Aufwendungen für ein häusliches Arbeitszimmer sind nur bei ausschließlich betrieblicher/beruflicher Nutzung und der Notwendigkeit anzuerkennen.
European Case Law Identifier: ECLI:AT:BFG:2017:RV.7101193.2016
Beachte:
Revision eingebracht. Beim VwGH anhängig zur Zahl Ro 2017/13/0017. Zurückweisung mit Beschluss vom 22.11.2017.
Entscheidungstext
IM NAMEN DER REPUBLIK
Das Bundesfinanzgericht hat durch die Vorsitzende Dr. Viktoria Blaser und die weiteren Mitglieder Mag. Christine Gruber-Nadlinger, Mag. Martin Saringer und Mag. Claudia Melchert-Strohmaier im Beisein der Schriftführerin X in der Beschwerdesache Dr. Claus Bf., Gasse, 1020 Wien, vertreten durch Fussenegger und Partner WP u Stb GmbH, Esslinggasse 17/6, 1010 Wien, über die Beschwerde vom 29.10.2015 gegen die Bescheide der belangten Behörde Finanzamt Wien 2/20/21/22 vom 31.08.2015, betreffend Umsatzsteuer und Einkommensteuer für die Jahre 2011-2013 nach Durchführung einer mündlichen Verhandlung zu Recht erkannt:
Die Beschwerde wird gemäß § 279 BAO als unbegründet abgewiesen.
Gegen dieses Erkenntnis ist eine Revision an den Verwaltungsgerichtshof nach Art. 133 Abs. 4 Bundes-Verfassungsgesetz (B-VG) zulässig.
Entscheidungsgründe
Im Juni 2010 erwarben der Beschwerdeführer Dr. Claus Bf. und sein Bruder gemeinsam den Rohdachboden der Liegenschaft, 1020 Wien, LG 9.
Der Bf. baute im Jahr 2011 die Dachgeschoßwohnung Top 17 aus.
Das Top 17 besteht aus einem als "Rezeption" bezeichneten Raum, einem "Arbeitszimmer" und einer Toilette. Weiters ist eine Terrasse vorhanden.
Das Top 17 wird mit einer Treppe mit der darunter liegenden Privatwohnung des Bf. mit 180 m2 Fläche verbunden.
Betreffend den Ausbau der Dachgeschoßwohnung hat der Bf. für den vorderen Teil, etwa 50% der Gesamtfläche, bereits 2011 Werbungskosten in Höhe von € 6.606,92, davon € 2.456,54 für Absetzung für Abnutzung, € 3.139,65 für Fremdfinanzierung und € 1.010,73 für übrige Werbungskosten geltend gemacht und für das Jahr 2011 einen Verlust aus Vermietung und Verpachtung in Höhe von Euro 6.606,92 erklärt.
Weiters machte er für den Ausbau Vorsteuern in Höhe von € 8.323,60 geltend.
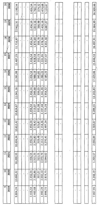
Auf Grund eines Ergänzungsersuchen des Finanzamtes legte der Bf. am 05.08.2013 den Kaufvertrag betreffend den gesamten Rohdachboden des Hauses LG 9, die Aufstellung der Kosten DG -AVZ, den Kreditvertrag, den Totalunternehmervertrag "Errichtung eines Dachraumes" und folgende Prognoserechnung vor:
Aus dem Totalunternehmervertrag geht unter Punkt "Sonstige" hervor, dass eine Anbindung der Dachterrasse mit der Wohnung Claus Bf. mit einer "gewendelten" Treppe beauftragt worden war.
Die Veranlagung für das Jahr 2011 (Bescheide vom 25.09.2013) erfolgte erklärungsgemäß.
In der Begründung zu dem Einkommensteuerbescheid 2011 wurde vom Finanzamt ausgeführt, dass ein Rohdachboden ausgebaut und zur Vermietung zugeführt werde - die Vermietung erfolge voraussichtlich Ende des Jahres 2013/Anfang 2014.
Im Jahr 2012 erfolgte der Kauf von zwei Appartements im Erdgeschoß des Hauses LG 9 mit einer Fläche von 30 m² und 35 m², welche in den Folgejahren saniert wurden.
Der Bf. erklärte für die 2012 und 2013 folgende negative Einkünfte aus Vermietung betreffend LG 9:
| 2012 | 2013 |
Top 17 | -8.738,58 | -10.184,34 |
Erdgeschoßappartements | - 978,94 | -19.699,30 |
neg. Einkünfte aus Vermietung und Verpachtung | -9.717,52 | -29.883,64 |
Die Einkommensteuerbescheide 2012 (05.05.2014) und 2013 (09.12.2014) ergingen erklärungsgemäß.
In den Umsatzsteuererklärungen 2012 und 2013 machte der Bf. ua. Vorsteuern für Top 17 in Höhe von € 1.572,51 und € 1.130,21 geltend.
Die Veranlagungen erfolgten erklärungsgemäß.
Im Jahr 2014 wurden Verluste aus Vermietung LG 9/1 in Höhe von € 31.355,83 erklärt.
Für die Jahre 2011 bis 2013 erfolgte im Jahr 2015 eine Außenprüfung (Prüfungsbeginn 11.05.2015).
"Gegenstand der Außenprüfung - Zeiträume" waren die Umsatzsteuer und Einkommensteuer für die Jahre 2011 bis 2013.
In der im Zuge der Außenprüfung vorgelegten Prognoserechnung vom 02.07.2015 wurden vom Bf. deutlich höher prognostizierte Einnahmen angenommen und weiters auch die in den Jahren 2012 und 2013 angefallenen und prognostizierten Aufwendungen, die im Zusammenhang mit den beiden Wohnungen im Erdgeschoß stehen, angeführt.
Vorgelegt wurden weiters der Plan des Dachbodenausbaus, die Betriebskostenabrechnungen für 1-12/2013 und eine Rechnung betreffend Planungsleistungen BV-LG 9/Erdgeschoß.
Folgende steuerliche Feststellungen betreffend die Einkünfte aus Vermietung und Verpachtung wurden in dem Bericht vom 31.08.2015 auszugsweise festgehalten:
"....
Tz. 2 Einkünfte aus Vermietung Gasse (Appartementvermietung)
Sachverhalt
Kauf Rohdachboden (DG-Top 17) Juni 2010 gemeinsam mit Bruder (80/1050-Anteile)
Kauf Top 1 (Erdgeschoß) Dezember 2012 (179/1050-Anteile) — Appartementvermietung
Folgende Beträge/Werbungskosten wurden 2011-2013 steuerlich geltend gemacht:
...
Vorhalteverfahren betreffend Einkommensteuererklärung 2011-Vermietung Gasse im Juli/August 2013 - Vermietungsgegenstand/Einkunftsquelle:
"Betreffend die Einnahmen können wir mitteilen, dass derzeit noch umgebaut wird und erst Ende dieses Jahres bzw. Anfang des Jahres 2014 mit ersten Mieteinnahmen zu rechnen ist."
Anmerkung Außenprüfung: Vorlage Prognoserechnung 2011-2013 für Gasse -in Prognoserechnung/Steuererklärung, kein Hinweis auf Kauf der Wohnung im Erdgeschoß bei Einreichung der Steuererklärung 2011- vorgelegte Prognoseberechnung bezieht sich nur auf die Dachgeschoßwohnung und nicht auf die geplante Appartementvermietung.
Arbeitszimmer Top 17 - Auszüge aus der Vorhaltebeantwortung Juni 2017:
Wofür (welche Tätigkeiten werden ausgeübt) wird die DG-Wohnung Top 17 benötigt?
"Die DG-Wohnung Top 17 wird im Zusammenhang mit der Vermietung für die gesamte Verwaltungstätigkeit sowie den Empfang und die Begrüßung der Gäste genutzt."
Wie wurde das Ausmaß der Nutzung für Vermietung ermittelt (laut Unterlagen werden die Betriebskosten für ein halbes Jahr herangezogen und davon 30% steuerlich geltend gemacht)?
"Aufgrund des vorliegenden Plans der Wohnung Top 17 ist ersichtlich, dass der vordere Bereich in etwa 50% der Gesamtfläche ausmacht. Da dieser Bereich wie beschrieben ausschließlich für die Vermietung verwendet wird, sollten die Kosten mit 50% angesetzt werden..."
Wann erfolgte die Fertigstellung/Benutzung der Dachgeschoßwohnung Top 17?
"Die Fertigstellung und Benutzung erfolgte im Jahr 2011."
War von Beginn der Ausbautätigkeit (Wohnung Top 17) geplant, diese Räumlichkeiten als Arbeitszimmer für die Vermietung und Verpachtung zu verwenden oder kam die Überlegung erst nach dem Kauf der Wohnung im Erdgeschoß (Appartements)?
"Ja, weil schon zum damaligen Zeitpunkt die Erdgeschoß-Wohnung seit langem leer gestanden ist und Dr. Bf. von Anfang an Interesse am Erwerb dieser Erdgeschoß-Wohnung hatte, um diese zu sanieren und in weiterer Folge zu vermieten."
Anmerkung Außenprüfung:
Dachgeschoßwohnung Top 17 wurde ausgebaut, bevor der Kauf der Erdgeschoßwohnung (Kaufvertrag vom Dezember 2012) erfolgte - laut Außenprüfung ist es nach Erfahrung des täglichen Lebens unüblich, einen Empfangsraum/Rezeption/Verwaltungsbüro vor Kauf/Anschaffung des Vermietungsobjektes (Appartementvermietung) zu errichten.
Dachgeschoßwohnung Top 17 -Räumlichkeiten - Vorlage eines Planes:
Im Zuge der Durchführung der Außenprüfung wurde ein Plan der Dachgeschoßwohnung der Außenprüfung vorgelegt.
Anmerkung der Außenprüfung:
Der hintere Teil der 70 m2-Wohnung beinhaltet eine Terrassenfläche und eine intern gelegene Wohnungstreppe (zum Erreichen der unterhalb gelegenen Räumlichkeiten im Ausmaß von 180 m2 laut Vorhaltebeantwortung). Dieser Bereich wird laut Plan mit "Keine Küche, sondern Rezeption" bezeichnet.
Der vordere (der Straßenseite zugewandte Bereich) Teil der Wohnung wird laut Plan mit
"Arbeitszimmer" bezeichnet.
Tz 3 Rechtliche Begründung hinsichtlich Nichtanerkennung des Arbeitszimmers/ Rezeption
Die Nutzung eines häuslichen Arbeitszimmers im Rahmen der Vermögensverwaltung durch Vermietung und Verpachtung führt nach geltender Rechtsprechung (siehe dazu VwGH vom 30.9.1999, 98/15/0211 bzw. VwGH 24.4.2002, 98/13/0193) zu nichtabzugsfähigen Aufwendungen, weil keine betriebliche oder berufliche Tätigkeit vorliegt. Sie umfasst somit nicht die im zweiten Satz geregelte Ausnahme vom allgemeinen Abzugsverbot des § 20 Abs. 1 Z 2 lit d EStG 1988.
Betriebliche Tätigkeiten sind solche, die zu den Einkünften aus Land- und Forstwirtschaft, aus selbständiger Tätigkeit oder aus Gewerbebetrieb führen, deren Ergebnis ein nach den §§ 4 bis 14 EStG zu ermittelnde Gewinn (Verlust) ist. Die Vermögensverwaltung stellt demnach keine betriebliche Tätigkeit dar. Der Begriff der beruflichen Tätigkeit wird im Gesetz nicht definiert. Allerdings ist aber nach Verkehrsauffassung die Vermögensverwaltung durch Vermietung und Verpachtung nicht als berufliche Tätigkeit anzusehen.
Dies gilt selbst dann, wenn sich im Einzelfall die Nutzung eines Arbeitszimmers als für die Betätigung im Rahmen der Vermietung notwendig erweisen sollte.
Abgesehen davon kann von seitens der Außenprüfung auch die Nutzungsnotwendigkeit
(Nutzung einer Fläche im Ausmaß von 50% von 70 m2 für den Empfang / Begrüßung / Betreuung der Gäste bei den derzeitig gering vorliegenden Mietverhältnissen) nicht gesehen werden. Ein Vergleich mit einer Rezeption in einem Hotel (Gewerbebetrieb) ist unangemessen.
Stellungnahme der Außenprüfung zu dem bei der Schlussbesprechung vom 27.8.15 vorgebrachten Entscheidungshinweis des Urteils EuGH C-25/03 vom 21.4.2005:
Lieferungen oder sonstige Leistungen, deren Entgelte überwiegend keine abzugsfähigen Aufwendungen (Ausgaben) iS des § 20 Abs. 1 Z 1 bis 5 des EStG 1988 sind, gelten als nicht für das Unternehmen ausgeführt (§ 12 Abs. 2 Z 2 UStG 1994). Die im zitierten Urteil festgestellten Rechtsätze sind auf Grund der gesetzlichen Regelung nicht anwendbar.
