle der Prüfeinrichtungen kann dem Hersteller oder dem Importeur auf seinen Antrag hin das Recht eingeräumt werden, die Fabrikationskontrolle selbst vorzunehmen. Die Fabrikationskontrolle ist die Überwachung der für die Sicherheit der Munition maßgeblichen Parameter während der laufenden Fabrikation.
(5) Die Inspektionskontrolle ist die amtliche Überwachung der zum in Verkehr bringen bestimmten Munition.
(6) Es obliegt:
- 1. die Typenprüfung und die Kontrolle der Prüfeinrichtungen des Herstellers oder des Importeurs dem Beschussamt;
- 2. die Fabrikationskontrolle dem Hersteller bzw. dem hierzu ermächtigten Importeur oder auf deren Antrag dem Beschussamt;
- 3. die Inspektionskontrolle dem Beschussamt, das sich hierzu auch der Einrichtungen des Herstellers oder des Importeurs bedienen kann.
Information des Ständigen Büro der Ständigen Internationalen Kommission für die Prüfung von Handfeuerwaffen (C.I.P.)
§ 4. Von der Erteilung (§ 7 Abs. 2 und 3) und der Entziehung (§ 23 Abs. 6) des Rechtes für eine bestimmte Munitionstype das Prüfzeichen gemäß § 7 Abs. 5 zu verwenden, sowie von allen gemäß § 23 Abs. 5 und 6 getroffenen Verfügungen hat das Beschussamt das Ständige Büro der C.I.P. in Kenntnis zu setzen. Betrifft die Zulassung ein Kaliber, dessen Abmessungen noch nicht durch einen gültigen Beschluss der C.I.P. festgelegt wurden, so ist der Mitteilung das entsprechend ausgefüllte TDCC-Datenblatt der C.I.P. anzuschließen.
2. Abschnitt
Typenprüfung
Einreichung zur Typenprüfung
§ 5. (1) Die Einreichung von Munition zur Typenprüfung hat mittels Formulars des Beschussamtes („Einreichblatt“) zu erfolgen. Das Formular hat folgende Angaben zu enthalten:
- 1. Name (Firma) und Anschrift des Einreichers;
- 2. Datum der Einreichung;
- 3. Name (Firma) des Herstellers bzw. des Importeurs;
- 4. Bezeichnung der Munitionstype;
- 5. bei Munitionstypen, die nicht in den in § 53 angeführten ON-Regeln enthalten sind, den Hinweis, welcher handelsüblichen Bezeichnung die eingereichte Munitionstype entspricht;
- 6. die voraussichtliche Stückzahl der Lose, deren Herstellung oder Einfuhr beabsichtigt ist;
- 7. die Angabe, in welchen verschiedenen Ausführungsarten (zB mit verschiedenen Pulversorten, Geschoßgewichten, Zündhütchenmodellen, als Gebrauchs-, Hochleistungs- oder Beschussmunition) die eingereichte Munitionstype in Verkehr gebracht werden soll;
- 8. gegebenenfalls den Antrag des Importeurs, die Selbstvornahme der Fabrikationskontrolle dieser Munitionstype zu bewilligen;
- 9. gegebenenfalls den Antrag des Herstellers bzw. des Importeurs, die Fabrikationskontrolle dieser Munitionstype durch das Beschussamt vornehmen zu lassen.
(2) Weist eine zur Typenprüfung eingereichte Munitionstype Abweichungen von den für sie in Betracht kommenden, in § 53 angeführten ON-Regeln auf, oder ist sie in keiner dieser ON-Regeln enthalten, sind dem Formular geeignete Belege (Beschreibungen, maßstabsgerechte Zeichnungen usw.), aus denen die Abweichungen oder die Kenndaten der Munitionstype klar ersichtlich sind, anzuschließen. Die Typenprüfung ist in diesem Fall auf der Grundlage der vom Hersteller gemachten vollständigen Angaben durchzuführen. In diesem Fall sind in dem Bescheid (§ 7 Abs. 2) der zulässige mittlere Maximalgasdruck, welcher höchstens 4.400 bar betragen darf, der gemessene mittlere Gasdruck und alle anderen vom Hersteller gemachten und im Rahmen der Typenprüfung zu überprüfenden Angaben anzuführen. Diese Angaben sind als Grundlage für die Kontrolle der Munition dieses Kalibers solange heranzuziehen, bis das betreffende Kaliber in ein für verbindlich erklärtes technisches Normenwerk aufgenommen wurde.
(3) Wird bei der Einreichung einer Munitionstype zur Typenprüfung, mit Ausnahme von Schrotmunition, keine Angabe über den zulässigen mittleren Maximalgasdruck gemacht, oder wurde der Gasdruck nach einer von den Bestimmungen des 3. Hauptstückes abweichenden Messmethode ermittelt, so ist der zulässige mittlere Maximalgasdruck durch Multiplikation des gemäß den Bestimmungen des 3. Hauptstückes gemessenen Gasdruckes mit dem Faktor 1,07 festzulegen.
(4) Wird bei der Einreichung einer Munitionstype zur Typenprüfung die Selbstvornahme der Fabrikationskontrolle dieser Munitionstype durch den Importeur nicht beantragt und stellt dieser auch keinen Antrag gemäß Abs. 1 Z 9, so ist dem Formular eine Bescheinigung des Herstellers dieser Munitionstype anzuschließen, in welcher dieser bestätigt, dass die Fabrikationskontrolle an dieser Munitionstype von ihm unter sinngemäßer Anwendung der Bestimmungen des 4. Abschnittes durchgeführt werden wird. Der Importeur hat diesfalls für jedes von ihm importierte Munitionslos den Nachweis über die vom Hersteller durchgeführte Fabrikatinskontrolle auf der Grundlage des vom Hersteller erstellten Prüfprotokolls zu erbringen.
(5) Wird bei der Einreichung einer Munitionstype zur Typenprüfung die Selbstvornahme der Fabrikationskontrolle dieser Munitionstype durch den Importeur beantragt, so ist gleichzeitig damit die Genehmigung zur Verwendung der jeweiligen Prüfeinrichtungen durch das Beschussamt beantragt. Diesem Antrag sind ein Verzeichnis der vorhandenen Prüfeinrichtungen, deren genaue Beschreibung und entsprechende, maßstabsgerechte Zeichnungen anzuschließen.
(6) Die für die Typenprüfung bestimmte Munition ist anlässlich der Einreichung in der gemäß § 6 vorgeschriebenen Anzahl und in der für ihr in Verkehr bringen vorgesehenen Packung dem Beschussamt zu übergeben.
Probennahme für Typenprüfung
§ 6. (1) Die Probenahme für die Typenprüfung einer Munitionstype hat, sofern Abs. 2 nichts anderes bestimmt, an einem fertiggestellten Los, dessen Stückzahl mindestens 3000 Stück beträgt, zu erfolgen. Von mehreren Losen derselben Munitionstype ist für die Entnahme der Proben jenes Los heranzuziehen, welches die Munition mit dem vom Hersteller oder Importeur angegebenen höchsten Maximalgasdruck enthält.
(2) Die Typenprüfung ist an der doppelten Anzahl der sich aus der Tabelle des § 21 Abs. 2 ergebenden Anzahl von Munition vorzunehmen. Die Typenprüfung für eine Munitionstype, von der innerhalb eines Kalenderjahres voraussichtlich weniger als 3000 Stück hergestellt oder eingeführt werden, ist jeweils an einer im gleichen Verhältnis zu dieser Zahl kleineren Stückzahl von Munition vorzunehmen. Die Mindestanzahl beträgt für
- 1. die Sichtprüfung und die Kontrolle der Abmessungen: 50 Stück;
- 2. die Gasdruckprüfung, die Prüfung der Geschoßgeschwindigkeit und die Ermittlung des Mündungsimpulses: 10 Stück;
- 3. die Funktionsprüfung: 10 Stück.
Durchführung der Typenprüfung
§ 7. (1) Die Typenprüfung umfasst:
- 1. die Sichtprüfung (§§ 8 bis 13);
- 2. die Kontrolle der Abmessungen (§ 14);
- 3. die Überprüfung des mittleren Gasdruckes (§ 15) oder an dessen Stelle die entsprechenden Vergleichswerte für Spezialmunition (zB Treibkartuschen mit Hülse für Schussapparate);
- 4. die zusätzlichen Überprüfungen bei Patronen mit bleifreien Schroten (§ 16);
- 5. die Prüfung der Funktionssicherheit (§ 17);
- 6. die Kontrolle der Prüfeinrichtungen des Herstellers gemäß § 18 bzw. gegebenenfalls des Importeurs gemäß § 19.
(2) Wird die Typenprüfung für eine bestimmte Munitionstype hinsichtlich aller in Abs.1 bezeichneten Punkte bestanden, so ist dem Einreicher mit Bescheid das Recht zu erteilen, für diese Munitionstype das Prüfzeichen gemäß Abs. 5 zu verwenden (zugelassene Munitionstype); dieses Recht ist insbesondere mit den Auflagen zu verbinden,
- 1. alle weiteren Lose dieser Munitionstype der zugelassenen Munitionstype entsprechend auszuführen;
- 2. die im Rahmen der Inspektionskontrolle (§ 23) benötigte Munition über Aufforderung und nach Auswahl durch das Beschussamt bereitzustellen.
Ist der Einreicher der Importeur der zugelassenen Munitionstype, so kann mit diesem Bescheid gegebenenfalls die Ermächtigung des Importeurs zur Selbstvornahme der Fabrikationskontrolle (§ 19 Abs. 2) verbunden werden.
(3) Wird die Typenprüfung für eine bestimmte Munitionstype ausschließlich hinsichtlich der in Abs. 1 Z 1 bis 5 bezeichneten Punkte bestanden, so ist dem Hersteller bzw. Importeur mit Bescheid das Recht zu erteilen, für diese Munitionstype das Prüfzeichen gemäß Abs. 5 zu verwenden (zugelassene Munitionstype)., wobei dieses Recht insbesondere mit den Auflagen zu verbinden ist,
- 1. alle weiteren Lose dieser Munitionstype der zugelassenen Munitionstype entsprechend auszuführen;
- 2. jedes gefertigte Los dem Beschussamt zur Durchführung der Fabrikationskontrolle vorzulegen;
- 3. die im Rahmen der Inspektionskontrolle (§ 23) benötigte Munition über Aufforderung und nach Auswahl durch das Beschussamt bereitzustellen.
(4) Der Typenprüfungsbescheid hat insbesondere folgende Angaben zu enthalten:
- 1. Name (Firma) und Anschrift des Einreichers;
- 2. Bezeichnung der, der Prüfung unterzogenen Munitionstype (zB „Kaliber 7x64 mit Kegelspitzgeschoß“);
- 3. Datum der Typenprüfung;
- 4. alle Auflagen gemäß Abs. 2 bzw. Abs. 3.
(5) Das Typenprüfzeichen besteht aus dem unten dargestellten Zeichen in Verbindung mit dem Zeichen für das Beschussamt gemäß § 19 Abs. 4 Z 5 der Beschussverordnung 2013. Die Zeichen dürfen nur in allseitig gleicher linearer Vergrößerung oder Verkleinerung verwendet werden.
CIP
M
(6) Wird die Typenprüfung für eine bestimmte Munitionstype nicht bestanden, kann Munition derselben Type, aber eines anderen Loses, neuerlich zur Typenprüfung eingereicht werden.
Sichtprüfung
§ 8. Die Sichtprüfung umfasst:
- 1. die Kontrolle der Kennzeichnung der Packungen (§ 9);
- 2. die Kontrolle des Inhaltes der Packungen (§ 10);
- 3. die Kontrolle der Kennzeichnung der Munition (§ 11);
- 4. die Kontrolle der Oberfläche der Munition (§ 12);
- 5. die Kontrolle der Bestandteile der Patronen mit bleifreien Schroten (§ 13).
Kontrolle der Kennzeichnung der Packungen
§ 9. (1) Jede Packung hat folgende Angaben aufzuweisen:
- 1. Name oder Marke des Herstellers oder desjenigen, für den die in der Packung enthaltene Munition geladen wurde bzw. welcher verantwortlich ist für die Übereinstimmung der in der Packung enthaltenen Munition mit den Bestimmungen dieser Verordnung;
- 2. die Typenbezeichnung gemäß den jeweils in Betracht kommenden, in § 53 angeführten ON-Regeln oder die übliche Handelsbezeichnung der in der Packung enthaltenen Munition;
- 3. die Identifikationsnummer des Loses und die Anzahl der in der Packung enthaltenen Anzahl von Munition;
- 4. das Prüfzeichen, gemäß § 7 Abs. 5 in einwandfrei erkennbarer Ausführung;
- 5. bei Packungen für Hochleistungspatronen zusätzlich:
- a) bei Patronen, die mit Bleischrot geladen sind, ein deutlicher Hinweis, dass diese nur aus Handfeuerwaffen verschossen werden dürfen, die dem verstärkten Beschuss unterzogen wurden
- b) bei Patronen mit bleifreien Schroten, ein eindeutiger Hinweis darauf, dass diese nur aus Waffen verschossen werden dürfen, die dem „Stahlschrotbeschuss“ gemäß § 14 Abs. 5 Z 4 der Beschussverordnung 2013 erfolgreich unterzogen wurden; wenn der Durchmesser der Kugeln bei Kaliber 12 größer als 4 mm, bei Kaliber 16 größer als 3,5 mm und bei Kaliber 20 größer als 3,25 mm ist, ein weiterer deutlicher Hinweis darauf, dass diese Patronen nur aus Handfeuerwaffen verschossen werden dürfen, deren Laufverengung an der Mündung („Choke“) maximal 0,5 mm beträgt.