Stellungnahme der Außenprüfung zu der bei der Schlussbesprechung vom 27.8.15 vorgebrachten Einwendungen betreffend Einstufung der beiden Appartements zur Gewerblichkeit:
Die Abgrenzung der Vermögensverwaltung zum Gewerbebetrieb geht von Art und Umfang der zusätzlichen Leistungen aus. Die Entscheidung richtet sich danach, ob die zusätzlichen Aufwendungen einen über die bloße Vermögensverwaltung hinausgehenden Ertrag und/oder Nutzen erwarten lassen. Die Grenze der Vermögensverwaltung wird überschritten, wenn Maßnahmen gesetzt werden, um "ein Mehr" an Einkünften zu erzielen, als sich alleine aufgrund des bloßen Kapitaleinsatzes erzielen ließe (VwGH 31.5.1983, 82/14/0188). Das kurzfristige Vermieten von fünf mit Kochgelegenheiten ausgestatteten Appartements an Saisongäste ist im Regelfall noch keine gewerbliche Betätigung (VwGH 3.5.1983, 82/14/0248). Die Vermietung von achtzehn Wohneinheiten inklusive Inventar, bei durchschnittlich einem Mieterwechsel pro Jahr und gleichzeitiger Weiterverrechnung der für die Wohnung angefallener Stromkosten an die Mieter, stellt eine vermögensverwaltende Tätigkeit dar (VwGH 30.9.1999, 97/15/0027).
Laut Außenprüfung werden im Internet die im Erdgeschoss gelegenen Appartements (circa 30m2 und 35m2) wie folgt angeboten: Belegung 1-7 Personen möglich (4 Personen in Leopold, 3 in Josefine), bei sehr kleinen Personen mit großer Persönlichkeit (Babies, Kleinkinder) auch mehr.
Laut Außenprüfung ist somit die Grenze der Vermögensverwaltung (es liegen zwei Appartements vor, weniger als die in der Verwaltungspraxis vorgegebenen 5 Appartements - es sind 7 Betten also weniger als die in der Verwaltungspraxis vorgegebenen 10 Betten) nicht überschritten. Die mit dieser Tätigkeit zusammenhängenden Verwaltungsarbeit überschreitet nicht das übliche Maß der vermögensverwaltenden Tätigkeit. Die Zu- und Abfahrt zum Flughafen kann nach Ansicht der Außenprüfung vereinzelt eintreten, ist aber sicherlich nicht der Regelfall. Diese Leistung wird auch nicht im Internet explizit angeboten bzw. ausgewiesen.
Tz 4 Steuerliche Feststellungen - steuerliche Auswirkungen infolge Nichtanerkennung des Arbeitszimmers
Die bisher geltend gemachten Aufwendungen (vgl. Tz.2) im Zusammenhang mit der Dachgeschoßwohnung Top 17 werden steuerlich nicht als Werbungskosten und die Vorsteuern die auf Top 17-Arbeitszimmer entfallen werden nicht anerkannt.
.. vgl. oa. Tz 2)
Tz 10 Darstellung Einkünfte aus Vermietung und Verpachtung (Appartementvermietung):
[...]
..."
Weiters wurde folgende Aktennotiz des Bf. in der Niederschrift über die Schlussbesprechung festgehalten:
"Außenprüfung — Arbeitszimmer
Umsatzsteuer - gewerbliche Vermietung
Umsatzsteuer
Das Finanzamt bezieht sich auf eine Berufungsentscheidung des UFS vom 3.4.2006,
RV/0101-S/06, wonach ein Arbeitszimmer bei Einkünften aus Vermietung und Verpachtung nicht anerkannt wird, weil ein Arbeitszimmer nur für betriebliche und berufliche Tätigkeiten steuerlich abzugsfähig sei.
In dieser Entscheidung werden zur Untermauerung der Argumentation zwei Erkenntnisse des Verwaltungsgerichtshofes zitiert. Allerdings:
VwGH vom 30.9.1999, 98/15/0211 bezog sich nur auf Normen des Einkommensteuergesetzes;
VwGH vom 24.4.2002, 98/13/0193 bezog sich ebenfalls nur auf die Einkommensteuer und verfahrensrechtliche Fragen gemäß BAO.
In keinem der beiden Erkenntnisse beschäftigte sich das Höchstgericht mit Normen des UStG.
Die Verknüpfung von § 20 Abs 1 Z 2 lit d EStG 1988 mit § 12 Abs 2 Z 2 lit a UStG 1994 ist nur bedingt zulässig, weil das UStG durch EU-Recht weitgehend determiniert ist. Die Grundlage für die USt selbst bildet die 6. MwSt-RL 77/388/EWG (vgl. zB Berger/Bürgler/Kanduth-Kristen/Wakounig (Hrsg), Umsatzsteuergesetz 1994, Wien 2006, Einführung Rz 23; ebenso Ruppe/Achatz, Umsatzsteuergesetz, 4. Auflage, Wien 2011, Einführung Rz 16 ff).
Gemeinschaftsrecht hat absoluten Vorrang vor nationalen Bestimmungen. Die
Costa/E.N.E.L.-Entscheidung ist ein Urteil des Europäischen Gerichtshofs vom 15. Juli 1964, in dem er den absoluten Vorrang des Gemeinschaftsrechts gegenüber den nationalen Rechtsordnungen feststellte (vgl stellvertretend für viele, Ruppe/Achatz, aao, Einführung Rz 26).
Diesbezüglich möchten wir darauf hinweisen, dass der EuGH den Vorsteuerabzug bei einem Arbeitszimmer iVm einer „auch nur nebenberuflich ausgeübten wirtschaftlichen Tätigkeit“ in einem einschlägigen Urteil anerkennt (vgl EuGH C-25/03 vom 21.4.2005).
Die in dieser Vorabentscheidung angesprochenen Art 2 und 4 der RL sind jedenfalls erfüllt. Art 2 behandelt die Umsatzsteuerpflicht von Lieferungen und sonstigen Leistungen und Art 4 definiert das Tatbestandselement des Steuerpflichtigen.
Bei der Vermietung und Verpachtung eines Grundstücks handelt es sich um eine sonstige
Leistung im Sinne des § 3 Abs 9 UStG 1994.
Unternehmer ist gemäß § 2 Abs 1 UStG jemand, der eine gewerbliche oder berufliche
Tätigkeit selbständig ausübt. Nach der Rechtsprechung des EuGH (Rs „Enkler“) vom
26.9.1996 ist selbst die Vermietung eines Wohnmobils jedenfalls eine wirtschaftliche
Tätigkeit im Sinne der RL, wenn sie zur nachhaltigen Erzielung von Einnahmen
vorgenommen wird (Ruppe/Achatz, aao, § 2 Rz 45/2; ebenso Berger/Bürgler/Kanduth—
Kristen/Wakounig (Hrsg), aao, § 2 Rz 51).
Die Vermietung der beiden Ferienwohnungen durch Dr. Bf. erfolgt nachhaltig unter
Teilnahme am wirtschaftlichen Verkehr (vgl zB professioneller online-Auftritt). Die
umsatzsteuerliche Unternehmereigenschaft von Dr. Bf. in diesem Zusammenhang steht wohl außer Zweifel.
Die beiden Erkenntnisse des VwGH, welche der UFS anspricht, ergingen vor der
gegenständlichen EuGH-Entscheidung. Diese EuGH-Entscheidung ist - soweit ersichtlich - die einzige Entscheidung auf Basis des Gemeinschaftsrechts, die sich mit einem beruflich
verwendeten Arbeitszimmer iVm Vermietung und Verpachtung auseinander setzt. Die
Entscheidung des UFS wurde nicht an das Höchstgericht herangetragen.
Unabhängig davon hat der VwGH zur Zulässigkeit der Abzugsfähigkeit von Aufwendungen
für ein Arbeitszimmer bereits am 27.8.1991, 91/14/0086, zum EStG 1972 ausgesprochen, dass die Verkehrsauffassung den Maßstab für die Abgrenzung des Bereichs der Einkünfteerzielung zum übrigen Lebensbereich bildet.
Der EuGH lässt den Vorsteuerabzug bei einer „auch nur nebenberuflich“ ausgeübten
wirtschaftlichen Tätigkeit ausdrücklich zu, was letztlich auch der Lebenserfahrung gerade im konkreten Prüfungsfall entspricht. Die Vermietung von zwei Luxusappartements in
Innenstadtlage bedarf eines ungleich höheren organisatorischen und marketingmäßigen
Aufwands als die bloße Vermietung eines einzelnen Gästezimmers im ländlichen Raum.
Die gegenständliche Dachgeschoßfläche erfüllt weit mehr als nur die Aufgabe einer
Rezeption. Den umfangreichen Leistungen der Appartementvermietung in Innenstadtlage entsprechend handelt es sich vielmehr um eine Kombination aus Rezeption und Büro, von wo aus die Vermietung der Appartements durch eine eigene Angestellte (wenn auch nur geringfügig) gesteuert werden (vom Empfang, über Marketing, Rechnungswesen, usw). Es geht im vorliegenden Fall um kurzfristige Vermietung, die unter anderem eine dauernde Werbung von Kunden, Kommunikation mit diesen, Verwaltung der Buchungen (bis zu 10 pro Monat), Markenpflege, Homepage-Aktualisierung, laufende Betreuung der Kunden (siehe zB das über 50 seitiges Booklet über den zweiten Bezirk und die Nachbarschaft — das wird tagesaktuell gehalten) etc. Das ist unmöglich mit einer Vermietung und Verpachtung von Büros vergleichbar.
Wenn die Außenprüfung feststellt, dass es nach der Erfahrung des täglichen Lebens unüblich ist, dass zuerst eine Rezeption (Empfangsraum) errichtet wird, bevor die Vermietungsobjekte geschaffen wurden, so ist dem entgegenzuhalten, dass die Vermietungsobjekte ursprünglich noch nicht bestandsfrei waren bzw sich die Ankaufverhandlungen mit dem Vor-Eigentümer entsprechend hingezogen haben. Nicht zuletzt fehlte es auch zunächst am nötigen Kapital (inklusive für die Sanierung) um gleich alles auf einmal zu erwerben und zu sanieren (Dachgeschoß und Erdgeschoß). Nichtsdestotrotz war die Absicht die Räumlichkeiten zu erwerben und zu vermieten von Anfang an gegeben.
Ausgehend von der Tatsache, dass Buchungen vorliegen im Ausmaß von bis zu 10 pro
Monat, kann wohl nicht mehr von Vermögensverwaltung gesprochen werden.
Dazu der VwGH:
VwGH vom 13.10.1982, 82/13/0125, Stammrechtssatz: „Die ständige Vermietung mehrerer Schlafstellen an eine Vielzahl von oft wechselnden Personen nach Art eines
Beherbergungsbetriebes ist als gewerbliche Tätigkeit anzusehen“.
VwGH 20.11.1989, 88/14/0230, RS 10 „Eine kurzfristige Vermietung mehrerer eingerichteter Ferienwohnungen erfordert in aller Regel eine Verwaltungsarbeit, die das bei „bloßer Vermietung“ übliche Ausmaß deutlich übersteigt.
RS 11 - die Verwaltungsarbeit muss in erheblichem Umfang das Ausmaß überschreiten, das üblicherweise mit der Verwaltung einer Liegenschaft verbunden ist.
RS 12: unübliche Leistung - also solche, die für eine gewerbliche Vermietung sprechen:
- Wäsche, Geschirr, Einrichtungsgegenstände werden zur Verfügung gestellt;
- laufende Reinigung der Wohnungen;
Entscheidend ist nach diesem Erkenntnis der Umfang der Verwaltungsarbeit.
Im vorliegenden Fall zB:
Zu- und Abfahrt zum Flughafen
die Bereitstellung von Fax und Internet
Bereitstellung von Bettwäsche, Geschirr
Bereitstellung von Fahrrädern
Reinigung
Nach der Verwaltungspraxis, der sich die Judikatur anschließt, liegt die Grenze zwischen
V+V und gewerblicher Vermietung bei 10 Betten. Es handelt sich dabei aber um kein Gesetz. Und 8 Betten liegen vor, allenfalls sogar bis zu 10 Betten (weil Beistellbetten verfügbar sind). Das heißt, auch dieses Merkmal wäre sogar annähernd erreicht.
Generell; je höher die Buchungsfrequenz, desto eher liegt eine gewerbliche Vermietung vor.
Das Gesamtbild der Verhältnisse spricht somit jedenfalls für eine Gewerblichkeit."
Am 31. August 2015 ergingen im wiederaufgenommenen Verfahren die neuen Umsatzsteuer- und Einkommensteuerbescheide für die Jahre 2011 bis 2013.
Die Wiederaufnahme erfolgte auf Grund der im B P-Bericht (vgl. oa. Niederschrift) vom August 2015 getroffenen Feststellungen.
In der Begründung der Sachbescheide wurde ausgeführt, dass die Vermietung der beiden Appartements als vermögensverwaltende Tätigkeit zu qualifizieren sei und die Aufwendungen im Zusammenhang mit der Dachgeschoßwohnung Top 17 nicht als Werbungskosten anzuerkennen seien. Ein Arbeitszimmer könne nur im Zusammenhang mit einer beruflichen und betrieblichen Tätigkeiten steuerlich anerkannt werden.
Abgesehen davon könne von seiten der Außenprüfung auch die Nutzungsnotwendigkeit (Nutzung einer Fläche von 50% von 70m2 für den Empfang/Begrüßung/Betreuung der Gäste bei den derzeitig geringen Mietverhältnissen) nicht gesehen werden.
Zu den nicht anerkannten Vorsteuern führte die Außenprüfung aus, dass Lieferungen oder sonstige Leistungen, deren Entgelte überwiegend keine abzugsfähigen Aufwendungen (Ausgaben) iS des § 20 Abs. 1 Z 1 bis 5 des EStG 1988 seien, nicht als für das Unternehmen ausgeführt (§ 12 Abs. 2 Z 2 UStG 1994) gelten würden.
Die im zitierten Urteil festgestellten Rechtsätze seien auf Grund der gesetzlichen Regelung nicht anwendbar.
Gegen die Umsatz- und Einkommensteuerbescheide 2011 bis 2013 vom 31.08.2015 wurde Beschwerde mit folgender Begründung eingebracht:
"In der Betriebsprüfung unseres Klienten für die Jahre 2011 - 2013 geht das Finanzamt bei der Vermietungstätigkeit im Bezug auf zwei Ferienwohnungen von Einkünften aus
Vermietung und Verpachtung aus (siehe Erläuterungen im Betriebsprüfungsbericht vom
31.08.2015). Aus diesem Grund erkennt das Finanzamt ein im Zusammenhang mit der
Vermietungstätigkeit stehendes Arbeitszimmer nicht an.
Von unserer Seite wird bestritten, dass es sich im vorliegenden Fall um Einkünfte aus
Vermietung und Verpachtung handelt, wobei hinsichtlich der Umsatzsteuer aus unserer Sicht selbst im Falle von Vermietungseinkünften der Vorsteuerabzug zusteht, da EU-Recht in diesem Fall österreichischem Recht vorgeht.
Einkommensteuer-Gewerbliche Vermietung
Bei der gegenständlichen Vermietung der beiden Ferienwohnungen handelt es sich entgegen der Meinung der Abgabenbehörde nicht um Einkünfte aus Vermietung und Verpachtung, sondern um Einkünfte aus Gewerbetrieb.
Die Abgrenzung der Vermögensverwaltung (Vermietungseinkünfte) zum Gewerbetrieb geht von Art und Umfang der zusätzlich erbrachten Leistungen aus. Die Entscheidung richtet sich danach, ob die zusätzlichen Aufwendungen einen über die bloße Vermögensverwaltung hinausgehenden Ertrag und/oder Nutzen erwarten lassen. Die Grenze der Vermögensverwaltung wird überschritten, wenn Maßnahmen gesetzt werden, um ein „Mehr" an Einkünften zu erzielen, als sich alleine auf Grund des bloßen Kapitaleinsatzes erzielen ließe. Insgesamt müssen zur bloßen Vermietung besondere, damit im Regelfall nicht gegebene Umstände hinzutreten, durch die eine über die Nutzungsüberlassung hinausgehende weitere Tätigkeit des Vermieters bedingt wird (vgl EStR Rz 5420 und Rz 5433 mV auf VwGH).
Laut VwGH (VwGH 13.10.1982, 82/13/0125) ist die ständige Vermietung mehrerer Schlafstellen an eine Vielzahl von oft wechselnden Personen nach Art eines Beherbergungsbetriebes als gewerbliche Tätigkeit anzusehen. Weiters erfordert eine kurzfristige Vermietung mehrerer eingerichteter Ferienwohnungen in aller Regel eine Verwaltungsarbeit, die das bei „bloßer Vermietung" übliche Ausmaß deutlich übersteigt (VwGH 20.11.1989, 88/14/0230).
Solche zusätzlichen Verwaltungsarbeiten können laut Literatur zB die Mitvermietung der
Einrichtung inkl Geschirr oder die Wartung der Zimmer (Reinigung) sein (vgl JAKOM, EStG, § 28, R24)
Entscheidend ist stets der Umfang der Verwaltungsarbeit.
Für die vorliegende Tätigkeit durch Dr. Bf. (bzw durch die eigens dafür angestellte
Mitarbeiterin) sind zusätzliche Serviceleistungen gegeben, die nach Art und Umfang weit
über das gewöhnliche Ausmaß einer Vermietung hinaus gehen. Diese sind für eine
erfolgreiche und nachhaltige Belegung der beiden Luxusferienwohnungen im Zentrum Wiens unabdingbar und nicht mit einer herkömmlichen Vermietung von Wohnungen oder Büro vergleichbar.
Dabei handelt es sich beispielsweise um:
- Empfang der Gäste an der repräsentativen Rezeptionstheke
- Organisation Flughafentransfer
- Tagesaktuelle Aktualisierung und Zur-Verfügung-Stellung des über 50 seitigen Booklets über den zweiten Bezirk und die Nachbarschaft (beinhaltet Lokale, Einkaufstipps, Informationen zum Bezirk etc)
- Bereitstellung von Internet (Wi-Fi)
- Bereitstellung von frischer Bettwäsche und Handtüchern
- Bereitstellung einer voll ausgestatteten Küche (Herd, Geschirrspüler, Kaffeemaschine, Wasserkocher) samt Geschirr, Kochtöpfen und -pfannen‚ Besteck, Kochutensilien etc
- Bereitstellung von Kaffee (eigens gebrandete Privatröstung) und selbst angefertigter Teemischungen, sowie Olivenöl‚ Essig, Salz, Pfeffer, Zucker, Süßigkeiten-Präsenten etc
- Bereitstellung von Putz- und Reinigungsmitteln, sowie Bügeleisen, Waschmaschine und —Trockner
- Verkauf von Weinen, Schnäpsen, Fruchtsäften und Honig
- Bereitstellung von Naturkosmetik (Seife, Duschgel)
- Bereitstellung von Fahrrädern samt Helmen und Kartenmaterial
- wöchentliche Reinigung der Wohnung
- Zurverfügungstellung von Babybett samt -bettzeug‚ Babyhochstuhl und BuggySelektion von Wien- Reiseführern und Viennensien
- Regelmäßige Webseiten-Wartung mit externer Unterstützung durch Fachleute (zB professionelle Texter, Webdesigner, Grafikbüro, Fotografen)
- Übernahme von Lokal-Reservierungen und Beratung zu Ausflugszielen, Spaziergängen etc
Den umfangreichen Leistungen der Appartementvermietung in Innenstadtlage entsprechend wird für all diese Tätigkeiten ein Arbeitszimmer benötigt (zu Details über Größe und Lage des Arbeitszimmers wird auf das Vorbringen im Rahmen der Betriebsprüfung verwiesen).
Dabei handelt es sich um eine Kombination aus Rezeption und Büro, von dem aus die
aufwendige Verwaltung der Appartements sowie die Durchführung der Zusatzleistungen wie oben beschrieben durch eine eigene (geringfügig beschäftigte) Angestellte gesteuert
werden.
Es handelt sich im vorliegenden Fall um die kurzfristige Überlassung hochwertig
ausgestatteter Ferienwohnungen (mit eigener Marke: "Chez Bf."), deren Besucher
entsprechend der Zimmerausstattung auch eine hochwertige und spezielle Betreuung
erwartet. Nur in Verbindung mit diesen Serviceleistungen besteht die Möglichkeit, im
mittlerweile in Großstädten hart umkämpften Ferienwohnungsmarkt zu bestehen. Eine
dauernde Werbung um Kunden ist dabei unerlässlich. Und sie hat im vorliegenden Fall
Erfolg, gibt es doch durchschnittlich bis zu zehn Buchungen pro Monat, die jedoch einen erheblichen Verwaltungsaufwand erfordern und von einer eigenen Angestellten abgewickelt werden müssen.
Buchungsanfragen werden sowohl über die eigene Homepage (www) als auch im Wege spezialisierter Buchungsplattformen (zB AirBnB, FeWo Direkt, Homeaway etc) generiert. Der Aufwand bis zur Erzielung einer Buchung ist allerdings hoch, im Durchschnitt kommt auf etwa 5 bis 10 Buchungsanfragen nur eine Buchung. Die Korrespondenz ist, der Natur solcher Buchungsplattformen entsprechend, intensiv (Kontaktaufnahme, Vereinbarung der Ankunft, oftmals Sonderwünsche wie Restaurantbuchungen, Ausflugsziele etc, nach Ende des Aufenthaltes Bewertung auf der Buchungsplattform etc). Die Präsenz der Appartements auf den Buchungsplattformen ist laufend zu warten, um die Chance von Buchungsanfragen zu erhöhen, zumal die Algorithmen der Buchungsplattformen vorsehen, dass eine Aktualisierung der Beschreibung und möglichst rasche Beantwortung von Buchungsanfragen zu einer besseren Reihung führen und damit mehr potentiellen Kunden zur Kenntnis gelangen.
Weiters darf darauf hingewiesen werden, dass die Verwaltung der Gästenächtigungen
administrativen Aufwand mit sich bringt: So müssen die Ortstaxe an die Gemeinde Wien
monatlich berechnet und abgeführt werden, die Meldungen nach dem Meldegesetz eingeholt und verwaltet und die Nächtigungsstatistik an die Gemeinde Wien gemeldet werden. Zudem müssen Reparaturen veranlasst werden, die sich aufgrund der wegen des laufenden Gästewechsels erhöhten Abnützungen von Einrichtung und Ausstattung ergeben.
Schließlich sei erwähnt, dass nach der Verwaltungspraxis die Grenze zwischen
Vermietungseinkünften und gewerblicher Vermietung bei zehn Betten liegt. Es handelt sich dabei jedoch um keine gesetzliche Regelung. Und acht Betten liegen im Falle von Dr. Bf. vor, die durch Beistellbetten auf eine Gesamtzahl von 10 Betten ergänzt werden können. Das heißt, auch dieses Merkmal ist erfüllt.
Unter Berücksichtigung der umfangreichen Zusatzleistungen, die keinesfalls mit einer
Geschäfts- oder Wohnraummiete vergleichbar sind, sondern vielmehr mit einem
Hotelbetrieb‚ sowie der Größe und des Umfangs der Wohnungen spricht das Gesamtbild der Verhältnisse im vorliegenden Fall jedenfalls für Gewerblichkeit, weshalb Einkünfte aus Gewerbebetrieb vorliegen.
Bei betrieblichen Einkünften ist gem. § 20 Abs 2 lit d EStG 1988 ein Arbeitszimmer absetzbar, welches den Mittelpunkt der betrieblichen Tätigkeit darstellt. Diese Voraussetzung ist im vorliegenden Fall jedenfalls gegeben, da alle oben erwähnten Leistungen von dort aus organisiert und gemanagt werden.
Wenn die Außenprüfung feststellt, dass es nach der Erfahrung des täglichen Lebens unüblich ist, dass zuerst eine Rezeption (Empfangsraum) errichtet wird‚ bevor die Vermietungsobjekte geschaffen wurden, so ist dem entgegenzuhalten, dass die Vermietungsobjekte ursprünglich noch nicht bestandsfrei waren bzw sich die Ankaufverhandlungen mit dem Vor-Eigentümer entsprechend hingezogen haben. Nicht zuletzt fehlte es auch zunächst am nötigen Kapital (auch für die Sanierung) um gleich alles auf einmal zu erwerben und zu sanieren (Dachgeschoß und Erdgeschoß). Nichtsdestotrotz war die Absicht die Räumlichkeiten zu erwerben und zu vermieten von Anfang an gegeben."
Hinsichtlich der Ausführungen zur Umsatzsteuer wird - um Wiederholungen zu vermeiden - auf die Ausführungen im Aktenvermerk im Betriebsprüfungsbericht (SS 10 ff) verwiesen.
Am 24.11.2015 erfolgte vom Finanzamtsvertreter eine Begehung der Wohnung Top 17, wobei die Rezeption fotografiert wurde. Weiters wurde festgehalten wurde, dass die geringfügig beschäftigte Arbeitskraft Frau Mag. Bf. sei, der Balkon nicht angesetzt worden sei und von den anderen Räumlichkeiten nur 50% berücksichtigt worden seien.
Auf den Fotos ist ein Raum mit Schreibtisch, ein Wandbord mit aufliegenden Foldern, eine Sitzbank und ein Regal, ein Balkon und eine Toilette abgebildet.
Vorgelegt wurden auch Inserate und E-mails, welche die Appartements beschreiben und die Zufriedenheit der Gäste dokumentieren.
Das Finanzamt entschied über die Beschwerde mit abweisenden Beschwerdevorentscheidungen betreffend die Einkommensteuer- und Umsatzsteuer für die Jahre 2011-2013 vom 11.12.2015 mit der gesondert zugegangener Begründung:
Nach Wiederholung des bisher festgestellten Sachverhaltes wurde Folgendes ausgeführt:
"Am 02.12.2015 wurde unter Anwesenheit des steuerlichen Vertreters und Frau Mag. E.S. ein Ortsaugenschein vorgenommen und die Räumlichkeiten abfotografiert. In der Rezeption waren an Mobiliar nur das „Bar-Designmöbel“ aus dem BP-Bericht mit Werbematerial/Prospekten für das „Chez Bf.“, sowie zwei Barhocker vorhanden. Das Mobiliar des Arbeitszimmers erweckte den Eindruck einer Mischung aus Büro und Wohnzimmer.
Es wurde auf Nachfrage bestätigt, dass es sich bei der geringfügig beschäftigten Mitarbeiterin im Zusammenhang mit der Vermietung um Frau Mag. Bf. selbst handelt. Laut Auskunft von Frau Bf. werden vor Ort jeden Monat mit rund 10 Interessenten Gespräche betreffend die Vermietung der zwei Ferienwohnungen geführt.
Bei Besichtigung der Räumlichkeiten war auffallend, dass die Wendeltreppe die Rezeption und die Privatwohnung ohne eine Zwischentür oder sonstige Barrieren verbindet.
Rechtliche Beurteilung:
Einkommensteuer:
In der Eingabe vom 29. Oktober 2015 wurde die Ansicht vertreten, dass es sich bei der
Vermietungstätigkeit in Bezug auf die zwei Ferienwohnungen eben nicht um Einkünfte aus
Vermietung und Verpachtung handelt, sondern um Einkünfte aus Gewerbebetrieb.