- 6. bei Packungen für Patronen mit bleifreien Schroten die Angabe des Typs der Schrote und die Art des verwendeten Materials aus dem sie bestehen; bei Patronen mit bleifreien Schroten der Typen B und C zusätzlich die Aufschrift: „Es ist auf Abpraller zu achten und das Schießen auf feste und harte Oberflächen zu vermeiden“;
- 7. bei Packungen für Beschussmunition den deutlichen Hinweis darauf, dass diese nur für die amtliche Erprobung von Handfeuerwaffen bestimmt ist;
- 8. bei Packungen für wiedergeladene Munition zusätzlich einen Hinweis, der klar zum Ausdruck bringt, dass es sich um wiedergeladene Munition handelt;
- 9. bei Packungen für Munition, deren Wirkung durch die Freisetzung von flüssigen oder gasförmigen Substanzen erzielt wird, einen Hinweis über diese Substanzen;
- 10. bei Packungen für Munition mit Vollgeschoßen, deren Härte im Kern größer ist als die von Bleischrot, einen Hinweis darauf, dass die Benutzung dieser Munition in Läufen mit Polygonalprofil nicht gestattet ist; diese Verpflichtung entfällt, wenn der Einreicher (§ 5 Abs. 1 Z 1) Resultate vorlegt, welche schlüssig beweisen, dass bei Benutzung dieser Munition in Läufen mit Polygonalprofil der Gasdruck innerhalb der Grenzen der für die jeweils in Betracht kommenden, in § 53 angeführten ON-Regeln enthaltenen Munitionstypen bleibt.
(2) Jede Packung muss fest verschlossen und für den Transport geeignet sein.
(3) Die Kontrolle gilt als bestanden, wenn
- 1. auf keiner Packung die Merkmale gemäß Abs. 1 Z 2, 5, 6, 9 und 10 fehlen, und
- 2. die Merkmale gemäß Abs. 1 Z 1, 3, 4, 7 und 8 auf jeweils nicht mehr als 3, 5, 8 oder 12 Packungen, je nach der Größe des Loses (§ 21 Abs. 2), fehlen.
Kontrolle des Inhaltes der Packungen
§ 10. Es ist zu kontrollieren, ob in den geprüften Packungen kein Stück einer anderen als der auf der Packung angegebenen Munitionstype enthalten ist. Die Kontrolle gilt als bestanden, wenn kein einziges Stück einer anderen Munitionstype gefunden wird.
Kontrolle der Kennzeichnung der Munition
§ 11. (1) Jede Munition, auch die wiedergeladene, muss folgende deutlich sichtbare und dauerhafte Kennzeichnungen aufweisen:
- 1. Name, Firma (Marke) oder amtsbekanntes Kurzzeichen des Herstellers oder des Importeurs, entweder auf dem Hülsenboden oder auf der Hülse; bei wiedergeladener Munition sind die vorherigen Kennzeichnungen ungültig zu machen;
- 2. bei Munition mit Zentralfeuerzündung zusätzlich zur Kennzeichnung gemäß Z 1 die Angabe des Kalibers gemäß den jeweils in Betracht kommenden, in § 53 angeführten ON-Regeln oder der Handelsbezeichnung der Munition auf dem Hülsenboden; ist es aus technischen Gründen nicht möglich, das Kaliber auf dem Hülsenboden anzugeben, kann es auf dem Hülsenkörper angegeben werden;
- 3. bei Patronen, die mit Schroten geladen sind, zusätzlich zur Kennzeichnung gemäß Z 1 die Angabe des Durchmessers in Millimeter oder die Nummer der Kugeln und die Länge der Hülse, sofern diese länger ist als
- a) 65 mm bei Kaliber 20 und darüber;
- b) 63,5 mm bei Kaliber 24 und darunter;
- 4. bei Patronen mit bleifreien Schroten, zusätzlich zur Kennzeichnung gemäß Z 1 die Kennzeichnung „Stahlschrot“ oder „bille d'acier“ oder „Steel Shot“ oder das Zeichen gemäß § 19 Abs. 4 Z 4 der Beschussverordnung 2013 sowie die Angabe des wesentlichen Materials der Schrote auf der Patronenhülse;
- 5. bei Patronen des Kalibers 20 muss die Hülse gelb sein; dies gilt jedoch nicht für die zum Zeitpunkt der Erlassung dieser Verordnung nachweislich bereits auf dem Markt befindlichen Patronen.
(2) Hochleistungs- und Beschussmunition muss - außer den in Abs. 1 genannten Kennzeichnungen - zusätzlich wie folgt kenntlich gemacht sein:
- 1. Beschussmunition: entweder durch einen gerändelten Hülsenboden oder durch die Farbe Rot an der rückwärtigen Fläche des Hülsenbodens bzw. durch eine Hülse mit roter Farbe oder durch die Aufschrift „Beschussmunition“ auf der Patronenhülse unter Hinzufügung des entsprechenden Beschussgasdruckes;
- 2. Hochleistungsmunition: entweder durch eine andere Farbe als Rot an der rückwärtigen Fläche des Hülsenbodens oder durch die Aufschrift „Max. 1050 bar“ bzw. „Für mit 1370 bar geprüfte Waffen“ auf der Patronenhülse.
- 3. Hochleistungsmunition mit bleifreien Schroten (Härte HV1 40): ein zusätzlicher deutlicher Hinweis, dass die Munition nur aus Waffen verschossen werden darf, die dem „Stahlschrotbeschuss“ gemäß § 14 Abs. 5 Z 4 der Beschussverordnung 2013 standgehalten haben.
- 4. Hochleistungsmunition mit bleifreien Schroten (Härte HV1 40) wenn der Durchmesser der Schrote bei Kaliber 12 größer als 4 mm, bei Kaliber 16 größer als 3,5 mm und bei Kaliber 20 größer als 3,25 mm ist: ein zusätzlicher deutlicher Hinweis, dass die Munition nur aus Waffen verschossen werden darf, die dem „Stahlschrotbeschuss“ gemäß § 14 Abs. 5 Z 4 der Beschussverordnung 2013 standgehalten haben und deren Lauf bzw. Läufe einen Choke 0,5 mm hat bzw. haben.
(3) Die Kontrolle gilt als bestanden, wenn
- 1. auf keiner Munition die Kennzeichnung gemäß Abs. 1 Z 2 und 4 sowie gemäß Abs. 2 fehlen;
- 2. die Kennzeichnungen gemäß Abs. 1 Z 1 und 3 jeweils auf nicht mehr als 3, 5, 8 oder 12 Stücken von Munition, je nach der Größe des Loses (§ 21 Abs. 2), fehlen.
Kontrolle der Oberfläche der Munition
§ 12. Die Oberfläche der Munition ist auf Materialfehler und Riefen zu kontrollieren. Die Kontrolle gilt als bestanden, wenn
- 1. auf keiner Munitionshülse Längsrisse am Hülsenmund mit mehr als 3 mm Länge, andere Längs- oder Querrisse oder ein Bodenriss und
- 2. auf nicht mehr als 3, 5, 8 und 12 Stücken Munition, je nach der Größe des Loses (§ 21 Abs. 2), Längsrisse am Hülsenmund mit einer Länge von höchstens 3 mm festgestellt werden.
Kontrolle der Bestandteile der Patronen mit bleifreien Schroten
§ 13. (1) Patronen mit bleifreien Schroten im Sinne dieser Verordnung sind Patronen, welche homogene bleifreie Schrote mit einer Härte 40 HV1 aber
110 HV1 im Mittel (Einzelwert
125 HV1) (Typ B) oder heterogene bleifreie Schrote mit einer Deformation
45% (Typ C) enthalten. Falls bleifreie Schrote nicht einwandfrei als homogen oder heterogen klassifiziert und auf Grund von Versuchen nicht einwandfrei einem der vorstehend genannten Typen zugeordnet werden können, kann das Beschussamt vom Einreicher verlangen, dass Versuche mit der Waffe zur Festlegung der Spezifikationen der Patronen (Geschwindigkeit und Impuls) durchgeführt werden.
(2) Heterogene bleifreie Schrote mit einer Deformation kleiner als die von Stahlschrot desselben Durchmessers dürfen nicht in Patronen verladen sein.
(3) Patronen mit bleifreien Schroten sind zusätzlich auf ihre Bestandteile zu überprüfen. Die Kontrolle gilt als bestanden, wenn jede Patrone so ausgeführt ist, dass die Reibung des Schrotes im Lauf vermieden wird und der Schrot in einem ausreichend festen Behälter (Kunststoff, Karton oder anderes Material) enthalten ist. Der Behälter muss den Schuss bei Außentemperaturen im Bereich von -20 °C bis +50 °C aushalten.
(4) Bleifreie Schrote der Typen B und C, die in Normalpatronen verladen sind, müssen für Patronen
- 1. im Kaliber 12 einen Durchmesser von 3,25 mm (+ 2,0%),
- 2. im Kaliber 16 einen Durchmesser von 3,00 mm (+ 2,0%),
- 3. im Kaliber 20 einen Durchmesser von 3,00 mm (+ 2,0 %)
aufweisen.
Kontrolle der Abmessungen der Munition
§ 14. (1) Folgende Maße sind aus Gründen der Sicherheit einzuhalten und zu prüfen, soweit sie für die betreffende Munitionstype in den jeweils in Betracht kommenden, in § 53 angeführten ON-Regeln angegeben sind:
- 1. Bei Patronen für Handfeuerwaffen mit gezogenen Läufen, einschließlich Patronen für Pistolen und Revolver und Randfeuerpatronen:
- a) L3: Länge vom Hülsenboden bis zum Hülsenmund (Gesamtlänge der Hülse, Maximalmaß Patrone);
- b) H2: Durchmesser am Hülsenmund (Maximalmaß Patrone);
- c) G1: Durchmesser des Geschoßes am Hülsenmund (Maximalmaß Patrone);
- d) die Länge L3 G unter Berücksichtigung
- 2. Bei Schrotpatronen für Handfeuerwaffen mit glatten Läufen:
- a) d: Durchmesser der Hülse am Hülsenboden;
- b) t: Dicke des Randes am Hülsenboden
- 3. Bei Kartuschen für Schussapparate:
- a) L3: Länge vom Hülsenboden bis zum Hülsenmund (Gesamtlänge der Hülse, Maximalmaß Kartusche);
- b) H2: Durchmesser am Hülsenmund (Maximalmaß Kartusche).
- 4. Bei Kartuschen für Alarmwaffen:
- a) L3: Länge vom Hülsenboden bis zum Hülsenmund (Gesamtlänge der Hülse, Maximalmaß Kartusche);
- b) L6: Gesamtlänge der Hülse vor dem Schuss;
- c) H2: Durchmesser am Ende des zylindrischen Teils der Hülse.
- 5. Bei Patronen für Kleinschrotwaffen (cartouches à grenaille):
- a) L3: Länge vom Hülsenboden bis zum Hülsenmund (Gesamtlänge der Hülse, Maximalmaß Patrone);
- b) P1: Durchmesser der Hülse am Ende von Rille oder Rand;
- c) H2: Durchmesser am Ende des zylindrischen Teils der Hülse;
- d) R: Dicke des Hülsenrandes (Randdicke).
(2) Folgende Maße, die eine Munitionstype bestimmen, sind zu prüfen, soweit sie für die betreffende Munitionstype in den jeweils in Betracht kommenden, in § 53 angeführten ON-Regeln angegeben sind:
- 1. Bei Patronen für Handfeuerwaffen mit gezogenen Läufen, einschließlich Patronen für Pistolen und Revolver und Randfeuerpatronen:
- a) L1: Länge vom Hülsenboden bis Anfang der Schulter (bei Durchmesser P2);
- b) L2: Länge vom Hülsenboden bis Anfang Hülsenhals (bei Durchmesser H1);
- c) L3: Länge vom Hülsenboden bis zum Hülsenmund;
- d) R : Dicke des Hülsenrandes (Randdicke);
- e) R1: Durchmesser des Hülsenbodens;
- f) E : Länge vom Hülsenboden bis Ende Gürtel P1;
- g) P1: Durchmesser der Hülse am Ende von Rille, Rand oder Gürtel;
- h) P2: Durchmesser der Hülse am Anfang der Schulter;
- i) H1: Durchmesser am Anfang des Hülsenhalses;
- j) H2: Durchmesser am Hülsenmund;
- k) G1: Durchmesser des Geschoßes am Hülsenmund.
- 2. Bei Schrotpatronen für Handfeuerwaffen mit glatten Läufen: Die unter Abs. 1 Z 2 angeführten Abmessungen und zusätzlich die Gesamtlänge l der Hülse vor dem Schuss. Die festgestellten Maße müssen, unter Berücksichtigung der Toleranzen, jenen Werten entsprechen, welche in der ON-Regel 191395 angegeben sind.
- 3. Bei Kartuschen für Schussapparate:
- a) L3: Gesamtlänge der Hülse nach dem Schuss;
- b) L6: Gesamtlänge der Hülse vor dem Schuss;
- c) R: Dicke des Hülsenrandes (Randdicke);
- d) R1: Durchmesser des Hülsenbodens;
- e) P1: Durchmesser der Hülse am Ende von Rille oder Rand;
- f) H2: Durchmesser am Ende des zylindrischen Teiles der Hülse.
- 4. Bei Kartuschen für Alarmwaffen:
- a) L3: Gesamtlänge der Hülse nach dem Schuss;
- b) L6: Gesamtlänge der Hülse vor dem Schuss;
- c) R: Dicke des Hülsenrandes (Randdicke);
- d) R1: Durchmesser des Hülsenbodens;
- e) E: Dicke des Hülsenbodens;
- f) P1: Durchmesser der Hülse am Ende der Rille oder des Randes.
- g) H2: Durchmesser am Ende des zylindrischen Teiles der Hülse.
- 5. Bei Patronen für Kleinschrotwaffen:
- a) L3: Gesamtlänge der Hülse nach dem Schuss;
- b) L6: Gesamtlänge der Hülse vor dem Schuss;
- c) R: Dicke des Hülsenrandes (Randdicke);
- d) R1: Durchmesser des Hülsenbodens;
- e) E: Dicke des Hülsenbodens;
- f) P1: Durchmesser der Hülse am Ende von Rille oder Rand;
- g) H2: Durchmesser am Ende des zylindrischen Teiles der Hülse.
(3) Bei nicht in den jeweils in Betracht kommenden, in § 53 angeführten ON-Regeln enthaltenen Munitionstypen ist zu prüfen, ob
- 1. die Munition in das Patronenlager einer Handfeuerwaffe für Munition eines bereits in einer dieser ON-Regeln enthaltenen Kalibers mit gleichen oder ähnlichen Abmessungen und niedrigerem zulässigen mittleren Maximalgasdruck geladen und abgefeuert werden kann, oder
- 2. eine bereits in einer dieser ON-Regeln enthaltene Munition mit gleichen oder ähnlichen Abmessungen und höherem zulässigen mittleren Maximalgasdruck in das Patronenlager einer Handfeuerwaffe für die eingereichte Munitionstype mit geringerem zuzulassendem mittleren Maximalgasdruck geladen und abgefeuert werden kann.