Ob es sich bei einer Vermietung um Einkünfte aus Gewerbebetrieb oder reine
Vermögensverwaltung handelt, hängt von den vom Vermieter erbrachten Nebenleistungen ab, sowie davon, ob die zusätzlichen Aufwendungen einen über die bloße Vermögensverwaltung hinausgehenden zusätzlichen Ertrag ermöglichen. In der Beschwerde wird mit der Vermietung mehrerer Schlafstellen und einem großen Verwaltungsaufwand argumentiert, welche laut VwGH Anzeichen einer gewerblichen Tätigkeit sind. Hierbei wird jedoch übersehen, dass aus anderen VwGH-Entscheidungen hervorgeht, dass zusätzlich ein gewisser „Umfang“ für die Vermietungstätigkeit für eine gewerbliche Vermietung erforderlich ist. Bereits im BP-Bericht wurde auf die Entscheidung des VwGH vom 03.05.1982, 82/14/0248 verwiesen‚ aus der hervorgeht, dass das kurzfristige Vermieten von fünf mit Kochgelegenheiten ausgestatteten Appartements im Regelfall noch keine gewerbliche Betätigung darstellt. Darauf wurde im Rahmen der Beschwerde nicht eingegangen.
Abgesehen davon wurde im Prüfungsbericht noch darauf hingewiesen, dass die
Verwaltungspraxis bei der Vermietung von insgesamt weniger als 10 Betten grundsätzlich nicht von gewerblicher Tätigkeit ausgeht. Wenn zwar auf die Anzahl der Betten - mit dem Argument, dass man mit Beistellbetten die in der Verwaltungspraxis übliche Mindestanzahl von 10 Betten erreichen könnte - eingegangen wird, aber nicht auf die Anzahl der Appartements, vergisst man, dass diese Merkmale kumulativ vorliegen sollten. Es ist des Weiteren richtig, dass die Verwaltungspraxis keine gesetzliche Regelung darstellt, sie begründet sich jedoch auf eine Basis aus Gesetzgebung und Judikatur. Die angeführten Zusatzleistungen lassen - auch wenn sie etwas über eine gewöhnliche Wohnungsvermietung hinausgehen - auf keinen Fall einen Vergleich mit einem Hotelbetrieb zu. Auch „Größe und Umfang der Wohnungen“ - 30 und 35m2 - sind nicht außergewöhnlich und deuten eher auf Vermietung und Verpachtung hin.
Dass der Bf eine nahe Angehörige zu den Verwaltungstätigkeiten heranzieht und bezahlt, ist für die Frage der gewerblichen Betätigung nicht wirklich relevant. Allenfalls lässt sich daraus gewinnen, dass die Tätigkeiten offenbar so wenig umfangreich sind, dass sie sogar von einer geringfügig beschäftigten Mitarbeiterin erledigt werden können.
Bereits aus den oben genannten Gründen handelt es sich um Vermietung und Verpachtung, weshalb die Aufwendungen für die Rezeption und das Arbeitszimmer steuerlich nicht zu berücksichtigen sind. Wenn behauptet wird, dass das problemlos und ohne Zwischentür von der Privatwohnung aus betretbare Obergeschoss nicht privat genutzt wird, so ist dies völlig unglaubwürdig.
Nicht glaubwürdig ist überdies die Behauptung, dass für 2 Ferienwohnungen 10 Interessenten pro Monat in der Rezeption vorbeikommen. Bei Ferienwohnungen ist es aufgrund der geringen Verweildauer anders als bei Mietwohnungen nicht üblich, dass eine Besichtigung vor Ort durchgeführt wird.
Umsatzsteuer
Auf die Argumentation zum Vorrang des Gemeinschaftsrechts muss nicht eingegangen werden, da, auch aufgrund des relativ geringen Umfangs der Vermietung und der Tatsache, dass der Umbau vor Erwerb der Mietwohnungen stattfand, eben nicht von einer ausschließlichen oder auch nur überwiegenden Nutzung der „Rezeption“ oder des „Arbeitszimmers“ für Zwecke der Vermietung auszugehen ist. Vielmehr ist davon auszugehen, dass die Bar und das „Büro-Wohnzimmer“ hauptsächlich für private Zwecke verwendet werden.
Aus diesem Grund stellen die Aufwendungen im Zusammenhang mit dem Umbau von Top 17 Aufwendungen der privaten Lebensführung gem. § 20 Abs. 1 Z 1 bzw. Z 2 Iit. a EStG 1988 dar, die weder einkommen - noch umsatzsteuerrechtlich von Belang sind."
Gegen die abweisende Beschwerdevorentscheidung brachte der Bf. den Vorlageantrag mit folgender Begründung ein:
"Ergänzend zu unserem bisherigen Vorbringen in diesem Verfahren möchten wir
wie folgt anmerken bzw auch auf die Ausführungen des Finanzamtes in seiner
Bescheidbegründung vom 15.12.2015 eingehen:
Die Einkunftsart „Vermietung und Verpachtung" umfasst die entgeltliche
Überlassung eines Wirtschaftsgutes zum Gebrauch und/oder Nutzung (EStR Rz
6401).
Die Vermietung und Verpachtung begründet einen Gewerbebetrieb und damit
„Einkünfte aus Gewerbetrieb", wenn die Tätigkeit über die reine Nutzungsüberlassung hinausgeht. Eine gewerbliche Vermietung setzt voraus, dass zu den üblichen gewöhnlichen Leistungen des Vermieters besondere, im Regelfall der Vermietung nicht vorliegende, Leistungen hinzutreten, durch die eine über die bloße Nutzungsüberlassung hinausgehende Tätigkeit erbracht wird.
Gewerbliche Nebenleistungen bei kurzfristiger Vermietung bzw eines Beherbergungsbetriebes sind in Literatur und Judikatur zB die Mitvermietung der Einrichtung und Gerätschaften, die Zurverfügungstellung und Reinigung von Bettwäsche und Handtüchern, polizeiliche An- und Abmeldung, regelmäßige Zimmerreinigung. Maßgebend für das Vorliegen eines Gewerbebetriebes ist der Gesamtumfang der Nebenleistungen für die gesamte Tätigkeit.
Nach der Verwaltungspraxis liegt eine gewerbliche Vermietung vor, wenn eine saisonale Zimmervermietung sich auf mehr als zehn Fremdenbetten erstreckt. Dann liegt eine gewerbliche Tätigkeit vor, weil eine umfangreichere Vermietung von Fremdenzimmern, jene intensive Beteiligung am wirtschaftlichen Verkehr erfordert, die ihr einen betrieblichen Charakter verleiht (EStR Rz 5435). Der Betrieb einer Pension mit 12 Betten begründet eine gewerbliche Tätigkeit.
Fraglich erscheint, warum (willkürlich) gerade bei 10 Betten die Grenze zur Gewerblichkeit sein soll, unabhängig von Art und Umfang der sonstigen Neben- und Zusatzleistungen. Wenn auch im vorliegenden Fall bei „Chez Bf." die Grenze von 10 Betten ohnedies erreicht wird, greift das formale Abstellen auf die Bettenanzahl zu kurz und spiegelt im Einzelfall die Realität nicht wieder - diese Zahl kann daher nur als erste Einordnungshilfe betrachtet werden, stellt aber kein kategorisches Abgrenzungsmerkmal dar. Wie bereits erwähnt gibt es für diese zahlenmäßige Grenze auch keine gesetzliche Grundlage.
Entscheidend muss vielmehr der Gesamtumfang der Nebenleistungen sein.
Werden mehrere Ferienwohnungen kurzfristig (nicht länger als über eine Saison) an Feriengäste vergeben, so kann dies auf eine gewerbliche Vermietung hindeuten. Eine solche kurzfristige Vermietung mehrerer eingerichteter Ferienwohnungen erfordert nämlich in aller Regel eine Verwaltungsarbeit, die das bei "bloßer Vermietung" übliche Ausmaß deutlich übersteigt. Der Vermieter muss sich stets um neue Feriengäste bemühen und hat bei jedem Wechsel der Feriengäste darauf zu achten, dass sich die Wohnungen und ihre Einrichtung in einem gereinigten, neuerlich vermietbaren Zustand befinden, was neben der laufenden Kontrolle und Reinigungsarbeiten beim Mieterwechsel in erhöhtem Maße auch Nachschaffungen und Reparaturen bei der Wohnungseinrichtung bedingen wird (vgl VwGH 30.5.1989, 88/14/0117; VwGH 20.11.1989, 88/14/0230).
Im Ergebnis muss eine wesentliche gewerbliche Nebenleistung zur Appartementvermietung hinzutreten und es darf bei Beurteilung dieser Zusatzleistungen kein relevanter Unterschied mehr zur gewöhnlichen (gewerblichen) Fremdenpension bestehen.
Wie bereits in der gegenständlichen Beschwerde angeführt, liegen im vorliegenden Fall zahlreiche über eine reine Nutzungsüberlassung hinausgehende Zusatzleistungen vor. Über die in der Beschwerde angeführte Aufzählung sind ergänzend noch zu erwähnen:
- Polizeiliche An- und Abmeldung
- Bereitstellung eines Haartrockners
- Fixe Check- Out Zeit: 12:00, aber Möglichkeit der Gepäckaufbewahrung
- Bei Bedarf Putz- und Reinigungsservice auch während des Aufenthaltes
- Buchungen der Räumlichkeiten für Fotoshootings, Filmdrehs
- Werbeprospekte sowie sonstiges Werbematerial (zB Visitenkarten) von
Chez Bf. an der Rezeption erhältlich bzw dort aufliegend.
Der VwGH hat festgehalten, dass die Vermietung von Wohnräumen und Schlafstellen „nach Art eines Beherbergungsbetriebs" gewerbliche Einkünfte darstellen (VwGH 13.10.1982, 82/13/0125; VwGH 01.06.1976, 0363/75; VwGH 14.12.1971, 0144/71). Maßgeblich ist das Gesamtbild der Verhältnisse.
Was heißt das nun für den gegenständlichen Fall bzw sei folgende Frage gestellt:
Die Zimmervermietung bei Chez Bf. erfolgt zusammengefasst unter Erbringung folgender zusammen gefasster Zusatzleistungen (je nach Bedarf). Diese Leistungen sind im Verfahren bisher (insbesondere während der Betriebsprüfung) unstrittig und sind größtenteils der Webseite von Chez Bf. (www) zu entnehmen.
Wenn sich nun also ein Fremder (potentieller Gast) für das kurzfristige Anmieten einer Ferienwohnung bei Chez Bf. interessiert, bekommt er neben der reinen Zimmernutzung zusätzlich:
- Organisation Flughafentransfer
- Begrüßungsdrink an der Rezeption
- Tagesaktuelles über 50 seitiges Booklet über den zweiten Bezirk und die Nachbarschaft mit persönlichen Empfehlungen
- Internetzugang, Radio
- Bettwäsche, Handtücher, Haartrockner, Kosmetikprodukte (Seife, Duschgel)
- Kaffeemaschine, Wasserkocher, (Koch-)Geschirr, (Koch-)Besteck
- Kaffee und Tee, Fruchtsäfte (Frühstückgetränke), Wein, Schnaps sowie Grundnahrungsmittel wie Honig, Olivenöl, Essig, Salz, Pfeffer, Zucker
sowie Süssigkeiten- Präsenten
- Putz- und Reinigungsmittel, Bügeleisen, Waschmaschine und —Trockner sowie Reinigung nach Bedarf
- Fahrräder samt Helmen und Kartenmaterial
- Babybett samt -bettzeug, Babyhochstuhl und Buggy
- Übernahme von Lokal-Reservierungen und Beratung zu Ausflugszielen, Spaziergängen etc
Zudem wird der Gast an einer eigenen Rezeption bedient, dort liegen Prospekte und Werbematerial von Chez Bf. auf. Die Rezeption ist über die Allgemeinflächen des Hauses erreichbar und mit einem eigenen Rezeptionsschild „Chez Bf." gekennzeichnet.
Es gibt (auf der Webseite nachzulesen), check out Zeiten (12:00 Uhr) sowie Gepäckaufbewahrungsmöglichkeiten.
Die Webseite ist überhaupt besonders zu erwähnen. Sie ist nach Art eines echten Gewebebetriebs gestaltet, die regelmäßiger Wartung und Betreuung bedarf, nicht vergleichbar mit einer einfachen Vermietung. Zur Verfügung gestellt wird auch eine OnlineBuchungs- und Bezahlmöglichkeit.
Welcher Vermieter von reinem Wohnraum hat schon eine solch aufwändige Webseite?
Diese Leistungen sind wie erwähnt unstrittig und wurden vom Finanzamt nicht in Zweifel gezogen.
Nun zurück zur oben erwähnten Frage:
Wenn ein Gast diese Beschreibung von Chez Bf. liest denkt er dann an eine reine Wohnraumüberlassung oder denkt er nicht viel eher an eine Wohnmöglichkeit „nach Art eines Beherbergungsbetriebs"? Rezeption, Werbeprospekte, Seife, Duschgel, Handtücher, Haartrockner, Reinigung durch Vermieter, Kaffee, Tee, Säfte vom Vermieter (also Versorgung mit Frühstücksgetränken), Abholservice, Fahrradverleih, Tischreservierungen,
tägliche Infobroschüre über „Was ist heute los?", all dies sind wohl zweifelsfrei Leistungen, die man landläufig nicht mit einer gewöhnlichen Vermietung assoziiert, sondern bei denen man viel mehr an etwas „Hotelartiges" denkt. Gäste von Chez Bf. sind ausschließlich Gäste, die Wien aus touristischen Motiven besuchen, nicht aber Personen, die einen Wohnsitz in den Wohnungen begründen wollen.