(4) Die Maße gemäß Abs. 2 sind mittels einer Lehre von allgemeiner Form unter Berücksichtigung der in Abs. 1 Z 1 lit. d angeführten Mindestabmessungen der Patronenlager zu überprüfen. Alle entnommenen Stücke von Munition müssen sich in diese Lehre leicht einführen lassen.
(5) Es ist ferner zu überprüfen, ob das Zündhütchen nicht über die Ebene des Hülsenbodens hinausragt.
(6) Bei Patronen mit bleifreien Schroten hat die Härte der Schrote zu betragen:
- 1. an der Oberfläche: HV1 110;
- 2. im Inneren: HV1 100.
(7) Patronen, die für Kleinschrotwaffen bestimmt sind, müssen Abmessungen haben, die unterschiedlich sind von denjenigen der Kartuschen für Alarmwaffen, so dass es nicht möglich ist, solche Patronen in Alarmwaffen zu laden.
Überprüfung des mittleren Gasdruckes der Munition
§ 15. (1) Die Überprüfung des mittleren Gasdruckes der Munition ist an der in § 6 Abs. 2 festgelegten Anzahl von Munition in Anwendung der Bestimmungen des 3. Hauptstückes durchzuführen. Sofern für eine bestimmte Munitionstype in den jeweils in Betracht kommenden, in § 53 angeführten ON-Regeln kein Gasdruck angegeben ist, tritt an die Stelle der Gasdruckmessung die Ermittlung der Geschoßenergie gemäß § 35.
(2) Bei Gebrauchsmunition darf kein Einzelwert des ermittelten Gasdruckes den Wert Pmax um mehr als 15% und kein Einzelwert der ermittelten Geschoßenergie den Wert Emax um mehr als 7% überschreiten.
(3) Die Beschusspatronen für Handfeuerwaffen mit glatten Läufen haben folgenden Bedingungen zu entsprechen:
- 1. Der mittlere Gasdruck der Beschusspatronen hat an der ersten Stelle des Messlaufes dem in der ON-Regel 191395 angegeben Wert zu entsprechen.
- 2. Der mittlere Gasdruck der Beschusspatronen hat an der zweiten Messstelle des Messlaufes zwischen 450 bar und 600 bar zu betragen.
Die Bedingungen gemäß Z 1 und 2 sind für beide Beschussarten mit zwei gleichen Patronen, die gleichzeitig beiden Bedingungen genügen, zu erfüllen. Sollten solche Patronen nicht zur Verfügung stehen, so können zwei Patronen, welche die Bedingung der Z 1 erfüllen, sowie eine Patrone, welche die Bedingung der Z 2 erfüllt, verwendet werden.
(4) Die Schrotmasse der Beschusspatronen hat innerhalb der folgenden Grenzen zu liegen; der Durchmesser der Schrotkörner darf höchstens 3 mm betragen:
Kaliber | Schrotmasse in g |
10 | 38 - 47 |
12 | 33 - 42 |
14 | 30 - 37 |
16 | 27 - 34 |
20 | 23 - 30 |
24 | 21 - 28 |
28 | 19 - 25 |
32 | 15 - 21 |
410 | 7 - 13 |
9 mm | 5 - 10 |
(5) Die Beschusspatronen für Handfeuerwaffen mit gezogenen Läufen haben folgenden Bedingungen zu entsprechen: Der mittlere Gasdruck der Beschusspatronen hat im Regelfall um 25% höher zu sein als der höchstzulässige Gasdruck der für die betreffende Handfeuerwaffe vorgesehenen Gebrauchspatronen. Er ist in der jeweils in Betracht kommenden, in § 53 angeführten ON-Regel festgelegt.
Überprüfungen bei Patronen mit bleifreien Schroten
§ 16. (1) Bei Patronen mit bleifreien Schroten (§ 13 Abs. 1) sind zusätzlich zu den Prüfungen gemäß § 15 die mittlere Geschoßgeschwindigkeit (V2,5), der Mündungsimpuls (§ 39) sowie bei Normalpatronen die Schrotgröße zu überprüfen. Die einzuhaltenden Werte sind für
- 1. Kaliber 10/89, Hochleistungspatronen:
- a) mittlere Geschoßgeschwindigkeit 440 m/s;
- b) Mündungsimpuls: 19 Ns;
- 2. Kaliber 12, Normalpatronen:
- a) mittlere Geschoßgeschwindigkeit: 425 m/s;
- b) Mündungsimpuls: 12 Ns;
- c) Schrotgröße: 3,25 mm ( 2,0%);
- 3. Kaliber 12, Hochleistungspatronen:
- a) mittlere Geschoßgeschwindigkeit: 430 m/s;
- b) Kaliber 12/70 Mündungsimpuls: 13,5 Ns;
- c) Kaliber 12/73 Mündungsimpuls: 15,0 Ns;
- d) Kaliber 12/76 Mündungsimpuls: 15,0 Ns;
- e) Kaliber 12/89 Mündungsimpuls: 19,0 Ns;
- 4. Kaliber 16, Normalpatronen:
- a) mittlere Geschoßgeschwindigkeit: 390 m/s;
- b) Mündungsimpuls: 9,5 Ns;
- c) Schrotgröße: 3,0 mm ( 2,0%);
- 5. Kaliber 16/70, Hochleistungspatronen:
- a) mittlere Geschoßgeschwindigkeit: 420 m/s;
- b) Mündungsimpuls: 12,0 Ns;
- 6. Kaliber 20, Normalpatronen:
- a) mittlere Geschoßgeschwindigkeit: 410 m/s;
- b) Mündungsimpuls: 9,3 Ns;
- c) Schrotgröße: 3,0 mm (+ 2,0%);
- 7. Kaliber 20/70, Hochleistungspatronen:
- a) mittlere Geschoßgeschwindigkeit: 410 m/s;
- b) Mündungsimpuls: 11,0 Ns;
- 8. Kaliber 20/76, Hochleistungspatronen:
- a) mittlere Geschoßgeschwindigkeit: 430 m/s;
- b) Mündungsimpuls: 12,0 Ns;
(2) Die Beschusspatronen mit bleifreien Schroten haben folgenden Bedingungen zu entsprechen:
- 1. Patronen Kaliber 10/89:
- a) Schrotgröße: 4,6 mm;
- b) mittlerer Maximalgasdruck an der ersten Messstelle: 1320 bar (132 MPa);
- c) mittlerer Maximalgasdruck an der zweiten Messstelle: 450 bar bis 600 bar (45 MPa bis 60 MPa);
- d) Mündungsimpuls: 22 Ns;
- 2. Patronen Kaliber 12:
- a) Schrotgröße: 4,6 mm;
- b) mittlerer Maximalgasdruck an der ersten Messstelle: 1320 bar (132 MPa);
- c) mittlerer Maximalgasdruck an der zweiten Messstelle: 450 bar bis 600 bar (45 MPa bis 60 MPa);
- d) Mündungsimpuls Kaliber 12/70: 15,0 Ns;
- e) Mündungsimpuls Kaliber 12/73 bis 12/76: 17,5 Ns;
- f) Mündungsimpuls Kaliber 12/89: 21,5 Ns;
- 3. Patronen Kaliber 16:
- a) Schrotgröße: 3,8 mm;
- b) mittlerer Maximalgasdruck an der ersten Messstelle: 1320 bar (132 MPa);
- c) mittlerer Maximalgasdruck an der zweiten Messstelle: 450 bar bis 600 bar (45 MPa bis 60 MPa);
- d) Mündungsimpuls Kaliber 16/70: 13,5 Ns;
- 4. Patronen Kaliber 20:
- a) Schrotgröße: 3,8 mm;
- b) mittlerer Maximalgasdruck an der ersten Messstelle: 1320 bar (13 MPa);
- c) mittlerer Maximalgasdruck an der zweiten Messstelle: 450 bar bis 600 bar (45 MPa bis 60 MPa);
- d) Mündungsimpuls Kaliber 20/70: 12,5 Ns;
- e) Mündungsimpuls Kaliber 20/76: 14,0 Ns.
Prüfung der Funktionssicherheit der Munition
§ 17. (1) Die Prüfung der Funktionssicherheit ist unter Verwendung eines Messlaufes, der den Bedingungen des 3. Hauptstückes entspricht, oder mit einer Handfeuerwaffe durchzuführen, deren Kammerabmessungen jenen Maßen entsprechen, welche in den jeweils in Betracht kommenden, in § 53 angeführten ON-Regeln angegeben sind. Für die Prüfung der Funktionssicherheit der Patronen für Handfeuerwaffen mit glatten Läufen ist insbesondere eine Handfeuerwaffe zu verwenden, bei der die Maße des Patronenlagers und des Verschlussabstandes Höchstmaße sind.
(2) Bei der Durchführung der Fabrikationskontrolle (§ 22) kann abweichend von den Bestimmungen des Abs. 1 die Prüfung der Funktionssicherheit auch unter Verwendung einer Handfeuerwaffe durchgeführt werden, deren Kammerabmessungen innerhalb der in den jeweils in Betracht kommenden, in § 53 angeführten ON-Regeln angegebenen Grenzen liegen, und die vom Beschussamt anlässlich der Kontrolle der Prüfeinrichtungen gemäß § 19 zugelassen worden ist. Die charakteristischen Abmessungen dieser Handfeuerwaffe sind in ein Verzeichnis einzutragen.
(3) Bei Kartuschen für Alarmwaffen ist mit Hilfe eines Messlaufes zusätzlich das Auswerfen von Fragmenten oder Teilen der Hülse, des Pulvers, des Pfropfens oder anderer Elemente festzustellen, sofern diese ein Papierblatt im Format A2, mit 100 g/m² - 115 g/m² und einer Dicke von 0,12 mm ± 0,02 mm, das sich in einer Vorrichtung in einer Entfernung von 1,5 m vor der Mündung des Messlaufes befindet, durchschlagen.
(4) Die Prüfung der Funktionssicherheit gilt als bestanden, wenn an keiner Munition einer der folgenden Mängel festgestellt worden ist:
- 1. Gasaustritt nach hinten, über den Verschluss hinaus;
- 2. Steckenbleiben des Geschoßes oder von Bruchstücken desselben im Lauf;
- 3. Riss der Hülse, sofern sie zur Gänze oder zum Teil im Lauf verbleibt;
- 4. vollständige Beschädigung der Hülse;
- 5. Bersten des Hülsenbodens;
- 6. Bei Kartuschen für Alarmwaffen: Auswerfen von Fragmenten oder Teilen.
3. Abschnitt
Kontrollen der Prüfeinrichtungen
Kontrolle der Prüfeinrichtungen des Herstellers
§ 18. (1) Bei der Durchführung des Ermittlungsverfahrens zur Typenprüfung von Munition ist vom Beschussamt eine Kontrolle der Prüfeinrichtungen des Herstellers dahingehend vorzunehmen, ob dieser über die zur Feststellung der Abmessungen, zur Messung des Gasdrucks oder gegebenenfalls der Vergleichswerte für die eingereichte Munitionstype notwendigen Geräte und über entsprechend geschultes Personal zur Bedienung dieser Geräte verfügt.
(2) Die Kontrolle der Prüfeinrichtungen umfasst:
- 1. die Prüfung der Maßhaltigkeit der Gasdruckmessläufe;
- 2. die Zustandsprüfung der Messeinrichtungen unter Verwendung von Mustermunition oder eines kalibrierten Messlaufes;
- 3. die Prüfung der Lehren und der zur Prüfung der Munitionsmaße bestimmten Geräte;
- 4. die Prüfung der zur Kontrolle der Funktionssicherheit der Munition bestimmten Handfeuerwaffen.
(3) Das Ergebnis dieser Kontrolle ist integrierender Bestandteil der Zulassung der Munitionstype (§ 7 Abs. 1 bis 3).
Kontrolle der Prüfeinrichtungen des Importeurs
§ 19. (1) Beantragt der Importeur die Genehmigung der Verwendung seiner Prüfeinrichtungen zwecks Selbstvornahme der Fabrikationskontrolle, so hat das Beschussamt diese in dem in § 18 Abs. 1 und 2 beschriebenen Umfang zu kontrollieren.
(2) Ergibt diese Kontrolle, dass die Prüf- und Messeinrichtungen des Importeurs den Bestimmungen dieser Verordnung bzw. der Beschussverordnung 2013 entsprechen und zur Durchführung der Fabrikationskontrolle geeignet sind sowie entsprechend geschultes Personal zur Bedienung dieser Geräte zur Verfügung steht, ist der Importeur mit Bescheid zu ermächtigen, die Fabrikationskontrolle an allen Losen der betreffenden Munitionstype nach den Bestimmungen dieser Verordnung selbst durchzuführen; dieses Recht ist insbesondere mit der Auflage zu verbinden, jede Veränderung in den bestehenden Prüf- und Messeinrichtungen unverzüglich dem Beschussamt bekanntzugeben.
4. Abschnitt
Fabrikationskontrolle
Pflichten der Berechtigten
§ 20. (1) Wurde der Hersteller bzw. der Importeur gemäß § 7 Abs. 2 ermächtigt, für eine bestimmte Munitionstype das Prüfzeichen gemäß § 7 Abs. 5 zu verwenden, und wurde der Importeur ferner gemäß § 19 Abs. 2 ermächtigt, die Fabrikationskontrolle dieser Munitionstype selbst vorzunehmen, dann haben diese jedes Los der laufenden Erzeugung bzw. jedes eingeführte Los nach den Bestimmungen dieses Abschnittes zu überprüfen.
(2) Wurde der Hersteller bzw. der Importeur gemäß § 7 Abs. 3 ermächtigt, für eine bestimmte Munitionstype das Prüfzeichen gemäß § 7 Abs. 5 zu verwenden, so hat dieser jedes von ihm gefertigte Los dem Beschussamt zur Durchführung der Fabrikationskontrolle vorzulegen.
(3) Die Ergebnisse der Fabrikationskontrolle sind von demjenigen, der die Prüfungen entsprechend den Bestimmungen des § 22 durchführt, in ein fortlaufend geführtes und numeriertes Verzeichnis einzutragen. Dieses Verzeichnis ist jeweils 10 Jahre aufzubewahren. In den in Abs. 1 bezeichneten Fällen ist den Organen des Beschussamtes jederzeit Einsicht in dieses Verzeichnis zu gewähren.