Es kann daher kein Zweifel bestehen, dass bei Chez Bf. nach der allgemeinen Lebenserfahrung, nach dem Gesamtbild der Verhältnisse und nach Art und Umfang der Zusatzleistungen von einem Beherbergungsbetrieb auszugehen ist, der das übliche Maß einer gewöhnlichen Vermietung nach Art und Umfang weit überschreitet und einem herkömmlichen Beherbergungsbetrieb mindestens gleichzuhalten ist.
Betreffend den Ansatz des Arbeitszimmers für diesen Gewerbebetrieb verweisen wir auf die Ausführungen in der Beschwerde.
Zur Bescheidbegründung des Finanzamtes vom 15.12.2015 möchten wir wie folgt anmerken:
Seite 1, erster Absatz des „Sachverhalts“: im Jahr 2012 wurden die Ferienwohnräumlichkeiten erworben, im Jahr 2011 mit dem Ausbau der heutigen Rezeption und Arbeitszimmers begonnen. Es ist nicht zu erkennen, welchen Nicht-Zusammenhang das Finanzamt hier konstruiert. Es gibt nachweislich ein E-Mail, das die Ankaufsgespräche für die späteren Ferienwohnungen dokumentiert. Wir haben in der Beschwerde bereits ausgeführt, warum die Verzögerung stattgefunden hat: Die Vermietungsobjekte waren zunächst nicht bestandsfrei bzw haben sich die Ankaufverhandlungen mit dem Vor-Eigentümer hingezogen. Nicht zuletzt fehlte es auch zunächst am nötigen Kapital (auch für die Sanierung der Ferienwohnungen) um gleich alles auf einmal zu erwerben und zu sanieren (Dachgeschoß und Erdgeschoß). Wirtschaftlich war es sinnvoller, zunächst das Dachgeschoß zu erwerben (der Vor-Eigentümer war bezüglich der Ferienwohnungen ohnedies schon im Wort, einen mündlichen Vorvertrag hat es also bereits gegeben), auch weil mit dem Dachbodenausbau eine Gesamtsanierung des Gebäudes verbunden war. Auf die entsprechenden Fremdkapitalaufnahmen sei verwiesen. Es wäre schlichtweg nicht möglich gewesen, alles auf einmal zu erwerben bzw diesen Erwerb zu finanzieren.
Nichtsdestotrotz war die Absicht die Räumlichkeiten zu erwerben und zu vermieten, von Anfang an gegeben.
Seite 2, 1. Absatz: Es handelt sich um eine Theke, die keineswegs ein "Bar-Designmöbel" ist, sondern alt und gebraucht ist. Es gibt in diesem-Raum diese Theke samt 2 Sesseln, eine Garderobe sowie diverse Ablageflächen für Büromaterial- und Bürounterlagen. Weder gibt es dort einen Kühlschrank, eine Musikanlage oder sonstige typische Einrichtungen einer privat genutzten Bar. Eine Theke ist ja wohl für eine Rezeption etwas Unabdingbares. Und eine privat genutzte Bar benötigt wohl etwas mehr als nur eine Theke mit 2 Sesseln, um als solche durch zu gehen. So gibt es zB auch keinen Wasseranschluss in dieser Rezeption, auch eher unüblich für eine Bar, hingegen sehr typisch für eine Rezeption.
Seite 2, 3. Absatz: Eine Wendeltreppe ist wohl eine ziemlich eindeutige Abgrenzung zur Privatwohnung von Dr. Bf., handelt es sich doch um zwei getrennte Stockwerke. Die Rezeption ist jedoch gerade nicht über diese Wendeltreppe, sondern über einen eigenen Zugang über das Stiegenhaus für die Gäste betretbar. Von der Privatwohnung von Dr. Bf. bekommen diese nichts mit. Es handelt sich um einen separaten Eingang für die Rezeption mit eigenem Türschild („Chez Bf.").
Die Wendeltreppe ist die Verbindung dieses Arbeitsraumes zu den Privaträumlichkeiten von Dr. Bf.. Es widerspricht nicht der allgemeinen Lebenserfahrung, dass es zwischen Büroräumlichkeiten und Privaträumlichkeiten eine Verbindung gibt.
Seite 2, 5. Absatz: Zum einen ist das zitierte VwGH Erkenntnis über 30 Jahre alt, und die Lebensrealitäten haben sich maßgeblich geändert, andererseits kommt es wie mehrfach erwähnt auf das Gesamtbild der Verhältnisse an, es geht nicht nur einfach um eine Zahl an Betten oder Räumen (wobei bei Chez Bf. ja die 10 Betten sogar erreicht würden).
Seite 2, 6. Absatz: Das Finanzamt selbst räumt ein, dass die gegenständliche Vermietung „über eine gewöhnliche Wohnungsvemietung" hinaus geht. Genau um dieses „über die gewöhnliche Vermietung hinaus gehende" Maß geht es. Wir haben nie behauptet, Chez Bf. wäre ein Hotelbetrieb, aber zwischen „Hotel“ und „einfacher Nutzungsüberlassung" gibt es einen weiten Bereich unterschiedlicher Arten von Beherbergungen. Und die vorliegende Form überschreitet eben nach Art und Umfang deutlich die einfache und gewöhnliche Nutzungsüberlassung, wie es auch das Finanzamt anerkennt.
Seite 2, 7. Absatz: Es ist unstrittig, dass Frau Bf. die Verwaltung der Ferienwohnungen durchführt. Auch wenn der Aufwand "geringfügig" ist (8-10 Stunden pro Woche), ist nach der allgemeinen Lebenserfahrung bei einer reinen Vermietung wohl nicht ein solcher Arbeitsaufwand pro Woche denkbar. Uns ist keine Vermietungstätigkeit bekannt, die eine eigene Mitarbeiterin dafür benötigen würde. Von reiner Vermögensverwaltung kann nicht mehr die Rede sein.
Bei den 8-10 Stunden geht es nicht nur um die Anwesenheit bei check in und check out, sondern allgemein um die Verwaltung und Organisation von Chez Bf., so zB auch um die regelmäßige Wartung der Webseite, der Annoncen in Buchungsportalen, der Prospekte oder des tagesaktuellen Booklets, aber auch um Reinigung, Waschen und lnstandhaltungen der Wohnungen. Weiters sind vielfältige Meldungen zu erstatten (zB Nächtigungsstatistik der Gemeinde Wien, Ortstaxen-Anmeldung etc).
Seite 3, 1. Absatz: Warum ist dies unglaubwürdig? Es wurden ohnedies nur 50% der Gesamtfläche des Obergeschosses angesetzt, um einen möglichen Privatnutzungsanteil auszuscheiden bzw eine Diskussion darüber zu vermeiden.
Tatsächlich deutet im gesamten Obergeschoß außer vielleicht einem Fernseher rein gar nichts auf eine Privatnutzung hin. Und selbst ein Fernseher ist in einer (Hotel-)Rezeption wahrlich nichts Ungewöhnliches, im Gegenteil (außerdem gibt es in der Privatwohnung unterhalb einen Fernseher, wozu also oben einen privaten Fernseher?). Streng genommen hätten wohl auch 100% des Obergeschosses angesetzt werden können. Unsere Absicht war jedoch, hier nicht übermäßig die Möglichkeiten auszureizen, sondern lieber auf Nummer sicher zu gehen und so wurden eben nur 50% angesetzt.
Seite 3, 3. Absatz: Es gibt überhaupt keinen Hinweis auf eine überwiegende private Nutzung, siehe oben. Die beiden Räume im Obergeschoss stellen reine Arbeitsräume dar, einzig der Fernseher könnte fraglich sein, aber siehe oben. Die Terrasse wurde nie steuerlich abgesetzt. Auch das Vorhandensein einer Toilette ist bei einer Rezeption wahrlich nichts Ungewöhnliches und nach einer uU langen Anreise sehr willkommen für die Gäste."
In der am 9. Mai 2017 stattgefundenen mündlichen Verhandlung legte der Bf. dem Senat das tagesaktuelle Booklet, Handtücher mit der Aufschrift "Chez Bf." und Ausdrucke der Homepage, Visitkarten und gekauften Kaffee mit Logo "Chez Bf." vor.
Der steuerliche Vertreter Dr. Fussenegger sieht auf Grund der zusätzlichen Serviceleistungen hinsichtlich der Vermietungstätigkeit der beiden Appartements mehr als eine Tätigkeit "Vermietung und Verpachtung". Mittels der angeführten Zusatzleistungen werde deutlich, dass das übliche Ausmaß an Leistungen eine reine Vermietungstätigkeit übersteige und daher keine Vermögensverwaltung sein könne.
Der Bf. führte aus, dass das Anbieten von Wohnungen über die Plattform AirBnB allein noch nicht darauf schließen lasse, dass es sich bei der Vermietung von Appartements nicht um einen Gewerbebetrieb, sondern nur um eine Vermögensverwaltung handle. Es sei vielmehr der Einzelfall zu beurteilen.
Auch die Vermietung über Plattformen führe zu einer Ortstaxe.
Auf Frage von Frau Mag. Melchert-Strohmaier führte der Bf. aus, dass er die gegenständliche Vermietung aus gewerberechtlichen Gründen als Privatzimmervermietung sehe, obwohl die Tätigkeit eine gewerbliche sei.
Der Finanzamtsvertreter Mag. Joham führte zu den vom Bf. angeführten Zusatzleistungen aus, dass diese nicht das Ausmaß überschreiten würden, das die Vermietung der beiden Appartements zu einer gewerblichen Tätigkeit mache.
Auch sehe er anhand der Wendeltreppe keine deutliche Abgrenzung der Privatwohnung zu der DG-Wohnung, in der sich das "Arbeitszimmer" befinde.
Dem entgegnete Dr. Fussenegger, dass die Wendeltreppe sehr schmal sei und seiner Meinung nach die Privatwohnung von der darüber liegenden Wohnung, in der sich das Arbeitszimmer befinde, sehr wohl getrennt sei.
Der Bf. führte zur angesprochenen Terrasse aus, dass die Terrasse in dieser Größe aufgrund der Bauordnung von Wien errichtet habe werden müssen.
Die Anstellung der Gattin als eigene Mitarbeiterin spreche für die betrieblichen Einkünfte. Die Fremdüblichkeit der Anstellung wurde nicht in Frage gestellt.
Die Frage von Frau Mag. Melchert-Strohmaier, ob es von Beginn an betreffend die Vermietung der Appartements eine schriftliche Strategie gegeben habe, verneinte Dr. Bf.. Es habe sich entwickelt. Im Jahr 2012 bzw. 2013 hätten sich er und die Gattin mit einer Unternehmensberaterin zusammengesetzt und ein Konzept betreffend die Vermietung der Appartements (die Ausstattung und die Ausgestaltung) ausgearbeitet.
Zur Größe des Arbeitszimmers führte der steuerliche Vertreter aus, dass auch die Aufwendungen für die gesamte Wohnung Top 17 betrieblich geltend gemacht hätten werden können.
Dazu ergänzte der Bf., dass die Wohnung nicht privat genutzt werde, sondern nur als Arbeitszimmer. Es sei absolut erforderlich, dass diese Wohnung als Arbeitszimmer bestehe. In seiner privaten Wohnung wäre es nicht möglich den hohen Verwaltungsaufwand, welcher durch die Vermietung der beiden Appartements hervorgerufen werde, abzuwickeln.
Auch finde der Empfang der Gäste in der Rezeption statt.
Dem hielt Mag. Joham entgegen, dass seiner Meinung nach die Vermietung von zwei Appartements nicht zu einem so hohen Verwaltungsaufwand führe, dass 70m2 (Top 17) bzw davon 50%, (35m2), nötig seien.
Dr. Bf. führte dazu aus, dass der Aufwand betreffend die gegenständliche Vermietung sehr hoch sei, auch wenn er über Plattformen abgewickelt werde. Fünf bis zehn Buchungsanfragen führten nur zu einer Buchung.
Der steuerliche Vertreter führte zum "Vorsteuerabzug" weiters aus, dass § 12 Abs. 2 Z 2a UStG 1994 zu hinterfragen wäre, ob man aufgrund des in der Beschwerde erwähnten EuGH-Urteils C-25/03 ein Vorabentscheidungsurteil anregen sollte, ob nämlich diese Regelung, die sich an die betrieblichen und beruflichen Tätigkeiten anhänge, dem EU-Recht widerspreche.
Nach Ansicht des Finanzamtsvertreters verstoße die gegenständliche Regelung nicht gegen EU-Recht.
Dem hielt Dr. Fussenegger entgegen, dass Aufwendungen, die mit einer wirtschaftlichen Tätigkeit im Zusammenhang stünden, nach diesem Erkenntnis zum Vorsteuerabzug berechtigen würden und damit nicht nur auf das betriebliche oder berufliche abgestellt werden müsse.
Über die Beschwerde wurde erwogen:
Ausgehend vom Inhalt der Verwaltungsakten, den Ergänzungsvorhalten, den Erhebungen der Betriebsprüfung und den Vorbringen in der mündlichen Verhandlung wird der Entscheidung folgender Sachverhalt zu Grunde gelegt:
Im Juni 2010 erwarben der Beschwerdeführer Dr. Claus Bf. und sein Bruder gemeinsam den Rohdachboden der Liegenschaft LG 9.