Probennahme für die Fabrikationskontrolle
§ 21. (1) Die Entnahme der für die Fabrikationskontrolle bestimmten Stücke von Munition eines Loses hat stichprobenweise zu erfolgen; die entnommene Munition hat möglichst repräsentativ für das betreffende Los zu sein.
(2) Die Mindestanzahl der zu entnehmenden Munition beträgt in Stück:
35.001 | 150.001 | 500.001 | |||
Losgröße | bis zu | bis | bis | bis | |
35.000 | 150.000 | 500.000 | 1,500.000 | ||
1. | Prüfung der Maßhaltigkeit und Sichtprüfung | 125 | 200 | 315 | 500 |
2. | Gasdruckprüfung bzw. Prüfung der Geschwindigkeit und Ermittlung des Mündungsimpulses bei Patronen mit bleifreien Schroten | 20 | 30 | 30 | 50 |
3. | Funktionsprüfung | 20 | 32 | 32 | 50 |
(3) Bei Kartuschen für Schussapparate erfolgt die Probennahme für die Gasdruckprüfung an der stärksten Kartusche der Serie und umfasst, abweichend von Abs. 2, 12 Kartuschen für jedes beschlossene Zusatzvolumen (§ 33 Abs. 1).
(4) Die in Abs. 2 angegebene Mindestanzahl kann geändert werden, wenn der Hersteller über ein zertifiziertes Qualitätssicherungssystem (Serie ISO 9000) verfügt. Es muss in diesem Fall beim Beschussamt ein Prüfplan eingereicht werden. Das Beschussamt kann eine Kontrolle während der Herstellung genehmigen, wenn die Überprüfung des Prüfplanes ergeben hat, dass alle übrigen Bestimmungen dieser Verordnung vollständig eingehalten werden.
Durchführung der Fabrikationskontrolle
§ 22. (1) Die Fabrikationskontrolle umfasst:
- 1. die Sichtprüfung (§§ 8 bis 13);
- 2. die Kontrolle der Abmessungen (§ 14);
- 3. die Überprüfung des mittleren Gasdruckes (§ 15) oder an dessen Stelle die entsprechenden Vergleichswerte für Spezialmunition (zB Treibkartuschen mit Hülse für Schussapparate);
- 4. die zusätzlichen Überprüfungen bei Patronen mit bleifreien Schroten (§ 16);
- 5. die Prüfung der Funktionssicherheit (§ 17).
(2) Die Losgröße einer zugelassenen Munitionstype (§ 7 Abs. 2) darf für die Fabrikationskontrolle bei Zentralfeuerpatronen 500.000 Stück, bei Randfeuerpatronen und Kartuschen 1,500.000 Stück nicht überschreiten.
(3) Für die Sichtprüfung sind die §§ 8 bis 13 mit der Maßgabe anzuwenden, dass die Zahlenreihen in § 9 Abs. 3 Z 2, § 11 Abs. 3 Z 2 und § 12 Z 2 jeweils 2, 3, 5, und 8 zu lauten haben.
(4) Für die Fabrikationskontrolle ist die gemäß § 26 Abs. 1 vorgeschriebene Lagerung der Munition unter besonderen klimatischen Bedingungen nicht erforderlich. In Grenzfällen ist jedoch die Gasdruckmessung unter Einhaltung dieser Bedingungen zu wiederholen. Die dadurch erhaltenen Messwerte sind sodann endgültig maßgeblich.
(5) Die gemessenen Gasdruckwerte und die ermittelten Werte der Geschoßenergie haben den Bestimmungen der §§ 30 bis 38 zu entsprechen. Trifft dies nicht zu und überschreitet der ermittelte höchste Grenzwert nicht den Wert 1,15 Pmax bzw. 1,07 Emax, dann ist eine Gegenprobe mit der doppelten Anzahl von Munition vorzunehmen. Der Durchschnitt der Ergebnisse der Probe und der Gegenprobe zusammengenommen muss den eingangs genannten Bestimmungen entsprechen. Ist dies nicht der Fall, dann darf die Munition dieses Loses nur als Hochleistungspatronen oder als Beschussmunition unter Einhaltung der in den §§ 9 Abs. 1 Z 5 und 11 Abs. 2 genannten Erfordernisse in Verkehr gebracht werden. Wenn bei Schussapparaten eine der Bedingungen nicht erfüllt ist, hat eine zusätzliche Kontrolle an weiteren zwölf Kartuschen zu erfolgen.
(6) Wird die Fabrikationskontrolle aus anderen als den in Abs. 5 genannten Gründen nicht bestanden, dann ist das betreffende Los zur Nacharbeit zurückzustellen. Eine neuerliche Fabrikationskontrolle dieses Loses ist nach erfolgter Nachbearbeitung zulässig.
5. Abschnitt
Inspektionskontrolle
Durchführung der Inspektionskontrolle
§ 23. (1) Das Beschussamt hat von Amts wegen eine Inspektionskontrolle vorzunehmen bei
- 1. zur Fabrikationskontrolle nicht ermächtigten Importeuren hinsichtlich jedes von diesen eingeführten Loses, jedoch mindestens einmal jährlich;
- 2. zur Fabrikationskontrolle ermächtigten Herstellern und Importeuren (§ 19 Abs. 2) mindestens alle drei Jahre;
- 3. allen Herstellern und Importeuren dann, wenn der begründete Verdacht besteht, dass ein in Verkehr gesetztes oder dazu bestimmtes Los einer Munitionstype, für die eine Typengenehmigung (§ 7 Abs. 2 und 3) oder die Berechtigung zur Führung eines gemäß den Bestimmungen der Prüfzeichenverordnung 2013 anerkannten Prüfzeichens besteht, ganz oder teilweise nicht den Bestimmungen dieser Verordnung entspricht.
(2) Die Inspektionskontrolle hat zu umfassen:
- 1. In den Fällen des Abs. 1 Z 1 und 3:
- a) eine Überprüfung der importierten Munition auf ihre Übereinstimmung mit bestehenden Typengenehmigungen (§ 7 Abs. 2 und 3);
- b) eine Überprüfung der Bescheinigungen über die vom Hersteller durchgeführten Fabrikationskontrollen (§ 5 Abs. 4);
- c) eine der Fabrikationskontrolle (§ 22) entsprechende Kontrolle an einem Los nach Auswahl des Beschussamtes.
- 2. In den Fällen des Abs. 1 Z 2:
- a) eine Kontrolle der Prüfeinrichtungen gemäß § 19;
- b) eine Kontrolle des gemäß § 20 Abs. 3 zu führenden Verzeichnisses;
- c) eine der Fabrikationskontrolle (§ 22) entsprechende Kontrolle an einem Los nach Auswahl des Beschussamtes.
(3) Für die Probennahme bei der Inspektionskontrolle gilt § 21 mit folgender Maßgabe: Werden von einer zugelassenen Munitionstype weniger als 3 000 Stück je Lieferung gefertigt bzw. importiert, dann ist jeweils eine im gleichen Verhältnis zu dieser Zahl kleinere Anzahl von Munition heranzuziehen. Das Beschussamt hat aber die Inspektionskontrolle jedenfalls an Munition eines einzigen Loses und zumindest an der in § 6 Abs. 2 angebenden Anzahl durchzuführen.
(4) Über die durchgeführte Inspektionskontrolle hat das Beschussamt eine Bestätigung auszustellen. Hat die Inspektionskontrolle ergeben, dass Bestimmungen dieser Verordnung nicht eingehalten wurden, sind die betreffenden Mängel in der Bestätigung anzuführen; gleichzeitig ist, soweit die Mängel behebbar sind, eine angemessene Frist zu deren Behebung zu setzen.
(5) Ergibt die Inspektionskontrolle unbehebbare Mängel oder wurden behebbare Mängel innerhalb der gesetzten Frist (Abs. 4) nicht behoben, hat das Beschussamt mit Bescheid zu verfügen, dass die von solchen Mängeln betroffenen Lose nicht in Verkehr gebracht werden dürfen. Besteht ein solcher Mangel ausschließlich in zu hohen Werten für den Gasdruck oder für die Geschoßenergie, kann das Beschussamt verfügen, dass die betroffenen Lose nur in Verkehr gebracht werden dürfen, wenn die Munition gemäß § 11 Abs. 2 und die Packungen gemäß § 9 Abs. 1 Z 5 gekennzeichnet wurden.
(6) Sind vorgefundene Mängel so beschaffen, dass sie eine Gefährdung von Personen, insbesondere der Benützer der Munition befürchten lassen, hat das Beschussamt eine neuerliche, der Fabrikationskontrolle (§ 22) entsprechende Kontrolle an dem betroffenen oder einem anderen Los derselben Munitionstype, aber an der doppelten Anzahl der sich aus § 6 Abs. 2 und § 21 ergebenden Stückzahl vorzunehmen. Ergibt diese neuerliche Kontrolle keine sicherheitsgefährdenden Mängel, hat das Beschussamt nach Abs. 4 und 5, zweiter Satz, vorzugehen. Ergibt auch diese Kontrolle denselben oder einen anderen sicherheitsgefährdenden Mangel, hat das Beschussamt die Typengenehmigung (§ 7 Abs. 2 und 3) für die betreffende Munitionstype zu entziehen und zu verfügen, dass bereits in Verkehr gebrachte derartige Munition zurückgezogen wird. Besteht für die betreffende Munitionstype die Berechtigung zur Führung eines gemäß den Bestimmungen der Prüfzeichenverordnung 2013 gleichzuachtenden Prüfzeichens, hat das Beschussamt zu verfügen, dass die betroffenen Lose nicht in Verkehr gebracht werden dürfen bzw. bereits in Verkehr gebrachte derartige Munition zurückgezogen wird und gleichzeitig die zuständige Behörde des betreffenden Staates und das Ständige Büro der C.I.P. über den vorgefundenen Mangel zu informieren.
3. Hauptstück
Messung des Gasdruckes und Ermittlung der Geschoßenergie sowie des Mündungsimpulses
1. Abschnitt
Allgemeines
Anwendungsbereich
§ 24. (1) Die Bestimmungen dieses Hauptstückes sind bei der gemäß den Bestimmungen des 2. Hauptstückes vorzunehmenden Überprüfung des mittleren Gasdruckes, der Geschoßenergie und des Mündungsimpulses von Munition anzuwenden.
(2) Sofern für eine bestimmte Munitionstype in der jeweils in Betracht kommenden, in § 53 angeführten ON-Regel kein Gasdruck angegeben ist, tritt an die Stelle der Messung des Gasdruckes die Ermittlung der Geschoßenergie. Dabei sind die Bestimmungen dieses Hauptstückes sinngemäß anzuwenden.
2. Abschnitt
Messung des Gasdruckes
Arten der Gasdruckmessung
§ 25. (1) In der Regel ist der Gasdruck mittels eines gemäß den Bestimmungen des 4. Hauptstückes kalibrierten mechanisch-elektrischen Druckaufnehmers zu messen. Die Darstellung des Gasdruckes erfolgt in diesem Fall durch die Maßbezeichnungen PT bzw., sofern ein Konformal-Druckaufnehmer verwendet wird, durch die Maßbezeichnung PTc.
(2) Der Gasdruck ist jedoch mit Hilfe der Stauchzylindermethode zu bestimmen, wenn der in der jeweils in Betracht kommenden, in § 53 angeführten ON-Regel angegebene Gasdruck nach dieser Methode ermittelt wurde. Die Darstellung des Gasdruckes erfolgt in diesem Fall durch die Maßbezeichnungen PCr bzw., sofern ein Konformal-Druckstempel verwendet wird, durch die Maßbezeichnung PCrc.
(3) Der Gasdruck kann, abweichend von den Bestimmungen der Abs. 1 und 2, auch nach einem beliebigen anderen Verfahren an den festgelegten Stellen gemessen werden, sofern durch Vergleichsmessungen nachgewiesen wurde, dass die bei diesem Verfahren erzielten Ergebnisse denen des Referenzverfahrens entsprechen. In diesem Fall ist die erforderliche Umrechnung vorzunehmen.
Vorbereitung und Durchführung der Gasdruckmessung
§ 26. (1) Vor der Überprüfung des mittleren Gasdruckes sind die zu prüfenden Stücke von Munition 24 Stunden lang bei einer Temperatur von 21 °C 1 °C und einer relativen Luftfeuchtigkeit von 60% ± 5% zu lagern.
(2) Für die Überprüfung des mittleren Gasdruckes der Munition sind Messläufe zu verwenden, deren Innenabmessungen jenen Mindestmaßen entsprechen, welche in den jeweils in Betracht kommenden, in § 53 angeführten ON-Regeln angegeben sind. Die zulässigen Toleranzen für die verschiedenen Munitionstypen sind in diesen ON-Regeln bzw. in den §§ 30 bis 35 angegeben.
(3) Die Messung des mittleren Gasdruckes hat grundsätzlich in der Pulverkammer zu erfolgen. Weist diese Grundmethode jedoch Unsicherheiten, zB durch Beeinflussung der Geschwindigkeit des Geschoßes innerhalb der statistischen Grenzen durch die Druckmessung auf, dann kann der Druck auch am Hülsenmund, in der Hülse oder hinter dem Geschoß gemessen werden. Die Messstelle für den Gasdruck der verschiedenen Munitionstypen ist in den jeweils in Betracht kommenden, in § 53 angeführten ON-Regeln bzw. in den §§ 30 bis 35 angegeben.
(4) Die Messergebnisse sind in einem Messprotokoll darzustellen, welches mindestens folgende Angaben zu enthalten hat:
- Bezeichnung und Anschrift des Beschussamtes
- Name und Anschrift des Antragstellers
- Ordnungsnummer des Messprotokolls
- Datum der Gasdruckmessung
- Name des die Gasdruckmessung durchführenden Organes
- Name und Unterschrift des Verantwortlichen des Beschussamtes
- technische Daten der Patrone (Kaliber, Typ und Gewicht des Geschosses, Los, Hersteller),
- meteorologische Bedingungen bei der Gasdruckmessung
- technische Daten des Messsystems (Kenn-Nummer des Messlaufs, mechanisch-elektrischer Wandler, Empfindlichkeit des eingeführten Wandlers, Angaben der ausgewählten Parameter und das System zur Geschwindigkeitsmessung)
- klimatische Bedingungen, unter denen die Patronen vor dem Beschuss gelagert wurden
- Einzelwerte der Drücke- und der Geschwindigkeiten
- Mittelwerte der Drücke und der Geschwindigkeiten
- Standardabweichung
- statistische Auswertung
- Beobachtungen von allfälligen Anomalien der Bedingungen oder der Beschussergebnisse.