Der Bf. baute im Jahr 2011 die Dachgeschoßwohnung Top 17 aus.
Die DG-Wohnung Top 17 mit einer Fläche von 70m2, hat 2 Zimmer: Einen als "Rezeption" bezeichneten Raum, ein "Arbeitszimmer" und eine Toilette. Weiters ist noch eine Terrasse vorhanden.
Eine Abgrenzung eines Raumes als ausschließlich genutztes "Arbeitszimmer" ist nicht gegeben.
Das Top 17 wird mit einer Wendeltreppe, die im Zuge des Dachbodenausbaus im Jahr 2011 gebaut wurde, mit der darunter liegenden Wohnung des Bf. verbunden.
Im Zusammenhang mit dem Ausbau dieser Dachgeschoßwohnung im Jahr 2011 machte der Bf. für den vorderen, etwa 50% der Gesamtfläche der Wohnung umfassenden Teil, Werbungskosten in Höhe von € 6.606,92 für Absetzung für Abnutzung, Fremdfinanzierung und übrige Werbungskosten geltend und erklärte für das Jahr 2011 einen Verlust aus Vermietung in Höhe von Euro 6.606.92.
Weiters machte der Bf. Vorsteuern in Höhe von € 8.121,45 Höhe geltend.
Der Bf. legte betreffend den erklärten Verlustes den Kaufvertrag des gesamten Rohdachbodens der Liegenschaft LG 9, das Anlageverzeichnis samt Beiblatt, die Prognoserechnung und den Kreditvertrag vor.
Im Anlageverzeichnis 2010 und 2011 wurden die Kosten DG angeführt.
In der vorgelegten Prognoserechnung für die Jahre 2011- 2030 wurden für 2011 und die Folgejahre nur die Aufwendungen betreffend Top 17 angeführt.
Der erklärte Verlust aus Vermietung und Verpachtung und die Vorsteuern wurden erklärungsgemäß veranlagt.
Im Jahr 2012 erfolgte der Kauf von zwei Appartements im Erdgeschoß (LG 9) mit einer Fläche von 30 m² und 35 m² zum Zweck der Vermietung.
Der Bf. erklärte für die Jahre 2012 und 2013 folgende Verluste aus Vermietung und Verpachtung:
| 2012 | 2013 |
Top 17 | -8.738,58 | -10.184,34 |
Erdgeschoßappartements | - 978,94 | -19.699,30 |
neg. Einkünfte aus Vermietung und Verpachtung | -9.717,52 | -29.883,64 |
Die Umsatz- und Einkommensteuerbescheide für die Jahre 2012 und 2013 ergingen erklärungsgemäß.
Im Jahr 2015 erfolgte für die Jahre 2011 bis 2013 eine Außenprüfung.
Gegenstand der Prüfung waren die Umsatz- und Einkommensteuer für die Jahre 2011 bis 2013 betreffend die Vermietung der Appartements Gasse.
Im Zuge der Bp wurden die zu 50% für ein Arbeitszimmer erklärten Aufwendungen für die ausgebaute Dachgeschoßwohnung Top 17, nicht als Werbungskosten anerkannt; ebenfalls nicht anerkannt wurden, die damit im Zusammenhang stehenden Vorsteuern.
Laut Plan von Top 17, mit einer Fläche von 70m2, wird der hintere Teil als "Rezeption", der straßenseitige Bereich als "Arbeitszimmer" bezeichnet.
Laut Angaben des Bf. bezog Frau Mag. E.S. aus ihrer Teilbeschäftigung (als geringfügig Beschäftigte mit 8-10 Stunden/pro Woche) im Jahr 2014 Euro 5.320,-. Davon entfielen 50% auf die Tätigkeit im Zusammenhang mit der Vermietung der Appartements, und 50% als Unterstützung der Tätigkeit des Bf. als Rechtsanwalt.
Die Ehegattin kümmerte sich im Jahr 2014 vor Ort um die gesamte Abwicklung der Renovierung der Erdgeschoß-Wohnung (Bauaufsicht) sowie um die Vermietung und damit verbundene Aufgaben wie zB Organisation, Homepage-Erstellung, Kontakte zu Vermietungsagenturen, Marketingaktivitäten und die Korrespondenz.
Der Bf. ist Rechtsanwalt in einer großen internationale Anwaltskanzlei und verfüge über keine Zeit und Möglichkeit die Vermietungstätigkeit laufend auszuüben.
Bis zum 2014 wurden seitens des Bf. keine Einnahmen aus der Vermietungstätigkeit erklärt. Der Bf. erzielte erst ab 4/2015 entsprechende Einnahmen.
Im Jahr 2016 wurden die Appartements aus in der privaten Sphäre des Bf. gelegenen Gründen nicht vermietet. Eine Vermietung erfolgte erst wieder im Jahr 2017.
Laut Beschreibung auf der Homepage befinden sich in den beiden Appartements 4 Betten und 3 Einzelbetten auf einer Sofalandschaft. (Belegung 1-7 und ein Kinderbett), 2 volleingerichtete Küchenzeilen, 2 Badezimmer mit Toilette, Waschmaschine, Trockner, Bettwäsche, Handtücher.
Zudem werden angeboten:
zwei kostenlose Fahrräder mit Wien-Radkarte, Buggy, Babybett und Hochstuhl ohne Mehrkosten, flexibler, unkomplizierter Check-In und Check-Out, kostenloses Wi-Fi,
nach Absprache, bei längerer Belegung: Putz und Reinigungsservice auf Wunsch.
Zum Kauf werden angeboten: Weine, Säfte, Kaffee, Spirituosen aus eigener Produktion, Natur- Kosmetikprodukte.
In der Beschwerde werden weiters der Empfang der Gäste, Organisation Flughafentransfer, tagesaktuelle Booklets über zweiten Bezirk, regelmäßige Webseiten -Wartung, Übernahme von Lokalreservierungen und Beratung von Ausflugszielen,... angeführt.
Strittig ist im vorliegenden Fall
- ob im gegenständlichen Verfahren betreffend die Jahre 2011 bis 2013 auf Grund der Vermietung der beiden Appartements Einkünfte aus Gewerbebetrieb oder Einkünfte aus Vermietung und Verpachtung vorliegen;
- ob die geltend gemachten Aufwendungen für ein "häusliches Arbeitszimmer" (50% der DG-Wohnung Top 17) als Betriebsausgaben bzw. Werbungskosten abzugsfähig sind und
- ob die Vorsteuern für das "Arbeitszimmer" anzuerkennen sind. (§ 12 Abs. 2 Z 2a UStG 1994).
Einkommensteuer:
Einkünfte aus Gewerbebetrieb oder Vermietung und Verpachtung (Vermögensverwaltung):
Gemäß § 23 Z 1 EStG 1988 sind Einkünfte aus Gewerbebetrieb Einkünfte aus einer selbständigen, nachhaltigen Betätigung, die mit Gewinnabsicht unternommen wird und sich als Beteiligung am allgemeinen wirtschaftlichen Verkehr darstellt, wenn die Betätigung weder als Ausübung der Land- und Forstwirtschaft noch als selbständige Arbeit anzusehen ist.
Der Umfang der Betätigung muss zudem den Rahmen der Vermögensverwaltung überschreiten (VwGH 17.12.98, 97/15/0060).
Gemäß § 28 Abs. 1 Z 1 EStG 1988 sind Einkünfte aus Vermietung und Verpachtung soweit sie nicht zu den Einkünften im Sinne des § 2 Abs. 3 Z 1 bis 5 gehören, Einkünfte aus Vermietung und Verpachtung von unbeweglichen Vermögen und von Rechten, die den Vorschriften des bürgerlichen Rechts über Grundstücke unterliegen.
Zu der Frage, ob die Vermietung von Appartements oder Fremdenzimmer zu Einkünfte aus Vermietung und Verpachtung oder Einkünfte aus Gewerbebetrieb führt, sind zahlreiche Entscheidung ergangen, wobei jeweils fallbezogen stets auf das Gesamtbild der Verhältnisse abzustellen ist.
In dem vorstehend angeführten Erkenntnis vom 17.12.1998 führt der VwGH aus, dass nach ständiger Rechtsprechung Gebäudevermietung grundsätzlich Vermögensverwaltung ist. Als maßgebliches Unterscheidungskriterium zwischen Vermögensverwaltung und gewerblicher Tätigkeit hat der Verwaltungsgerichtshof in seiner Rechtsprechung stets die Frage angesehen, ob und in welcher Richtung sowie in welchem Ausmaß die Tätigkeit des Vermieters über die bloße Überlassung des Bestandgegenstandes hinausgeht. Gleichzeitig hat der VwGH dabei aber daran festgehalten, dass allein die durch jede Art von Vermietung bedingte laufende Verwaltungsarbeit und die durch sie gleichfalls oft erforderliche Werbetätigkeit die Betätigung noch nicht zu einer gewerblichen macht, solange zur bloßen Vermietung nicht besondere, mit der Vermietung nicht im Regelfall oder stets verbundene Umstände hinzutreten, durch die eine weitere Tätigkeit des Vermieters, die über die bloße Nutzungsüberlassung hinausgeht, bedingt wird.
Die über die bloße Nutzungsüberlassung hinausgehende Tätigkeit des Vermieters besteht insbesondere in der angebotenen Verpflegung der Gäste und sei es auch nur in der Form eines Frühstücks und der täglichen Wartung der Zimmer. Wenn solche zusätzliche Tätigkeiten allerdings wegen der geringen Zahl der Fremdenzimmer nur im bescheidenen Ausmaß anfallen, begründen auch sie keinen Gewerbebetrieb.
Auch Vock führt im Jakom 2016 dazu aus, dass das maßgebliche Unterscheidungsmerkmal zwischen Einkünften aus Vermietung und Verpachtung und Gewerbebetrieb ist, ob und in welcher Richtung sowie in welchem Ausmaß die Tätigkeit des Vermieters über die bloße Überlassung des Bestandgegenstands hinausgeht, und somit der "gewerbl Unternehmenscharakter in den Vordergrund tritt" (VwGH 29.2.12, 2008/13/0029).
Zur gewerblichen Tätigkeit wird eine Vermögensverwaltung zB erst, wenn die laufende Verwaltungsarbeit ein solches Ausmaß erreicht, dass sie nach außen als gewerbliche Tätigkeit erscheint. (Jakom/Vock, EStG 2016, § 23 Tz 61)
Den Ausführungen des Bf., dass laut VwGH (VwGH 13.10.1982, 82/13/0125) die ständige Vermietung mehrerer Schlafstellen an eine Vielzahl von oft wechselnden Personen nach Art eines Beherbergungsbetriebes als gewerbliche Tätigkeit anzusehen sei und weiters eine kurzfristige Vermietung mehrerer eingerichteter Ferienwohnungen in aller Regel eine Verwaltungsarbeit erfordere, die das bei „bloßer Vermietung" übliche Ausmaß deutlich übersteige (VwGH 20.11.1989, 88/14/0230), wird entgegengehalten, dass dem oa. VwGH Erkenntnis vom 13.10.1982 die ständige Vermietung von mehreren Schlafplätzen an eine Vielzahl von oft wechselnder Personen, nämlich Einrichtung von Schlafplätzen für Gastarbeiter in einigen Räumen eines Hauses, zu Grunde liegt.
Im gegenständlichen Fall erfolgt jedoch lediglich die Vermietung von 2 Appartements mit insgesamt 7 Betten (+1/2).
Laut den Ausführungen im Internet, bei AirBnB oder auf der Homepage "Chez Bf." kostet eine Nacht in einem Appartement Euro 120,-.
Auf Grund der prognostizierten Einnahmen wurde vom Bf. selbst eine Auslastung von nur ca 2-3 Monate im Jahr angenommen.
Von ständiger Vermietung von mehreren Schlafplätzen an eine Vielzahl von oft wechselnder Personen kann daher nicht die Rede sein.
Auch der Sachverhalt, der dem Erkenntnis vom 20.11.1989, 88/14/0230, zugrunde liegt, ist nicht vergleichbar mit dem des gegenständlichen Verfahrens. In dem diesen Erkenntnis zugrunde liegenden Sachverhalt wurde zusätzlich zur Zimmervermietung ein Frühstück und die tägliche Wartung der Zimmer (Reinigung, Bettenmachen) zu der Zimmervermietung angeboten.
Nach den Ausführungen des Bf. werden zwar Kaffee und Tee, Fruchtsäfte (Frühstückgetränke), Wein, Schnaps sowie Grundnahrungsmittel wie Honig, Olivenöl, Essig, Salz, Pfeffer, Zucker sowie Süßigkeiten- Präsenten zum Kauf angeboten, nicht jedoch ein Frühstück oder sonstige Mahlzeiten, noch wird eine tägliche Zimmerreinigung zusätzlich angeboten. Eine Zimmerreinigung könne nur bei längerem Aufenthalt angefordert werden.
Auch in dem Erkenntnis vom 07.10.03, 2000/15/0024 hält der VwGH fest, dass erst dann Einkünfte aus Gewerbebetrieb vorliegen, wenn zusätzliche gewerbliche Nebenleistungen erbracht werden ua. Frühstückszubereitung, tägliche Reinigung der Zimmer, Verwaltung der Schlüssel der Feriengäste, polizeilichen An- und Abmeldung der Gäste, Übernahme und Verteilung der Post etc.
Der VwGH sieht als ganz wesentlich für Vorliegen einer gewerblichen Tätigkeit die Zusatzleistungen der Frühstückszubereitung und täglichen Wartung der vermieteten Zimmer.
Weitere zusätzliche Leistungen können dann zu einer über die bloße Nutzungsüberlassung hinausgehenden gewerblichen Tätigkeit führen.
Laut weiterer Rechtsprechung des Verwaltungsgerichtshofes führt eine Vermietung von Fremdenzimmern (Ferienwohnungen), bei der keinerlei Verpflegung der Gäste und keine täglichen Wartung der Zimmer stattfindet, erst dann zu Einkünften aus Gewerbebetrieb, wenn eine verhältnismäßig große Zahl von Zimmern (Wohnungen) eine Tätigkeit bedingt, die über jene, wie sie mit der bloßen Nutzungsüberlassung von Räumen üblicherweise verbunden ist, deutlich hinausgeht (VwGH 20.5.10, 2007/15/0098; 26.6.02, 2000/13/0202).
Auch in dem Erkenntnis vom 14.1.86, 85/14/0092 führt der Verwaltungsgerichtshof aus, dass erst eine unverhältnismäßig größere Zahl von Zimmern dann zu gewerblichen Einkünften führt, wenn die Tätigkeit über eine bloße Nutzungsüberlassung von Räumen hinausgeht (VwGH zur VuV bei vier Ferienwohnungen mit 18 Betten).
Im gegenständlichen Fall umfasst die Vermietung der zwei Appartements - wie bereits vorstehend ausgeführt - weder die Verpflegung der Gäste mit einem Frühstück oder sonstigen Mahlzeit, noch erfolgt eine tägliche Wartung der Appartements.
Das Bundesfinanzgericht erkennt daher nicht, dass die Verwaltungsarbeit des Bf. ein solches Ausmaß erreicht, dass sie nach außen als gewerbliche Tätigkeit erscheint.
Angeboten werden weiters zwar zahlreiche Leistungen neben der reinen Zimmervermietung wie
- Organisation Flughafentransfer
- Begrüßungsdrink an der Rezeption
- tagesaktuelles über 50 seitiges Booklet über den zweiten Bezirk und die Nachbarschaft mit persönlichen Empfehlungen
- Internetzugang, Radio
- Bettwäsche, Handtücher, Haartrockner, Kosmetikprodukte (Seife, Duschgel)
- Kaffeemaschine, Wasserkocher, (Koch-)Geschirr, (Koch-)Besteck
- Kaffee und Tee, Fruchtsäfte (Frühstückgetränke), Wein, Schnaps sowie Grundnahrungsmittel wie Honig, Olivenöl, Essig, Salz, Pfeffer, Zucker
sowie Süßigkeiten- Präsenten
- Putz- und Reinigungsmittel, Bügeleisen, Waschmaschine und - Trockner sowie Reinigung nach Bedarf
- Fahrräder samt Helme und Kartenmaterial
- Babybett samt -bettzeug, Babyhochstuhl und Buggy
- Übernahme von Lokal-Reservierungen und Beratung zu Ausflugszielen, Spaziergängen etc
Die Versorgung der Gäste mit diesen angebotenen Leistungen bedarf jedoch keines dauernden (großen) Verwaltungsaufwandes, da regelmäßig nur nach Ende der Vermietung überprüft werden muss, ob die entsprechenden Güter noch vorhanden bzw. funktionstüchtig sind.
Eine Flughafentransfer wird im Internet nicht angeboten und wird daher - wenn überhaupt - nur in Ausnahmefällen erfolgen.
Der angebotene Internetzugang ist möglich, da vorhanden, es bedarf dazu nur eines Passwortes, jedoch keines großen Verwaltungsaufwandes.
Viele der weitere angebotenen Leistungen bedürfen einer Nachfrage, die jedoch bei der geringen Auslastung - laut Angaben des Bf. sind die Appartements nur 2 Monate (laut ersten Prognoserechnung) und ca. 3 Monate (laut zweite Prognoserechnung) im Jahr ausgelastet - nicht der groß ist.
In diesem Zusammenhang decken sich gegenständliche Ausführungen mit dem Internetauftritt, wonach die beiden Appartements um € 120,00 täglich zu mieten sind.
Im Jahr 2016 erfolgte keine Vermietung der Appartements.
Somit vermag auch ein täglich auf den neuesten Stand gebrachtes "Booklet" nicht einen Gewerbebetrieb zu begründen, da es bei einer Auslastung von bis zu 3 Monaten im Jahr wenig gefragt ist.
Auch die geringfügige Beschäftigung von der Frau Bf. im angeführten Ausmaß von 8-10 Stunden wöchentlich und der im Jahr 2014 bezahlte Lohn von € 2.660,- lassen keinen hohen Verwaltungsaufwand vermuten.
Die vom Bf. vertretene Ansicht, wonach gehobener Standard der Einrichtung und Ausstattung sowie die Lage im 2. Bezirk zu einer gewerblichen Vermietung führen, vermag das BFG nicht zu teilen. Mit einer gehobenen Ausstattung reagiert der Bf. lediglich auf den in Großstädten hart umkämpften Ferienwohnungsmarkt wodurch sich auch höhere Erlöse lukrieren lassen (vgl. UFS vom 24.04.2008, RV/0591-I/06).
Sprechen einzelne Sachverhaltsmerkmale für eine gewerbliche Tätigkeit, andere für eine bloße Vermietungstätigkeit (iSv Einkünften aus VuV), sind die Merkmale gegeneinander abzuwägen (VwGH 14.1.86, 85/14/0092).
Auf Grund der folgenden Feststellungen
- der Vermietung von nur zwei Appartements mit sieben Betten und einem Kinderbett,
- keine Verabreichung von Frühstück oder sonstigen Mahlzeiten,
- keine tägliche Reinigung und
- kein großer Verwaltungsaufwand für die angeführten zusätzlichen Leistungen,
sieht das Bundesfinanzgericht keine über eine bloße Vermögensverwaltung hinausgehende Tätigkeit.
Nach dem Gesamtbild der Verhältnisse geht das Bundesfinanzgericht daher im gegenständlichen Fall von Einkünften aus Vermietung und Verpachtung aus.
häusliches Arbeitszimmer
Gemäß § 20 Abs. 1 Zif 2 lit. d EStG 1988 dürfen bei den einzelnen Einkünften nicht abgezogen werden:
Aufwendungen oder Ausgaben für ein im Wohnungsverband gelegenes Arbeitszimmer und dessen Einrichtung sowie für Einrichtungsgegenstände der Wohnung.
Bildet ein im Wohnungsverband gelegenes Arbeitszimmer den Mittelpunkt der gesamten betrieblichen und beruflichen Tätigkeit des Steuerpflichtigen, sind die darauf entfallenden Aufwendungen und Ausgaben einschließlich der Kosten seiner Einrichtung abzugsfähig.
(BGBl 1996/201 ab 1996)
§ 20 Abs. 1 Z 2 lit. d EStG 1988 (ergänzt durch das StktAnpG 1996) erfordert eine mehrstufige Prüfung unter Beachtung der einzelnen vom Gesetz vorgegebenen und durch Judikatur geschaffenen Tatbestandsmerkmale: Bildet ein "Arbeitszimmer", das "im Wohnungsverband" gelegen ist, den "Mittelpunkt der gesamten betrieblichen und beruflichen Tätigkeit" des Stpfl, sind die darauf entfallenden Aufwendungen und Ausgaben einschließlich der Kosten seiner Einrichtung - entsprechend den von der Judikatur aufgestellten Kriterien - auch nur dann abzugsfähig, wenn ein beruflich verwendetes Arbeitszimmer nach der Art der Tätigkeit des Stpfl. unbedingt notwendig ist und der zum Arbeitszimmer bestimmte Raum tatsächlich ausschließlich oder nahezu ausschließlich beruflich genutzt wird. Liegen diese Voraussetzungen nicht vor, so sind die Aufwendungen für im Wohnungsverband gelegene Arbeitsräume - einschließlich der Einrichtungsgegenstände - nicht abzugsfähig, selbst wenn im Wohnungsverband umfangreiche berufliche Tätigkeiten durchgeführt werden ( E 25.9.2002/97/13/0098)(Doralt EStG15, § 20 Tz 104/1 ff)
Im gegenständlichen Fall kann seitens des Bundesfinanzgericht die Nutzungsnotwendigkeit - Nutzung von 50% einer 70 m2 großen DG-Wohnung für den Empfang / Begrüßung / Betreuung der Gäste bei der Auslastung der Appartements von 2-3 Monaten - nicht gesehen werden.
Die vom Bf. angeführten zusätzlichen Serviceleistungen betreffend die Vermietung der Appartements, können zum größten Teil von einem Computer aus, via Internet, erledigt werden.
Der Bf. führt weiters aus, dass er bzw. seine Gattin sich bei den Buchungsanfragen der eigenen Homepage und auch anderer Buchungsplattformen bedienen, weshalb die Präsenz auf den Buchungsplattformen laufend zu warten sei.
Es widerspricht jedoch der allgemeinen Lebenserfahrung, dass dafür ein eigens dafür eingerichtetes Arbeitszimmer notwendig sein soll.
Auch den Ausführungen des Bf, dass die Webseite und die angebotenen Online- Buchungs- und Bezahlungsmöglichkeiten besonders zu erwähnen seien, ist entgegenzuhalten, dass es sich auch hiebei nicht um zusätzlichen Serviceleistungen handelt, die ein Arbeitszimmer notwendig erscheinen lassen.
Den Ausführungen des Bf., es bedürfe eigens einer Mitarbeiterin, die die laufende Serviceleistungen mache, wird entgegengehalten, dass diese von Frau Mag. Bf. mittels Teilzeitbeschäftigung im Jahr 2014 erledigt wurden, wofür sie ca. 2.560,- Euro bezog. Frau Mag. Bf. kümmerte sich 8-10 Stunden wöchentlich Vorort um die gesamte Abwicklung der Renovierung der Erdgeschosswohnungen (Bauaufsicht) sowie um die Vorbereitungen für die Vermietung wie zB. Organisation, Homepage-Erstellung, Kontakte zu Vermietungsagenturen, Marketingaktivitäten, Korrespondenz, wobei es sich auch hierbei bei Großteil der angeführten Tätigkeiten mittels Computer (Internet) handelt.
Das Bundesfinanzgericht sieht daher die Nutzungsnotwendigkeit für Büroräumlichkeiten in der DG Wohnung Top 17, bei der Vermietungstätigkeit im streitgegenständlichen Ausmaß - Betreuung von zwei Appartements, mit einer vom Bf. angeführten jährlichen Auslastung von bis zu 3 Monaten - als nicht gegeben.
Weiters wird vom VwGH in zahlreichen entsprechenden Erkenntnissen ausgeführt (VwGH 25.10.06, 2004/15/0148; Aufteilungsverbot), dass der Arbeitsraum zumindest nahezu ausschließlich betrieblich/beruflich genutzt werden muss. Eine allfällige private Nutzung des Raums darf nur von untergeordneter Bedeutung sein (VwGH 28.11.01, 2000/13/0145)
Im gegenständlichen Fall kann jedoch den Ausführungen des Bf., dass das Top 17 zu 50% ausschließlich oder fast ausschließlich als Arbeitszimmer verwendet worden sei, nicht gefolgt werden.
Der vom Bf. angeführten ausschließlichen oder fast ausschließlichen betrieblichen/beruflichen Nutzung wird entgegengehalten, dass
- die DG-Wohnung Top 17 mit einer Terrasse bereits im Jahr 2011 ausgebaut wurde,
- bereits im Zuge des Ausbaus der Dachgeschoßwohnung diese mit der darunter liegenden 180m2 großen Privatwohnung des Bf. mit einer Wendeltreppe verbunden wurde, somit die Terrasse nur über Top 17 zu erreichen ist,
- es nicht glaubwürdig erscheint, dass die DG-Wohnung Top 17 drei Jahre nicht benutzt wurde, da die zwei zu vermietenden Wohnungen erst im Jahr 2012 gekauft, in den Folgejahren saniert und erst ab 2015 vermietet wurden,
- im Jahr 2016 aus privaten Gründen wieder keine Vermietung der Appartements erfolgte und daher abermals die DG-Wohnung ein Jahr nicht benutzt wurde,
- die Fotos, die von der Wohnung Top 17 im Akt aufliegen, keine (nahezu) ausschließliche Nutzung als Arbeitsraum erkennen lassen.
Der Bf. führt weiters im Vorlageantrag aus, dass ohnedies nur 50% der Gesamtfläche des Obergeschoß angesetzt worden seien, um einen Privatnutzungsanteil auszuscheiden. Welche Nutzung den restlichen 50% zukommen, wird vom Bf. jedoch nicht dargelegt.
Die 50%-ige Nutzung der DG-Wohnung als "Arbeitszimmer" bedingt allerdings eine weitere 50% private (andere) Nutzung:
Dazu wird im Jakom ausgeführt, dass bei Räumen des häuslichen Wohnungsverbands eine zuverlässige Abgrenzung zwischen privater und betrieblicher/beruflicher Veranlassung nur einheitlich für jeden Raum getroffen werden kann (VwGH 25.2.04, 2003/13/0124; 24.2.00, 96/15/0071 zu einem zT abgesenkten Raum). Die Teilung eines – in seiner Gesamtheit gesehen – gemischt genutzten Raums durch eine bloße Regal- bzw Zwischenwand bewirkt noch keine Beseitigung der gemischten Nutzung (VwGH 25.2.04, 2003/13/0124; UFS 27.9.12, RV/0299-L/10). Zu mehreren Räumen s Farmer/ Mayr SWK 03, S 77. Liegt eine private Nutzung vor, handelt es sich um einen gemischt genutzten Raum, der schon unter das Abzugsverbot des Abs 1 Z 1 und Z 2 lit a EStG 1988 fällt (VwGH 2.6.04, 2003/13/0166; ...