Auswertung der Gasdruckmessung
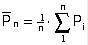
§ 27. Die Auswertung der Messergebnisse erfolgt nach den Regeln der Statistik nach folgenden Formeln:
Es bedeutet: Pi : den Gasdruck der einzelnen Messung;
n : die Anzahl der Messungen;
Pmax : den maximal zulässigen mittleren Gasdruck;
: den arithmetischen Mittelwert des Gasdruckes aus n Messungen;
Sn : die Standardabweichung des Gasdruckes aus n Messungen;
Kin : den Toleranzkoeffizient bei n Messungen gemäß folgender Tabelle, um eine statische Sicherheit zu erhalten bei:
K1n 99% der Fälle;
K2n 95% der Fälle;
K3n 90% der Fälle.
n | K1n | K2n | K3n |
5 | 5,75 | 4,21 | 3,41 |
6 | 5,07 | 3,71 | 3,01 |
7 | 4,64 | 3,40 | 2,76 |
8 | 4,36 | 3,19 | 2,58 |
9 | 4,14 | 3,03 | 2,45 |
10 | 3,98 | 2,91 | 2,36 |
11 | 3,85 | 2,82 | 2,28 |
12 | 3,75 | 2,74 | 2,21 |
13 | 3,66 | 2,67 | 2,16 |
14 | 3,59 | 2,61 | 2,11 |
15 | 3,52 | 2,57 | 2,07 |
16 | 3,46 | 2,52 | 2,03 |
17 | 3,41 | 2,49 | 2,00 |
18 | 3,37 | 2,45 | 1,97 |
19 | 3,33 | 2,42 | 1,95 |
20 | 3,30 | 2,40 | 1,93 |
25 | 3,15 | 2,29 | 1,83 |
30 | 3,06 | 2,22 | 1,78 |
35 | 2,99 | 2,17 | 1,73 |
40 | 2,94 | 2,13 | 1,70 |
45 | 2,90 | 2,09 | 1,67 |
50 | 2,86 | 2,07 | 1,65 |
60 | 2,81 | 2,02 | 1,61 |
70 | 2,77 | 1,99 | 1,58 |
80 | 2,73 | 1,97 | 1,56 |
90 | 2,71 | 1,94 | 1,54 |
100 | 2,68 | 1,93 | 1,53 |
Für Zwischenwerte ist linear zu interpolieren.
Gasdruckmessung mittels mechanisch-elektrischen Druckaufnehmers
§ 28. (1) Das Messsystem besteht aus
- 1. dem mechanisch-elektrischen Druckaufnehmer;
- 2. dem Verstärker;
- 3. dem Anzeigegerät;
- 4. dem elektrischen Filter.
(2) Der mechanisch-elektrische Druckaufnehmer hat folgende Bedingungen zu erfüllen:
- 1. Messbereich: 0 bis 1,2fach des zu erwartenden Maximalgasdrucks;
- 2. Linearitätsabweichung im Messbereich: 1% des Endwertes der Kalibrierung;
- 3. Eigenfrequenz größer als oder gleich als:
- a) 100 kHz für die Druckaufnehmer mit Membran;
- b) 50 kHz für die Kraftaufnehmer;
- 4. Mindestempfindlichkeit: 1,0 pC/bar;
- 5. wirksamer Durchmesser der Membran: 6 mm;
- 6. Kalibrierbereich: 100 bar bis 1,2fach des zu erwartenden Maximalgasdrucks;
- 7. Kalibrierzeugnis mit den Empfindlichkeitsdaten des Druckaufnehmers nicht älter als zwei Jahre.
(3) Der Messkanal ist entsprechend den Angaben des Herstellers zu präparieren.
(4) Zur Vermeidung bzw. Minderung des Wärmeüberganges auf die Membran und Druckplatte des Druckaufnehmers ist beim Anbohren der Hülse ein Thermoschutz gemäß den Angaben des Herstellers zu verwenden; auch ein mechanischer Schutz gemäß den Angaben des Herstellers ist zu benutzen.
(5) Der Verstärker muss folgende Bedingungen erfüllen:
- 1. Linearitätsabweichung: 1% des Endwertes der Kalibrierung;
- 2. Grenzfrequenz (-3 dB): 80 kHz;
- 3. Eingangswiderstand des Ladungsverstärkers: 1012;
- 4. Drift: und relative Feuchte (rH).
(6) Als Anzeigegeräte können sowohl Analog- als auch Digitalanzeigegeräte verwendet werden. Analoganzeigegeräte - Spitzenspannungsmesser und Oszillograph oder Speicheroszillograph - haben eine Bandbreite 100 kHz aufzuweisen, Digitalanzeiger - Transientrecorder oder vergleichbares Gerät - haben folgende Bedingungen zu erfüllen:
- 1. Abtastrate: ;
- 2. Auflösung: 12 bit;
- 3. Aufzeichnungszeit: 4 ms;
- 4. Grenzfrequenz (-3 dB): .
(7) Es ist ein BESSEL oder BUTTERWORTH Tiefpassfilter zweiter Ordnung mit einer Grenzfrequenz von 20/22 kHz (-3 dB), N = 2 (12 dB/Oktave), welches im Ladungsverstärker, der angeschlossenen Anzeigeeinheit oder der Software integriert ist, zu verwenden.
Gasdruckmessung mittels Stauchkörper
§ 29. (1) Das Messverfahren besteht aus:
- 1. dem Kolben mit Kolbenführung;
- 2. dem Widerlager;
- 3. dem Stauchkörper (Crusher).
(2) Die Länge der Kolbenführung muss mindestens 10 mm, der Durchmesser des Kolbens 6,18 mm bei einer Toleranz von -0,004 mm betragen. Das radiale Spiel zwischen Kolben und Führung muss zwischen 0,002 mm und 0,006 mm liegen. Die Masse des Kolbens muss 3,0 g 0,5 g betragen.
(3) Als Stauchkörper sind Crusher des Laboratoire Central de l'Armement, Paris, oder im Verhältnis zu diesen kalibrierte Stauchkörper zu verwenden.
(4) Die Wahl der Durchmesser von Kolben und Stauchkörper ergibt sich hinsichtlich des Referenz-Crushers aus folgender Tabelle:
Stempel Ø (mm) | Stempel- Querschnitt (mm2) | Crusher- Abmessung Ø x Länge (mm x mm) | Auswahlkriterien bzw. | Messbereich | ||
PL (bar) | PU (bar) | PL (bar) | PU (bar) | |||
6,18 3,91 3,91 3,91 3,91 | 30 12 12 12 12 | 2 x 4 2 x 4 3 x 4,9 4 x 6 5 x 7 | 240 600 1350 2350 3600 | 600 1350 3100 4700 6000 | 220 550 1200 2200 3300 | 650 1500 3400 5200 7000 |
Gasdruckmessung bei Munition für Handfeuerwaffen mit glatten Läufen und Zentralfeuerzündung
§ 30. (1) Für die Überprüfung des mittleren Gasdruckes der Munition für Handfeuerwaffen mit glatten Läufen und Zentralfeuerzündung sind Messläufe zu verwenden, deren Innenabmessungen jenen Mindestmaßen entsprechen, welche in der ON-Regel 191395 angegeben sind.
- 1. Folgende Toleranzen sind für die Messläufe zulässig:
- a) 0,10 mm für den Laufinnendurchmesser B;
- b) 0,05 mm für den Durchmesser des Patronenlagers D und H;
- c) 2,00 mm für die Länge des Patronenlagers L;
- d) Randdurchmesser G: +0,05 mm;
- e) Randtiefe T: 0,05 mm.
- 2. Winkel des Übergangskonus = 10° 30': -30;
- 3. Der Verschlussabstand darf 0,10 mm nicht übersteigen;
- 4. Die Länge des Gasdruckmesslaufes beträgt 700 mm ± 10 mm (zylindrischer Lauf ohne Choke);
- 5. Die Kontrolle der Maßhaltigkeit der Messläufe ist mit Hilfe von solchen Messsystemen durchzuführen, die unmittelbaren Zugang zu den zu messenden Werten geben.
(2) Die Messläufe gemäß Abs. 1 müssen mindestens zwei Messstellen aufweisen. Diese müssen entweder ein integrierender Bestandteil des Laufes sein oder sich in einem Manometerblock befinden, in dem der Lauf fixiert ist. Die Achse der ersten Messstelle muss sich in einem Abstand von
- 1. 25 bis 30 mm für die Kaliber 24 und größer;
- 2. 17,0 mm 1,0 mm für die Kaliber kleiner als 24;
- 3. 12,5 mm - 0,5 mm für die Kaliber 32-50, 7, 410/50, 8mm und 9 mm,
die Achse der zweiten Messstelle muss sich in einem Abstand von 162,0 mm
0,5 mm vom Stoßboden des Laufes befinden.
(3) Die Messung des Gasdruckes an der zweiten Messstelle erfolgt indirekt. Zu diesem Zwecke wird der Zeitpunkt des Durchganges des Treibmittelbodens durch den Querschnitt der zweiten Messstelle registriert und der zu diesem Zeitpunkt an der ersten Messstelle herrschende Druck gemessen. Die Registrierung des Durchganges des Treibmittelbodens kann entweder mit einem mechanisch-elektrischen Druckaufnehmer oder mit jedem anderen geeigneten Messfühler, zum Beispiel mittels Fotodiode hinter einem Quarzglasfenster, vorgenommen werden.
(4) Bei Verwendung eines mechanisch-elektrischen Druckaufnehmers sind der Durchmesser und die Tiefe der Messbohrungen abhängig von den Abmessungen und der Einbauart des Druckaufnehmers und nach den Angaben des Herstellers des Druckaufnehmers auszuführen. Das in die Patronenhülse gebohrte Loch muss einen Durchmesser von 3,0 mm + 0,1 mm aufweisen. Zur Minderung des Wärmeüberganges auf Membran und Druckplatte ist beim Anbohren der Hülse eine Scheibe aus wärmeisolierendem, flexiblem Werkstoff, zB Teflon, vor der Druckübertragungsfläche anzubringen. Tangential eingebaute Druckaufnehmer sind zusätzlich durch Aufkleben eines die Patronenbohrung überspannenden, dehnbaren Klebebandes auf die Patrone zu schützen.
(5) Die Auswertung der Messergebnisse erfolgt unter Anwendung der Abs. 6 und 7 nach den Regeln der Statistik des § 27.
(6) Bei Gebrauchspatronen für Handfeuerwaffen mit glatten Läufen und Zentralfeuerzündung darf kein Einzelwert den Wert Pmax um mehr als 15% überschreiten. Diese Forderung gilt als erfüllt, wenn in 95% der Fälle mit einer statistischen Sicherheit von 95% der obere Wert der Toleranzgrenze 1,15 Pmax nicht überschritten wird, d.h. wenn folgende Ungleichung gilt:Pn + K2n
Sn
1,15 Pmax.
(7) Für Beschusspatronen sowohl für den normalen, als auch für den verstärkten Beschuss gelten die Forderungen des § 15 Abs. 3 als erfüllt, wenn in 90% der Fälle, mit einer statistischen Sicherheit von 95%, der untere Wert der Toleranzgrenze nicht unterhalb 1,15 Pmax liegt. Diese Beschusspatronen haben demnach den folgenden Bedingungen zu entsprechen:
- 1. Für die Bedingung gemäß § 15 Abs. 3 Z 1:
- a) bei der ersten Messstelle:Pn 1,30 Pmax,
- b) bei der zweiten Messstelle:Pn + K3n Sn 650 bar.
- 2. Für die Bedingung gemäß § 15 Abs. 3 Z 2:
- a) bei der ersten Messstelle:Pn + K3n Sn 1,60 Pmax;
- b) bei der zweiten Messstelle:Pn = 450 bis 600 bar.g
Gasdruckmessung bei Munition für Handfeuerwaffen mit gezogenen Läufen und Zentralfeuerzündung
§ 31. (1) Für die Überprüfung des mittleren Gasdruckes der Patronen für Handfeuerwaffen mit gezogenen Läufen und Zentralfeuerzündung sind Messläufe zu verwenden, deren Innenabmessungen jenen Mindestmaßen entsprechen, welche in den jeweils in Betracht kommenden, in § 53 angeführten ON-Regeln entsprechen.
- 1. Folgende Toleranzen sind für Messläufe zulässig:
- a) 0,02 mm für den Felddurchmesser F des Laufes;
- b) 0,03 mm für den Zugdurchmesser Z des Laufes;
- c) 0,10 mm für die Gesamtlänge L3;
- d) 0,03 mm für den Durchmesser P1;
- e) 0,02 mm für den Durchmesser P2;
- f) 0,02 mm für den Durchmesser H2;
- g) 0,03 mm für den Durchmesser G1;
- h) - 5/60i für den Winkel i des Übergangskonus bei i 12';
- i) -1' für den Winkel i des Übergangskonus bei i 12'.
- 2. Der Verschlussabstand darf 0,10 mm nicht übersteigen.
- 3. Die Länge der Gasdruckmessläufe hat zu betragen:
- a) Gasdruckmesslauf für Patronen ohne Rand: Lc= 600 mm 10 mm;
- b) Gasdruckmesslauf für Patronen mit Rand: Lc = 600 mm 10 mm;
- c) Gasdruckmesslauf für Magnumpatronen: Lc = 650 mm 10 mm;
- d) Gasdruckmesslauf für Pistolen- und Revolverpatronen: Lc = 150 mm 10 mm.
- 4. Die Kontrolle der Maßhaltigkeit der Messläufe ist mit Hilfe von Messsystemen durchzuführen, die unmittelbaren Zugang zu den zu messenden Werten geben.
(2) Die Messläufe gemäß Abs. 1 müssen mindestens eine Messstelle aufweisen. Die Anbringung der Messstelle hat gemäß den ON-Regeln zu erfolgen. Für nicht in den ON-Regeln enthaltene Kaliber ist die Messstelle in einem Abstand von 25 mm ± 2 mm vom Stoßboden anzubringen, wenn die Hülse länger als 40 mm ist; bei einer Hülsenlänge von einschließlich 30 mm bis einschließlich 40 mm ist die Messstelle in einem Abstand von 17,5 mm ± 2,0 mm vom Stoßboden anzubringen; bei einer Hülsenlänge geringer als 30 mm hat die Gasdruckmessung an einer Stelle zwischen 7,5 mm und der Hülsenlänge L1 oder L3 zu erfolgen. In diesen Fällen ist die Messstelle im Messprotokoll (§ 26 Abs. 4) zusammen mit dem erhaltenen Gasdruckwert anzuführen.
(3) Für die Messung des Gasdruckes gelten die Bestimmungen des § 30 Abs. 4 mit folgender Maßgabe: Unabhängig von der Länge der Hülse und dem verwendeten Druckaufnehmer hat das in die Hülse gebohrte Loch einen Durchmesser von 2,0 mm aufzuweisen.
(4) Die Auswertung der Messergebnisse erfolgt unter Anwendung der Abs. 5 und 6 nach den Regeln der Statistik des § 27.
(5) Bei Gebrauchspatronen für Handfeuerwaffen mit gezogenen Läufen und Zentralfeuerzündung darf kein Einzelwert den Wert Pmax um mehr als 15% überschreiten. Diese Forderung gilt als erfüllt, wenn in 99% der Fälle, mit einer statistischen Sicherheit von 95%, der obere Wert der Toleranzgrenze 1,15 Pmax nicht überschritten wird, d.h. wenn folgende Ungleichung gilt:Pn + K1n
Sn
1,15 Pmax.
(6) Für Beschusspatronen für Langwaffen mit gezogenen Läufen und Zentralfeuerzündung gilt die Forderung gemäß § 15 Abs. 5 als erfüllt, wenn in 90% der Fälle, mit einer statistischen Sicherheit von 95%, der untere Wert der Toleranzgrenze nicht kleiner ist als 1,15 Pmax. Diese Beschusspatronen haben demnach den folgenden Ungleichungen zu entsprechen:
- 1. 1,25 Pmax,
- 2. - K3n Sn 1,15 Pmax,
- 3. + K3n Sn 1,40 Pmax,
- 4. E EE.
(7) Für Beschusspatronen für Pistolen und Revolvern mit gezogenen Läufen und Zentralfeuerzündung gilt die Forderung gemäß § 15 Abs. 5 als erfüllt, wenn in 90% der Fälle, mit einer statistischen Sicherheit von 95%, der untere Wert der Toleranzgrenze nicht kleiner ist als 1,15 Pmax. Diese Beschusspatronen haben demnach den folgenden Ungleichungen zu entsprechen:
- 1. Pn 1,30 Pmax,
- 2. Pn - K3n Sn 1,15 Pmax,
- 3. Pn K3n Sn 1,50 Pmax.
Gasdruckmessung bei Patronen für Handfeuerwaffen mit Randfeuerzündung
§ 32. (1) Für die Überprüfung des mittleren Gasdruckes der Patronen für Handfeuerwaffen mit Randfeuerzündung sind Messläufe zu verwenden, deren Innenabmessungen jenen Mindestmaßen entsprechen, welche in der ON-Regel 191390 angegeben sind.
- 1. Folgende Toleranzen sind für die Messläufe zur Messung des Gasdruckes von Munition für Handfeuerwaffen mit glatten Läufen zulässig:
- a) +0,03 mm für den Innendurchmesser F = Z des Laufes;
- b) +0,10 mm für die Gesamtlänge L3;
- c) +0,05 mm für den Durchmesser P1;
- d) +0,05 mm für den Durchmesser P2;
- e) +0,03 mm für den Durchmesser H2;
- f) +0,03 mm für den Durchmesser G1;
- g) -5/60i (maximal -1°) für den Winkel i des Übergangskonus.
- 2. Folgende Toleranzen sind für die Messläufe zur Messung des Gasdruckes von Munition für Waffen mit gezogenen Läufen zulässig:
- a) +0,02 mm für den Felddurchmesser F des Laufes;
- b) +0,02 mm für den Zugdurchmesser Z des Laufes;
- c) +0,10 mm für die Gesamtlänge L3;
- d) +0,03 mm für den Durchmesser P1,
- e) +0,02 mm für den Durchmesser H2;
- f) +0,03 mm für die Tiefe der Randeinfräsung R;
- g) 0,05 mm für den Durchmesser R1;
- h) 0°20' für den Winkel i des Übergangskonus.
- 3. Der Verschlussabstand darf bei Messläufen gemäß Z 1 und 2 das Ausmaß von 0,10 mm nicht überschreiten.
- 4. Die Länge des Referenzmesslaufes gemäß Z 1 und 2 beträgt: LC = 600 mm 10 mm.
- 5. Die Kontrolle der Maßhaltigkeit der Messläufe gemäß Z 1 bis 4 ist mit Hilfe solcher Messsysteme durchzuführen, die unmittelbaren Zugang zu den zu messenden Werten geben.
(2) Die Messläufe müssen mindestens eine Messstelle aufweisen. Diese ist beim Maß L3 + 1,80 mm (L3 Gesamtlänge der Hülse) mit einer Toleranz von ± 0,20 mm anzubringen.
(3) Die Messstellen der Messläufe für die Kaliber .22 kurz, .22 l.f.B., .22 WMR, .17 HMR und .17 Mach 2 müssen folgenden Abstand vom Stoßboden haben:
.22 kurz: 7,00 mm + 0,20 mm
.22 l.f.B.: 9,00 mm + 0,20 mm
.22 WMR: 17,50 mm + 0,20 mm
.17 HMR: 17,50 mm + 0,20 mm
.17 Mach 2: 6,50 mm + 0,20 mm
(4) Die Auswertung der Messergebnisse erfolgt unter Anwendung der Abs. 4 und 5 nach den Regeln der Statistik des § 27.
(5) Bei Gebrauchspatronen für Handfeuerwaffen mit Randfeuerzündung darf kein Einzelwert Pmax um mehr als 15% überschreiten. Diese Forderung gilt als erfüllt, wenn in 95% der Fälle mit einer statistischen Sicherheit von 95% der obere Wert der Toleranzgrenze 1,15 Pmax nicht überschritten wird, d.h. wenn folgende Ungleichung gilt:Pn + K2n . Sn
1,15 Pmax.
(6) Für die Beschusspatronen gelten die Forderungen gemäß § 15 Abs. 5 als erfüllt, wenn in 90% der Fälle, mit einer statistischen Sicherheit von 95% der untere Wert der Toleranzgrenze nicht unterhalb von 1,15 Pmax liegt. Diese Beschusspatronen haben demnach folgenden Bedingungen zu entsprechen:
- 1. Pn 1,30 Pmax;
- 2. Pn - K3n Sn 1,15 Pmax;
- 3. Pn + K3n Sn 1,50 Pmax.
Gasdruckmessung bei Treibkartuschen mit Hülse für Schussapparate
§ 33. (1) Die Überprüfung der Treibkartuschen mit Hülse für Schussapparate hat gemäß § 21 Abs. 3 an zwölf Kartuschen für jedes beschlossene Zusatzvolumen zu erfolgen. Bei Randfeuerkartuschen sind dies die Zusatzvolumen Va = 0,16 cm³ und 0,8 cm³ und bei Zentralfeuerkartuschen das Zusatzvolumen Va = 0,4 cm³. Fehlerhafte Werte sind sofort zu streichen oder zu berichtigen; insbesondere ist ein Messwert zu eliminieren, wenn Anzeichen für übermäßiges Ausströmen von Gas vorliegen. Die gemessenen Werte sind fortlaufend zu numerieren und die Extremwerte zu überprüfen. P1 und P12 sind nach dem Kriterium von J. W. Dixon mit folgender Formel zu beurteilen:
Ergibt sich daraus, dass ZB größer als 0,490 ist, so ist der betreffende Wert P1 bzw. P12 zu streichen. Wird keiner der Werte gestrichen, sind die beiden letzten Werte zu vernachlässigen; wird nur ein Messwert gestrichen, so ist der letzte zu vernachlässigen.
(2) Für die Überprüfung des Gasdruckes ist ein Messlauf mit Schubkolben gemäß ÖNORM S 1232 zu verwenden, dessen Abmessungen den in dieser ÖNORM sowie den in der ON-Regel 191396 angegebenen Maßen entsprechen.
- 1. Folgende Toleranzen sind für das Kartuschenlager des Messlaufs zulässig:
- a) +0,03 mm für den Durchmesser P1;
- b) +0,03 mm für den Durchmesser H2;
- c) +0,05 mm für den Durchmesser R1;
- d) +0,05 mm für die Tiefe der Randeinfräsung R;
- e) +0,10 mm für die Länge des Lagers L3.
- 2. Der Gasdruckmesslauf hat folgende Abmessungen:
- a) Kaliber: 16 mm (F7);
- b) Länge ab dem Ende des Kartuschenlagers: 200 mm 1 mm;
- c) Lage der Messstelle: 1,5 mm ab dem Ende des Kartuschenlagers;
- d) Durchmesser der Bohrung: 3 mm;
- e) Höhe der Bohrung: 3 mm.
- 3. Der Schubkolben hat folgende Bedingungen zu erfüllen:
- a) Durchmesser: 16 mm (h7);
- b) Masse: Mp = 80 g 1 g;
- c) Werkstoff: Messing (58% - 70% Cu) oder mittelharter Stahl (R = 55 bis 65 Deka-N/mm²);
- d) Länge proportional zur Masse;
- e) Zusatzvolumen: Va = 0,04 bis 0,80 cm³.
- 4. Die Kontrolle der Maßhaltigkeit der Messläufe ist mit Hilfe solcher Messsysteme durchzuführen, die unmittelbaren Zugang zu den zu messenden Werten geben.
- 5. Die Gasdruckmessung erfolgt mit Hilfe eines mechanisch-elektrischen Druckaufnehmers gemäß § 28 und mit folgenden Bedingungen:
- a) Messbereich: bis 7000 bar;
- b) Druckübertragungsfläche: Durchmesser 6 mm.
(3) Die Auswertung der Messergebnisse erfolgt nach den Regeln der Statistik des § 27 sowie der folgenden Bestimmungen:
- 1. Ferner bedeuten:
- a) Pmax(0,16) bzw. Pmax(0,8) : den maximalen Druck zulässig nach der ON-Regel 191396 für Kartuschen mit Randfeuerzündung mit dem Zusatzvolumen Va = 0,16 bzw. 0,8 cm³;
- b) Pmax(0,4) : den maximalen Druck, zulässig nach der ON-Regel 191396 für Kartuschen mit Zentralfeuerzündung mit dem Zusatzvolumen Va = 0,4 cm³;
- c) Pn(Va): den arithmetischen mittleren Gasdruck von n (10) Messungen für das Zusatzvolumen Va.
- 2. Für Gebrauchskartuschen mit Randfeuerzündung muss der mittlere GasdruckPn für die beiden Zusatzvolumen Va = 0,16 cm³ und Va = 0,8 cm³ niedriger als oder gleich wie die maximal zulässigen Werte Pmax(0,16) und Pmax(0,8) sein.
- 3. Für Gebrauchskartuschen mit Zentralfeuerzündung muss der mittlere GasdruckPn für das Zusatzvolumen V = 0,4 cm³ niedriger als oder gleich wie der maximal zulässige Wert Pmax(0,4) sein.
- 4. Die Bedingungen gemäß Ziffer 2 und 3 gelten als erfüllt, wenn folgende Ungleichung gilt:
- 5. Die Bedingung für Gebrauchskartuschen, dass kein Einzelwert des Gasdruckes höher als 1,15 Pmax(Va) liegen darf, gilt als erfüllt, wenn folgende Ungleichung gilt:
Gasdruckmessung bei Kartuschen für Alarmwaffen
§ 34. (1) Für die Überprüfung des Gasdruckes ist ein Messlauf gemäß ÖNORM S 1233 zu verwenden, dessen Abmessungen den in dieser ÖNORM sowie den in der ON-Regel 191397 angegebenen Maßen entsprechen.
- 1. Folgende Toleranzen sind für die Messläufe zulässig:
- a) H8 für den Innendurchmesser des Laufes F = Z;
- b) H11 für die Gesamtlänge L3;
- c) H8 für den Durchmesser P1;
- d) H8 für den Durchmesser H2;
- e) H9 für die Tiefe der Randeinfräsung R;
- f) H10 für den Durchmesser R1;
- g) H11 für den Durchmesser G1;
- h) 20' für den Winkel i des Übergangskonus.
- 2. Folgende Toleranzen sind für den Messlauf für Revolverkartuschen zulässig:
- a) js14 für die Lage der Messstelle M;
- b) h13 für die Länge des Laufes LT;
- c) H11 für den Spalt w.
- 3. Folgende Toleranzen sind für den Messlauf für Pistolenkartuschen zulässig:
- a) js14 für die Lage der Messstelle M;
- b) h13 für die Gesamtlänge des Messlaufes LC.
(2) Die Kontrolle der Maßhaltigkeit der Messläufe gemäß Abs. 1 ist mit Hilfe solcher Messsysteme durchzuführen, die unmittelbaren Zugang zu den zu messenden Werten geben.
(3) Die Auswertung der Messergebnisse erfolgt nach den Regeln der Statistik des § 27 und
- 1. für die Messung des Gasdruckes der Gebrauchskartuschen nach den Bestimmungen des § 31 Abs. 5;
- 2. für die Messung des Gasdruckes der Beschusskartuschen nach den Bestimmungen des § 31 Abs. 6.
Gasdruckmessung bei Patronen für Kleinschrotwaffen (cartouches à grenaille)
§ 35. (1) Für die Überprüfung des Gasdruckes der Patronen für Kleinschrotwaffen ist ein Messlauf gemäß ÖNORM S 1234 zu verwenden; folgende Toleranzen sind für diesen zulässig:
- 1. js14 für die Lage der Messstelle;
- 2. h13 für die Gesamtlänge des Messlaufes LC.