(Jakom//Vock, EStg 2016,§ 20 Rz 45)
Es ist weder anhand der Fotos noch auf Grund der Ausführungen des Bf. für das Bundesfinanzgericht eine Abgrenzung der privaten Nutzung und beruflicher Nutzung der Räume erkennbar.
Der Verwaltungsgerichtshof führt zu § 20 EStG in dem Erkenntnis vom 26. April 2012, 2009/15/0088 dazu Folgendes aus:
"Typischerweise der Lebensführung dienende Wirtschaftsgüter, für die eine private Mitveranlassung besteht, werden von der Regelung des § 20 Abs. 1 Z 2 lit. a EStG 1988 erfasst (vgl. Hofstätter/Reichel, Tz 3.1. zu § 20 EStG 1988, 48. Lfg.). Demnach dürfen, wie der Verwaltungsgerichtshof im Erkenntnis vom 27. Jänner 2011, 2010/15/0197, ausgesprochen hat, Aufwendungen für solche Wirtschaftsgüter grundsätzlich nicht als Betriebsausgaben oder Werbungskosten abgezogen werden. ...(vgl. Hofstätter/Reichel, Tz 3.1. zu § 20 EStG 1988).
Eine Abgrenzung eines ausschließlichen oder fast ausschließlich betrieblich /beruflich genutzten Raumes in der DG-Wohnung ist nicht erkennbar.
Die Aufwendungen für Top 17 unterliegen daher dem Abzugsverbot gemäß § 20 EStG und waren nicht als Werbungskosten anzuerkennen.
Weiters wird zu der Nichtabzugsfähigkeit der Aufwendungen für einen Arbeitsraum bei vermögensverwaltender Tätigkeit (Vermietungstätigkeit) ausgeführt:
Bereits die Betriebsprüfung führte dazu aus, dass die Nutzung eines häuslichen Arbeitszimmers im Rahmen der Vermögensverwaltung durch Vermietung und Verpachtung nach geltender Rechtsprechung (siehe dazu VwGH vom 30.9.1999, 98/15/0211 bzw. VwGH 24.4.2002, 98/13/0193) zu nichtabzugsfähigen Aufwendungen führt, weil keine betriebliche oder berufliche Tätigkeit vorliegt. Sie umfasst somit nicht die im zweiten Satz geregelte Ausnahme vom allgemeinen Abzugsverbot des § 20 Abs. 1 Z 2 lit d EStG 1988. ( vgl auch UFS RV/0101-S/06)
In dem Erkenntnis vom 30.09.1999, 98/15/0211 führt der Verwaltungsgerichtshof aus:
"Die Nutzung eines häuslichen Arbeitszimmers im Rahmen der Einkünfte aus Vermietung und Verpachtung führt also deshalb im Hinblick auf die Regelung des § 20 Abs. 1 Z. 2 lit. d EStG nicht zu abzugsfähigen Aufwendungen (Ausgaben), weil keine betriebliche oder berufliche Tätigkeit vorliegt. Dies gilt auch dann, wenn sich im Einzelfall die Nutzung eines Arbeitszimmers als für die Betätigung im Rahmen der Vermietung notwendig erweisen sollte. Der Verwaltungsgerichtshof sieht sich dennoch durch den Beschwerdefall nicht veranlasst, einen Antrag nach Art 140 Abs. 1 B-VG an den Verfassungsgerichtshof zu stellen, zumal der gesetzlichen Regelung des § 20 Abs. 1 Z. 2 lit. d EStG wohl die Durchschnittsbetrachtung zugrunde liegt, wonach Betätigungen, welche sich auf den Umfang einer bloßen Vermögensverwaltung beschränken, die ins Gewicht fallende Nutzung eines eigenen Arbeitsraumes nicht erforderlich machen...."
Vock führt dazu im Jakom aus, dass die Ausnahme vom allgemeinen Abzugsverbot der lit d nur auf betrieblich (§§ 21-23) bzw. beruflich ( § 25, § 29 Z 4) Tätigkeiten, nicht aber auf die Vermögensverwaltung, zB Nutzung eines häuslichen Arbeitszimmers iRd Einkünfte aus Vermietung und Verpachtung abstellt. Dies gilt auch dann wenn sich die Nutzung eines Arbeitszimmers im Einzelfall als für die Betätigung iRd Vermietung und Verpachtung notwendig erweist (VwGH 24.4.02,98/13/0193; Atzmüller SWK 99, S 765; UFS 12.5.09,RV/3179-W/02). (Jakom/Vock EStG,2016, § 20 RZ 49)
Da im gegenständlichen Fall das Bundesfinanzgericht betreffend die Vermietung der zwei Appartements keine über eine Vermögensverwaltung hinausgehende Tätigkeit sieht, sind auch aus diesem Grund die Aufwendungen für ein häusliches Arbeitszimmers nicht abzugsfähig.
Ad Umsatzsteuer:
Gemäß § 1 Abs. 1 Zif. 1 UStG 1994 unterliegen der Umsatzsteuer die Lieferungen und sonstige Leistungen, die ein Unternehmer im Inland gegen Entgelt im Rahmen seines Unternehmens ausführt.
§ 12 UStG 1994:
(1) Der Unternehmer kann die folgenden Vorsteuerbeträge abziehen:
1.Die von anderen Unternehmern in einer Rechnung (§ 11) an ihn gesondert ausgewiesene Steuer für Lieferungen oder sonstige Leistungen, die im Inland für sein Unternehmen ausgeführt worden sind.
...
(2)
1. a) Lieferungen und sonstige Leistungen sowie die Einfuhr von Gegenständen gelten als für das Unternehmen ausgeführt, wenn sie für Zwecke des Unternehmens erfolgen und wenn sie zu mindestens 10% unternehmerischen Zwecken dienen.
...
2. Nicht als für das Unternehmer ausgeführt gelten Lieferungen, sonstige Leistungen oder Einfuhren,
a) deren Entgelte überwiegend keine abzugsfähigen Ausgaben (Aufwendungen) im Sinne des § 20 Abs. 1 Z 1 bis 5 des Einkommensteuergesetzes 1988 oder der §§ 8 Abs. 2 und 12 Abs. 1 Z 1 bis 5 des Körperschaftsteuergesetzes 1988 sind,
...
Eine Leistung oder Einfuhr gelten nach § 12 Abs. 2 Z 1 UStG 1994 als für das Unternehmen ausgeführt, wenn sie für Zwecke des Unternehmens erfolgt.
Gemäß § 12 Abs. 2 Z 2 UStG 1994 gelten bestimmte Leistungen kraft gesetzlicher Fiktion als nicht für das Unternehmen ausgeführt, auch wenn sie tatsächlich für Zwecke des Unternehmens erfolgen. Die Fiktion betrifft
- Leistungen, deren Entgelte überwiegend keine abzugsfähigen Ausgaben (Aufwendungen) iS der ertragsteuerlichen Vorschriften sind,
- Leistungen im Zusammenhang mit der Anschaffung, Miete oder dem Betrieb bestimmter Kraftfahrzeuge.
§ 20 EStG 1988 stellt eine Schnittstelle zwischen dem Einkommens- und Umsatzsteuerrecht dar. Einerseits knüpft § 20 Abs. 1 Z 6 EStG 1988 an den umsatzsteuerlichen Eigenverbrauch an. Andrerseits dient § 20 EStG 1988 sowohl in § 1 Abs. 1 Z 2 lit a UStG 1994 als auch in § 12 Abs. 2 Z 2 lit. a UStG 1994 als umsatzsteuerlicher Anknüpfungspunkt. Nach § 12 Abs. 2 Z 2 lit. a UStG 1994 gelten Lieferungen oder sonstige Leistungen, deren Entgelte überwiegend keine abzugsfähigen Ausgaben iS des § 20 Abs. 1 Z 1 bis 5 EStG 1988 sind, nicht für das Unternehmen ausgeführt; für diese Umsätze versagt das UStG damit den Vorsteuerabzug.
Die Fiktion hat für den konkreten Fall zur Folge, dass für den Ausbau und den Betrieb von 50% der DG-Wohnung als "Arbeitszimmer" ein Vorsteuerabzug nicht zusteht, da es sich gemäß § 20 Abs. 1 Z 1 bis 5 EStG 1988 um privat veranlassten Aufwendungen handelt.
Ungeachtet der derzeit geltenden ertragsteuerlichen Situation steht der Vorsteuerabzug für ein Arbeitszimmer nach Maßgabe der ertragsteuerlichen Rechtslage zum 1.1.1995 zu. Danach ist ein im Wohnungsverband gelegenes Arbeitszimmer anzuerkennen, wenn der Raum ausschließlich oder nahezu ausschließlich beruflich genutzt wird, was nach der damaligen Praxis angenommen wurde, wenn die ausgeübte Tätigkeit ein ausschließlich beruflichen Zwecken dienendes Arbeitszimmer im Wohnbereich unbedingt notwendig machte und auch tatsächlich ein Raum entsprechend eingerichtet und genutzt wurde (zB VwGH 17.9.1997, 93/13/0033, ÖStZB 1998, 424; UStR Rz 1923 idF AÖF 161/2004).
Da im gegenständlichen Fall - wie vorstehend bereits ausgeführt - das "Arbeitszimmer" vom Bundesfinanzgericht nicht als notwendig erachtet wurde und es auch nicht ausschließlich beruflich/betrieblich verwendet wurde, waren die Aufwendungen gemäß § 20 Ab. 1 EStG 1988 nicht abzugsfähig.
Somit waren auch die Vorsteuern nicht anzuerkennen.
Zu dem vorgebrachten Entscheidungshinweis des Urteils EuGH C-25/03 vom 21.4.2005
wird Folgendes entgegenzuhalten:
Leistungen, deren Entgelte überwiegend keine abzugsfähigen Ausgaben (Aufwendungen) iS des § 20 Abs. 1 Z 1-5 EStG 1988 oder des § 8 Abs. 2 und § 12 Abs. 1 Z 1-5 KStG 1988 sind, gelten als nicht für das Unternehmen ausgeführt.
Gegen diese Vorschrift hat der VwGH keine unionsrechtlichen Bedenken: Da der damit verbundene Ausschluss vom Vorsteuerabzug bereits unverändert bei In-Kraft-Treten der 6. MWSt-RL bestanden hat, durfte er gemäß § 17 Abs. 6 der 6. MWSt-RL (nunmehr Art 176 MWSt-RL) beibehalten werden (28.10.2004, 2001/15/0028, ÖStZB 2005,311)
(Ruppe/Achatz, UStG4, § 12 Tz 150)
In den Nachfolgeentscheidungen erkennt der VwGH (28.5.2009, 2009/15/0100), dass sich für ein Gebäude, das nur zum Teil vermietet und zum anderen Teil für eigene Wohnzwecke genutzt wird, aus der unionskonformen Bestimmung des § 12 Abs. 2 Z 2 lit a der Vorsteuerausschluss hinsichtlich des privaten Wohnbereiches ergibt. In weiteren Entscheidungen hat der VwGH den Vorsteuerausschluss für den privaten Wohnbereich bei gemischt genutzten Gebäuden nach Maßgabe des § 12 Abs 2 Z 2 lit a bestätigt (zB 22.4.2009, 2007/15/0091; 24.6.2009, 2009/15/0104; 30.6.2010, 2005/13/0057 zu Miteigentumsgemeinschaft) (Kollmann/Schuchter in Melhardt/Tumpel, UStG2, §12 RZ 227)
Die Aufwendungen im Zusammenhang mit dem Umbau und dem Betrieb von Top 17 stellen nach Ansicht des BFG Aufwendungen der privaten Lebensführung (privater Wohnbereich) gem. § 20 Abs. 1 Z 1 bzw. Z 2 Iit. a EStG 1988 dar, sind daher weder einkommen- noch umsatzsteuerrechtlich von Belang.
Zulässigkeit einer Revision
Gegen ein Erkenntnis des Bundesfinanzgerichtes ist die Revision zulässig, wenn sie von der Lösung einer Rechtsfrage abhängt, der grundsätzliche Bedeutung zukommt, insbesondere weil das Erkenntnis von der Rechtsprechung des Verwaltungsgerichtshofes abweicht, eine solche Rechtsprechung fehlt oder die zu lösende Rechtsfrage in der bisherigen Rechtsprechung des Verwaltungsgerichtshofes nicht einheitlich beantwortet wird.
Zur Frage inwieweit Aufwendungen für ein Arbeitszimmer im Zusammenhang mit einer wirtschaftlichen Tätigkeit (Vermietung) einen Vorsteueranspruch begründen, fehlt eine Rechtsprechung des Verwaltungsgerichtshofes, weshalb eine Revision zuzulassen war.
Wien, am 14. Juni 2017
Zusatzinformationen | |
|---|---|
Materie: | Steuer |
betroffene Normen: | § 20 Abs. 1 Z 2 EStG 1988, Einkommensteuergesetz 1988, BGBl. Nr. 400/1988 |
Verweise: | VwGH 30.09.1999, 98/15/0211 |