(2) Die Auswertung der Messergebnisse erfolgt nach den Regeln der Statistik des § 27 und
- 1. für die Messung des Gasdruckes der Gebrauchspatronen nach den Bestimmungen des § 31 Abs. 5;
- 2. für die Messung des Gasdruckes der Beschusspatronen nach den Bestimmungen des § 31 Abs. 6.
3. Abschnitt
Ermittlung der Geschoßenergie und des Mündungsimpulses
Ermittlung der Geschoßenergie
§ 36. (1) Die gemäß § 24 Abs. 2 vorgesehene Ermittlung der Geschoßenergie ist in folgenden Fällen gerechtfertigt:
- 1. wenn das Volumen des Verbrennungsraumes so klein ist, dass das Anbringen eines Gasdruckmessers die normale Druckentwicklung verändern kann;
- 2. wenn die Zusatzladung gleichzeitig die Treibladung darstellt;
- 3. bei der Messung des Gasdruckes von Munition mit nicht gefalzten Geschoßen;
- 4. wenn, bei neuen Munitionstypen oder selten verwendeten Kalibern, der entsprechende Messlauf zur Messung des Gasdruckes nicht zur Verfügung steht.
(2) Die Geschoßenergie E ist aus der Masse des Geschoßes m und der Geschoßgeschwindigkeit v nach der Formel
(3) Die Auswertung der Messergebnisse erfolgt nach den Regeln der Statistik des § 27 unter Anwendung der Abs. 4 bis 6. Es bedeuten jedoch:
(4) Bei Gebrauchsmunition darf in 90% aller Fälle, mit einer statistischen Sicherheit von 95%, kein Einzelwert den Wert Emax um mehr als 7% überschreiten. Diese Forderung gilt als erfüllt, wenn folgende Ungleichung gilt: En
K3n
Sn
1,07 Emax.
(5) Ist gemäß Abs. 1 anstelle der Messung des Gasdruckes die Geschoßenergie zu ermitteln, so hat die mittlere Geschoßenergie der Beschussmunition im Regelfall um 10% höher zu sein als die zulässige Geschoßenergie der für die betreffende Handfeuerwaffe vorgesehenen Gebrauchsmunition. Sie ist in der jeweils in Betracht kommenden, in § 53 angeführten ON-Regel festgelegt. Wenn die verlangte Geschoßenergie für Beschussmunition durch eine Erhöhung des Treibladungsgewichtes nicht erreicht werden kann, kann das Geschoßgewicht um 10% erhöht werden, wobei die Energieverluste durch die Reibung im Lauf nicht ansteigen dürfen.
(6) Die Forderung gemäß Abs. 5 gilt als erfüllt, wenn in 90% der Fälle, mit einer statistischen Sicherheit von 95%, der untere Wert der Toleranzgrenze nicht kleiner ist als 1,07 Emax. Die Beschussmunition hat demnach den folgenden Ungleichungen zu entsprechen:
- 1. En 1,10 Emax;
- 2. En - K3n Sn 1,07 Emax;
- 3. En + K3n Sn 1,25 Emax.
Ermittlung der Geschoßenergie bei Patronen für Handfeuerwaffen mit Randfeuerzündung
§ 37. (1) Für die Überprüfung der Geschoßenergie von Patronen für Handfeuerwaffen mit Randfeuerzündung sind Messläufe zu verwenden, deren Innenabmessungen der Patronenlager jenen Mindestmaßen entsprechen, welche in der ON-Regel 191390 angegeben sind. Folgende Laufabmessungen sind für die Messläufe vorgeschrieben:
- 1. 200 mm 2 mm für die Länge des Messlaufes Lc;
- 2. 4,05 mm bzw. 5,45 mm 0,02 mm für den Felddurchmesser F;
- 3. 4,30 mm bzw. 5,60 mm 0,03 mm für den Zugdurchmesser Z;
- 4. 5,50 mm bzw. 8,38 mm 0,03 mm für den Durchmesser des glatten Laufes F = Z;
- 5. 450 mm für die Dralllänge u;
- 6. 1,25 mm 0,10 mm für die Breite der Züge b;
- 7. 6 für die Anzahl der Züge N.
(2) Die Kontrolle der Maßhaltigkeit der Messläufe ist mit Hilfe solcher Messsysteme durchzuführen, die unmittelbaren Zugang zu den zu messenden Werten geben.
(3) Die Auswertung der Messergebnisse erfolgt nach den Regeln der Statistik des § 27 und
- 1. für die Messung der Geschoßenergie der Gebrauchspatronen nach den Bestimmungen des § 36 Abs. 4;
- 2. für die Messung der Geschoßenergie der Beschusspatronen nach den Bestimmungen des § 36 Abs. 5 und 6.
Ermittlung der Geschoßenergie bei Kartuschen für Alarmwaffen
§ 38. (1) Für die Überprüfung der Geschoßenergie der Kartuschen für Alarmwaffen ist ein Messlauf gemäß ÖNORM S 1233 zu verwenden, dessen Abmessungen den in dieser ÖNORM sowie in der ON-Regel 191397 angegebenen Maßen entsprechen.
- 1. Folgende Toleranzen sind zulässig:
- a) H11 für die Länge des Munitionslagers L3;
- b) js16 für die Länge des Laufes LT.
- 2. Zur Messung der Geschoßenergie sind Projektile zu verwenden, die folgende Bedingungen erfüllen:
- a) Durchmesser: 6 mm (f8) bzw. 9 mm (f7);
- b) Gewicht: m = 4,0 g 0,04 g bzw. m = 10 g 0,1 g;
- c) Werkstoff: Messing (58% - 70% Cu) oder mittelharter Stahl (R = 55 bis 65 Deka-N/mm²);
- d) Länge: proportional zum Gewicht.
(2) Die Kontrolle der Maßhaltigkeit der Messläufe gemäß Abs. 1 ist mit Hilfe solcher Messsysteme durchzuführen, die unmittelbaren Zugang zu den zu messenden Werten geben.
(3) Die Auswertung der Messergebnisse erfolgt nach den Regeln der Statistik des § 27 und
- 1. für die Messung der Geschoßenergie der Gebrauchskartuschen nach den Bestimmungen des § 36 Abs. 4;
- 2. für die Messung der Geschoßenergie der Beschusskartuschen nach den Bestimmungen des § 36 Abs. 5 und 6.
Ermittlung des Mündungsimpulses bei Patronen mit bleifreien Schroten
§ 39. Der Mündungsimpuls Mo ist aus der Masse m und der Geschwindigkeit v des Geschoßes nach der Formel Mo = m · v zu ermitteln. Die Geschoßgeschwindigkeit ist in 2,5 m Entfernung vor der Mündung des Laufes in sinngemäßer Anwendung von § 36 Abs. 2 in einem zylindrischen Messlauf gemäß § 30 Abs. 2 ohne Choke, zu messen und ist als Mittelwert aus einer Serie von 10 Schüssen anzugeben.
4. Hauptstück
Kalibrierung mechanisch-elektrischer Druckaufnehmer
Anwendungsbereich
§ 40. (1) Jeder einzelne der bei der Messung des Gasdruckes von Munition gemäß den Bestimmung des 2. Hauptstückes Verwendung findende, in § 28 beschriebene mechanisch-elektrische Druckaufnehmer ist während seiner gesamten Verwendungsdauer wiederholt zu überprüfen.
(2) Mit Hilfe der Kalibrierung der mechanisch-elektrischen Druckaufnehmer im Laboratorium sind deren messtechnische Hauptmerkmale zu bestimmen. Diese sind:
- 1. Empfindlichkeit über den gesamten Messbereich;
- 2. Linearitätsabweichung;
- 3. Wiederholbarkeit.
(3) Durch die regelmäßigen Kalibrierungen der mechanisch-elektrischen Druckaufnehmer soll eine Streuung der Messungen der Spitzendruckwerte erzielt werden, die unter 4% liegt. Der angestrebte Messfehler sollte weniger als 3% betragen.
Messsystem für die Kalibrierung
§ 41. (1) Das Messsystem besteht aus:
- 1. einem statischen oder einem dynamischen Kalibrator;
- 2. einem Verstärker (Last- oder Spannungsverstärker);
- 3. einem Anzeigegerät (Voltmeter, Spitzenwertleser, Oszillograph, etc.).
(2) Die Genauigkeit des gesamten Messsystems muss
- 1. bei der primären Kalibrierung kleiner als 1% sein;
- 2. bei der sekundären Kalibrierung kleiner als 2% sein.
(3) Wird die sekundäre Kalibrierung durch Vergleich mit einem Referenz - Druckaufnehmer durchgeführt, muss die Genauigkeit dieses Gerätes kleiner als oder gleich 0,5% sein.
(4) Die Genauigkeit des gesamten Messsystems ist mindestens alle 5 Jahre sowie anlässlich des Austausches eines wesentlichen Bestandteiles von einer der folgenden Stellen überprüfen zu lassen:
- 1. Bundesamt für Eich- und Vermessungswesen oder diesem gleichwertigen metrologischen Instituten anderer Staaten;
- 2. von hierfür akkreditierten Kalibrierstellen.
Über das Ergebnis der Überprüfung ist eine Bescheinigung auszustellen.
Primärdruckaufnehmer
§ 42. (1) Das Messsystem für die primäre Kalibrierung sowie das dynamische Vergleichssytem zur Überprüfung der Referenzdruckaufnehmer sind mit Hilfe eines Primärdruckaufnehmers zu überprüfen.
(2) Der Primärdruckaufnehmer ist mit dem dazugehörigen Adapter vom Bundesamt für Eich- und Vermessungswesen oder diesem gleichwertigen metrologischen Instituten anderer Staaten oder von hierfür akkreditierten Prüfstellen jeweils nach 50 Zyklen, oder wenn Zweifel an der Genauigkeit bestehen, mindestens jedoch alle zwei Jahre, zu überprüfen. Über das Ergebnis der Überprüfung ist eine Bescheinigung auszustellen.
(3) Der Primärdruckaufnehmer hat folgende Bedingungen zu erfüllen:
- 1. Messbereich, entsprechend dem Anwendungszweck:
20 MPa bis 200 MPa + 10% oder 200 MPa bis 600 MPa + 10%;
- 2. Temperaturbereich: -50 °C bis +100 °C;
- 3. Linearität: +0,3% vom Endwert;
- 4. Grenzfrequenz: 100 kHz;
- 5. Isolationswiderstand: 1 · 1014.
(4) Wird bei der Überprüfung festgestellt, dass ein Primärdruckaufnehmer nicht mehr den geforderten Bedingungen entspricht, kann er solange als Referenzdruckaufnehmer verwendet werden, als er die für diesen geltenden Bedingungen (§ 43 Abs. 2) erfüllt.
Referenzdruckaufnehmer
§ 43. (1) Referenzdruckaufnehmer, die bei der dynamischen Kalibrierung verwendet werden (§ 50 Abs. 4), sind mit dem dazugehörigen Adapter vom Bundesamt für Eich- und Vermessungswesen oder gleichwertigen metrologischen Instituten anderer Staaten oder von hierfür akkreditierten Prüfstellen zu überprüfen. Über das Ergebnis der Überprüfung ist eine Bescheinigung auszustellen.
(2) Der Referenzdruckaufnehmer hat folgende Bedingungen zu erfüllen:
- 1. Messbereich, entsprechend dem Anwendungsbereich:
20 MPa bis 200 MPa +10% oder 200 MPa bis 600 MPa +10%;
- 2. Temperaturbereich: -50 °C bis +100 °C;
- 3. Linearität: +0,5% vom Endwert;
- 4. Grenzfrequenz: 100 kHz;
- 5. Isolationswiderstand: 1.1013.
(3) Werden bei den nachfolgenden Überprüfungen gemäß Abs. 1 größere Abweichungen von der Empfindlichkeit festgestellt als
- 1. 2% gegenüber der letzten Überprüfung,
- 2. 4% gegenüber der ersten Überprüfung,
so darf der Druckaufnehmer, wenn auch nur einer der beiden Werte überschritten wird, nicht mehr als Referenzdruckaufnehmer verwendet werden. Er kann jedoch solange als Druckaufnehmer für Gasdruckmessungen verwendet werden, als er die betreffenden Bedingungen (§ 47) erfüllt.
Primäre Kalibrierung
§ 44. (1) Zur Durchführung der Kalibrierungen sind jene Adapter zu verwenden, die von den Herstellern der mechanisch-elektrischen Druckaufnehmer vorgesehen sind.
(2) Die Messungen sind vom unteren Ende des Messbereiches des mechanisch-elektrischen Druckaufnehmers, mindestens aber von 100 bar beginnend, bis mindestens dem 1,3-fachen Druck der zu kontrollierenden Munition durchzuführen. Es sind mindestens fünf Zwischenwerte zu ermitteln, es ist also insgesamt an mindestens sieben Messpunkten zu messen.
(3) Bei jedem Messpunkt sind mindestens drei Versuche durchzuführen, um einen mittleren Empfindlichkeitswert zu bekommen.
(4) Die Kalibrierkurve ist wie die Gerade der „kleinsten Fehlerquadrate“ zu berechnen. Beim mechanisch-elektrischen Druckaufnehmer mit Kanal hat sie durch den Ursprung zu gehen. Beim mechanisch-elektrischen Tangential- oder Konformaldruckaufnehmer ist der durch die Kalibrierung bestimmte Offset zu berücksichtigen. In beiden Fällen ist bei den Schussversuchen von einer nicht linearen Abhängigkeit zwischen der Ladung Q und dem Gasdruck P als Grundlage für die Berücksichtigung der Empfindlichkeit auszugehen.
Sekundäre Kalibrierung
§ 45. (1) Zur Durchführung der Kalibrierungen sind jene Adapter zu verwenden, die von den Herstellern der mechanisch-elektrischen Druckaufnehmer vorgesehen sind.
(2) Wird ein statischer Kalibrator verwendet, sind die Messungen unter sinngemäßer Anwendung des § 44 Abs. 2 vorzunehmen. Wird ein dynamischer Kalibrator verwendet, ist mindestens ein Versuch mit mindestens 20% des zu kontrollierenden Maximalgasdruckes, der das 1,3-fache des Messwertes betragen muss, durchzuführen.
(3) Bei jedem Messpunkt sind mindestens drei Versuche durchzuführen, um einen mittleren Empfindlichkeitswert zu bekommen.
(4) Die Kalibriergerade ist wie die Gerade der „kleinsten Fehlerquadrate“ zu berechnen. Sie kann durch den Ursprung gehen. Geht sie nicht durch den Ursprung (§ 44 Abs. 4), ist der Offset zu berücksichtigen.
Wiederholte Kalibrierung
§ 46. (1) Die wiederholte Kalibrierung besteht aus einer Reihe von
- 1. primären Kalibrierungen (§ 44) und
- 2. sekundären Kalibrierungen (§ 45).
(2) Die Kontrollen der primären Kalibrierungen sind durchzuführen:
- 1. Während der ersten 600 Schüsse mindestens alle 200 Schüsse und anschließend mindestens alle 3000 Schüsse;
- 2. außerdem immer, wenn sich bei der Kontrolle einer sekundären Kalibrierung die Empfindlichkeit um mehr als 3% gegenüber der letzten Kalibrierung geändert hat;
- 3. weiters, wenn die erhobenen Mittelwerte bei Versuchen, die gleichzeitig mit mehreren mechanisch-elektrischen Druckaufnehmern durchgeführt wurden, um mehr als 4% voneinander abweichen.
(3) Die Kontrollen der sekundären Kalibrierung sind durchzuführen:
- 1. wenn bei den Schüssen zur Ermittlung des Gasdruckes der Munition eine der folgenden Anomalien festgestellt werden:
- a) Streuung der Werte;
- b) Nichtanzeige der Werte;
- c) Entweichen von Gas;
- 2. die Kontrollen der Empfindlichkeit der Druckaufnehmer sind mindestens alle 500 Schüsse beim Wert des zu messenden Druckes durchzuführen.
Ausscheiden eines Druckaufnehmers
§ 47. (1) Werden bei den Kalibrierungen eines Druckaufnehmers Unregelmäßigkeiten festgestellt, sind die Versuche noch mindestens zweimal durchzuführen, nachdem jeweils der Druckaufnehmer gereinigt und bei 65 °C getrocknet worden ist. Hierbei ist darauf zu achten, dass die Messkette immer die geforderten Genauigkeitsgrenzen (§ 41 Abs. 2) aufweist.
(2) Der mechanisch-elektrische Druckaufnehmer ist auszuscheiden, wenn dennoch einer der folgenden Mängel festgestellt wird:
- 1. Instabilität der Messungen bei gleichem Druck und bei jedem Versuch höher als 2%;
- 2. Linearitätsabweichung in der Kurve der primären Kalibrierung um mehr als 1%;
- 3. Feststellung von Abweichungen des Druckaufnehmers während des Kalibriervorganges.
Wahl des Kalibrators
§ 48. (1) Für die Untersuchung des statischen Verhaltens der mechanisch-elektrischen Druckaufnehmer sind diese mit Hilfe eines statischen Kalibrators (Manometerwaage) einem Referenzdruck auszusetzen, der als Primärgröße dient.
(2) Für die Überprüfung der Übereinstimmung zwischen den dynamischen Empfindlichkeiten bei Messungen und den statischen Empfindlichkeiten bei der Kalibrierung ist ein dynamischer Kalibrator (Ölbombe, Referenzmunition mit mehrstufigen Ladungen, Stoßwellenrohr) zu verwenden.
(3) Die Wahl des Kalibrators ist entsprechend der Skala des zu kalibrierenden Druckaufnehmers vorzunehmen. Hinsichtlich der Arbeitsweise des Kalibrators ist die technische Anweisung seines Herstellers zu beachten. Ebenso ist die Montageanweisung des Herstellers des Druckaufnehmers zu beachten. Es sind die, diesen Angaben entsprechenden Adapter zu verwenden. Insbesondere ist zu vermeiden, dass Luft in den Hydraulikkreis eingeschlossen wird.
(4) Vor der Kalibrierung ist der Isolationswiderstand (Risol) des mechanisch-elektrischen Druckaufnehmers mit Hilfe eines Isolationsprüfgerätes (Ohmmeter mit hoher Prüfspannung) zu messen:
- 1. Ist Risol >1 · 1012, kann die Kalibrierung vorgenommen werden;
- 2. ist Risol <1 · 1012, ist der Stecker zu reinigen bzw. der Druckaufnehmer für mehrere Stunden einer Temperatur von etwa 80 °C auszusetzen und sodann der Isolationswiderstand erneut zu prüfen;
- 3. verbleibt Risol <1 · 1012, ist der Druckaufnehmer außer Betrieb zu nehmen.
(5) Weiters ist vor jeder Kalibrierung der zu prüfende Druckaufnehmer einer Vorbehandlung zu unterziehen, indem er mit Hilfe der manometrischen Ausstattung in drei aufeinanderfolgenden Belastungen dem Höchstdruck der vorgesehenen Kalibrierung ausgesetzt wird.
Statischer Kalibrator
§ 49. (1) Die statische Kalibrierung ist mit einer Manometerwaage nach folgendem Messschema durchzuführen:
(2) Die einzelnen Elemente der Messkette haben die folgenden Genauigkeitsgrenzen einzuhalten:
- 1. Referenzdruck: 0,2%;
- 2. Kalibrierkondensator: 0,3%;
- 3. Spannungsnormal: 0,1%;
- 4. Ladungsverstärker: 0,1% vom Endwert;
- 5. Messwerterfassung: 0,1%;
- 6. zusammengesetzte Messunsicherheiten: 1%.
(3) Im Verlaufe jedes Kalibrierzyklus (§ 45 Abs. 2 und § 46 Abs. 2) sind die Druckstufen nacheinander in aufsteigender Reihenfolge durchzuführen, wobei zwischen den einzelnen Punkten für einige Sekunden zum Atmosphärendruck zurückgekehrt wird.
(4) Vor jedem Kalibrierzyklus (Abs. 3) ist mit Hilfe der Normspannung und der Kapazität des Kalibrierkondensators der Verstärkungsfaktor des Ladungsverstärkers zu ermitteln.
(5) Alle Spannungen, die den Einstellungen und Druckstufen entsprechen, sind zu erfassen. Daraus sind die Kalibrierkurve, die Linearitätsabweichung, die Wiederholbarkeit im Verlaufe der Kalibrierung und die Empfindlichkeit des Druckaufnehmers zu ermitteln. Für jeden Messpunkt ist die elektrische Ladung Q des Druckaufnehmers wie folgt zu bestimmen:
Q = (V1 - V0) · G.
(6) Ausgehend von den drei Ladungswerten, die jeweils bei den einzelnen Druckstufen erhalten werden, wird die Gerade der „kleinsten Fehlerquadrate“ (§ 44 Abs. 4 und § 45 Abs. 4) ermittelt.
Dynamischer Kalibrator
§ 50. (1) Für die dynamische Kalibrierung wird die Energie des Falls einer Masse M verwendet, die ein Wertepaar Druck - Ladung definiert. Die Kalibrierung erfolgt nach folgendem Messschema:
Es bedeutet: A: Impulsdruckgeber;
B1: Verhältnis Druck/Fallhöhe;
B2: Referenzwandler;
C: Kalibrierkondensator;
D: Ladungsverstärker;
E: Spannungsnormal;
F: Messwerterfassung;
G: Rechner;
H: Fallhöhe;
I: Drucker;
T: zu kalibrierender Druckaufnehmer;
M: Fallmasse.
Die einzelnen Elemente der Messkette haben sinngemäß die Genauigkeitsgrenzen gemäß § 49 Abs. 2 einzuhalten. Die zusammengesetzten Messunsicherheiten müssen 1% sein.
(2) Für die Vorbereitung und Durchführung der Messungen gelten die Bestimmungen des § 49 Abs. 3 und 4 sinngemäß.
(3) Bei der Methode „Verhältnis Druck-Fallhöhe“ wird eine Masse M verwendet, die entsprechend den Belastungsstufen und Messungen nacheinander von immer höheren Höhen fallen gelassen wird. Bei jeder Fallhöhe und bei jeder Messung wird der Höchstdruckwert registriert und daraus die Kalibrierkurve ermittelt.
(4) Bei der Methode „Referenzdruckaufnehmer“ wird eine Masse M von einer Maximalhöhe fallen gelassen und die dynamische Reaktion des Referenzwandlers (B2), der den Druck des manometrischen Gerätes (A) angibt, im Vergleich zur dynamischen Reaktion des zu prüfenden Druckwandlers (T), der den Wert der gemessenen Ladung angibt, registriert. Die Wertepaare Druck/Ladung ergeben die Kalibrierkurve des zu prüfenden Druckaufnehmers (T), die für die gesamte Messbreite gilt.
Auswertung der Messergebnisse
§ 51. (1) Von allen Punkten der Kalibrierzyklen (§ 45 Abs. 2 und § 46 Abs. 2) ist die Kalibrierkurve zu berechnen, die gemäß folgendem Diagramm eine Regressionskurve x-ten Grades darstellt, und von der die Empfindlichkeit des Druckaufnehmers und seine Abhängigkeit vom Wert P abgeleitet werden können.
(2) Für die Bestimmung der Gerade der „kleinsten Fehlerquadrate“ (§ 44 Abs. 4 und § 45 Abs. 4) ist der DurchschnittswertQk aus den für jede Druckstufe k durchgeführten drei Messungen wie folgt zu berechnen:
Es bedeutet: Qk1: erste Messung, Stufe k;
Qk2: zweite Messung, Stufe k;
Qk3: dritte Messung, Stufe k.
(3) Die Empfindlichkeiten Sk sind mit Hilfe der Wertepaare Pk undQk wie folgt zu ermitteln:
Zu Vergleichszwecken ist die mittlere Empfindlichkeit S mit Hilfe der folgenden Gleichung zu berechnen:
Es bedeutet: S: mittlere Empfindlichkeit;
Pk: Kalibrierdruck der Druckstufe k;
Qk: mittlere Ladung bei Druck Pk;
n: Zahl der Kalibrierstufen.
(4) Die Berechnung der Linearität L ist nach folgender Formel vorzunehmen:
Es bedeutet: Qmax = (
Qk - S · Pk )max;
QFS = S · PFS;
QFS = Ladung der höchsten Stufe
PFS = Druck der höchsten Stufe.
5. Hauptstück
Verbindlicherklärung von technischen Normenwerken
Verbindlicherklärung von ÖNORMEN
§ 52. Folgende, in der Anlage 1 dargestellte ÖNORMEN werden für verbindlich erklärt:
- 1. ÖNORM S 1232 „Kartuschen mit Hülse für Schussapparate - Meßlauf“ Ausgabe: 1. April 1997;
- 2. ÖNORM S 1233 „Kartuschen für Alarmwaffen - Meßläufe“ Ausgabe: 1. April 1997;
- 3. ÖNORM S 1234 „Patronen mit Kleinschrot - Meßlauf“ Ausgabe: 1. April 1997.
Verbindlicherklärung von ON-Regeln
§ 53. Folgende, in Anlage 2 dargestellte ON-Regeln werden für verbindlich erklärt:
- 1. ONR 191390 „Randfeuerpatronen - Abmessungen und Gasdrücke“ Ausgabe: 1. Jänner 2013;
- 2. ONR 191391 „Pistolen- und Revolverpatronen - Abmessungen und Gasdrücke“
Ausgabe: 1. Jänner 2013;
- 3. ONR 191392-1 „Büchsenpatronen ohne Rand - Abmessungen und Gasdrücke“
Teil 1: Metrische Kaliber Ausgabe: 1. Jänner 2013;
- 4. ONR 191392-2 „Büchsenpatronen ohne Rand - Abmessungen und Gasdrücke“
Teil 2: Metrische Kaliber Ausgabe: 1. Jänner 2013;
- 5. ONR 191393-1 „Büchsenpatronen mit Rand - Abmessungen und Gasdrücke“
Teil 1: Metrische Kaliber Ausgabe: 1. Jänner 2013;
- 6. ONR 191393-2 „Büchsenpatronen mit Rand - Abmessungen und Gasdrücke“
Teil 2: Kaliber in Zoll Ausgabe: 1. Jänner 2013;
- 7. ONR 191394 „Magnumpatronen - Abmessungen und Gasdrücke“ Ausgabe: 1. Jänner 2013;
- 8. ONR 191395 „Schrotpatronen“ Ausgabe: 1. Jänner 2013;
- 9. ONR 191396 „Kartuschen für Schussapparate - Abmessungen und Gasdrücke“
Ausgabe: 1. Jänner 2013;
- 10. ONR 191397 “Kartuschen für Alarmwaffen - Abmessungen und Gasdrücke“
Ausgabe: 1. Jänner 2013;
- 11. ONR 191399 “Sondermunition - Abmessungen und Gasdrücke“ Ausgabe: 1. Jänner 2013.
6. Hauptstück
Schlussbestimmungen
Sprachliche Gleichbehandlung
§ 54. Soweit in dieser Verordnung auf natürliche Personen bezogene Bezeichnungen nur in männlicher Form angeführt sind, beziehen sie sich auf Frauen und Männer in gleicher Weise. Bei der Anwendung der Bezeichnung auf bestimmte natürliche Personen ist die jeweils geschlechtsspezifische Form zu verwenden.
Verweisungen
§ 55. Verweisungen in dieser Verordnung auf andere Verordnungen sind als Verweisungen auf deren jeweils geltende Fassung zu verstehen.
Inkrafttreten und Außerkrafttreten
§ 56. Diese Verordnung tritt mit Ablauf des Tages ihrer Kundmachung in Kraft; gleichzeitig tritt die Patronenprüfordnung 1999, BGBl. II Nr. 388/1999, außer Kraft.
EU-Notifikation
§ 57. Diese Verordnung wurde gemäß Richtlinie 98/34/EG über ein Informationsverfahren auf dem Gebiet der Normen und technischen Vorschriften und der Vorschriften für die Dienste der Informationsgesellschaft, ABl. Nr. L 204 vom 21.07.1998 S. 37, zuletzt geändert durch Verordnung (EU) Nr. 1025/2012 , ABl. Nr. L 316 vom 14.11.2012 S. 12, unter Notifikationsnummer 2013/0303/A notifiziert.
Anlage 1
Anlage 2
Anlage 3
Anlage 4
Anlage 5
Anlage 6
Anlage 7
Anlage 8
Anlage 9
Anlage 10
Anlage 11
Anlage 12
Anlage 13
Anlage 14
Mitterlehner
Lizenziert vom RIS (ris.bka.gv.at - CC BY 4.0 DEED)
