22. Verordnung des Bundesministers für Wirtschaft und Arbeit, mit der die Verordnung über den Schutz der Arbeitnehmer/innen vor der Gefährdung durch Lärm und Vibrationen (Verordnung Lärm und Vibrationen - VOLV) erlassen wird und mit der die Bauarbeiterschutzverordnung und die Verordnung über die Gesundheitsüberwachung am Arbeitsplatz geändert werden
Artikel I
Verordnung über den Schutz der Arbeitnehmer/innen vor der Gefährdung durch Lärm und Vibrationen (Verordnung Lärm und Vibrationen - VOLV)
Aufgrund §§ 12 bis 15, 20 Abs. 2, 22 Abs. 4, 28 Abs. 5, 33 Abs. 5, 38 Abs. 1, 65, 66 Abs. 1 und 3 sowie 72 Abs. 1 Z 3 und 4 des Bundesgesetzes über Sicherheit und Gesundheitsschutz bei der Arbeit (ArbeitnehmerInnenschutzgesetz - ASchG), BGBl. Nr. 450/1994, zuletzt geändert durch das Bundesgesetz BGBl. I Nr. 159/2001 und die Verordnung BGBl. II Nr. 309/2004, wird verordnet:
Inhaltsverzeichnis
§ 1. Geltungsbereich
§ 2. Begriffsbestimmungen
§ 3. Expositionsgrenzwert
§ 4. Auslösewert
§ 5. Grenzwerte für bestimmte Räume
§ 6. Bewertungen und Messungen
§ 7. Ermittlung und Beurteilung der Gefahren
§ 8. Information, Unterweisung, Anhörung und Beteiligung der Arbeitnehmer/innen
§ 9. Maßnahmen und Maßnahmenprogramm
§ 10. Bauliche und raumakustische Maßnahmen
§ 11. Maßnahmen an der Quelle
§ 12. Maßnahmen betreffend Arbeitsmittel und Arbeitsvorgänge
§ 13. Technische und organisatorische Maßnahmen
§ 14. Persönliche Schutzausrüstung, Kennzeichnung, Verzeichnis
§ 15. Ausnahmen
§ 16. Umsetzung von Rechtsakten der Europäischen Union
§ 17. Übergangs- und Schlussbestimmungen
Anhang A: Definition und Bewertung: Lärmgrößen
Anhang B: Definition und Bewertung: Vibrationsgrößen
§ 1. Geltungsbereich
§ 2. Begriffsbestimmungen
§ 3. Expositionsgrenzwert
§ 4. Auslösewert
§ 5. Grenzwerte für bestimmte Räume
§ 6. Bewertungen und Messungen
§ 7. Ermittlung und Beurteilung der Gefahren
§ 8. Information, Unterweisung, Anhörung und Beteiligung der Arbeitnehmer/innen
§ 9. Maßnahmen und Maßnahmenprogramm
§ 10. Bauliche und raumakustische Maßnahmen
§ 11. Maßnahmen an der Quelle
§ 12. Maßnahmen betreffend Arbeitsmittel und Arbeitsvorgänge
§ 13. Technische und organisatorische Maßnahmen
§ 14. Persönliche Schutzausrüstung, Kennzeichnung, Verzeichnis
§ 15. Ausnahmen
§ 16. Umsetzung von Rechtsakten der Europäischen Union
§ 17. Übergangs- und Schlussbestimmungen
Anhang A: Definition und Bewertung: Lärmgrößen
Anhang B: Definition und Bewertung: Vibrationsgrößen
Geltungsbereich
§ 1. Diese Verordnung gilt in Arbeitsstätten, auf Baustellen und an auswärtigen Arbeitsstellen im Sinne des ASchG für Tätigkeiten, bei denen die Arbeitnehmer/innen während ihrer Arbeit einer Gefährdung durch Lärm oder durch Vibrationen ausgesetzt sind oder ausgesetzt sein können.
Begriffsbestimmungen
§ 2. Im Sinne dieser Verordnung sind
- 1. Vibrationen: Mechanische Schwingungen oder Erschütterungen, die durch direkten Kontakt auf den menschlichen Körper übertragen werden (Definition und Bewertung laut Anhang B);
- a) Hand-Arm-Vibrationen: mechanische Schwingungen, die bei Übertragung auf das Hand-Arm-System des Menschen Gefährdungen für die Gesundheit und Sicherheit der Arbeitnehmer/innen verursachen, insbesondere Durchblutungsstörungen, Knochen- oder Gelenkschäden, neurologische oder Muskelerkrankungen.
- b) Ganzkörper-Vibrationen: mechanische Schwingungen, die bei Übertragung auf den gesamten Körper Gefährdungen für die Gesundheit und Sicherheit der Arbeitnehmer/innen verursachen, insbesondere Rückenschmerzen und Schädigungen der Wirbelsäule.
- 2. Lärm: Jede Art von Schall im hörbaren Frequenzbereich (Definition und Bewertung laut Anhang A)
- a) gehörgefährdender Lärm: Lärm über dem Auslösewert (§ 4);
- b) störender Lärm: Lärm, der einen Beurteilungspegel nach § 5 überschreitet.
Expositionsgrenzwert
§ 3. (1) Die nachstehenden Expositionsgrenzwerte dürfen nicht überschritten werden:
- 1. Für Hand-Arm-Vibrationen: ahw,8h = 5 m/s2;
- 2. Für Ganzkörper-Vibrationen: aw,8h = 1,15 m/s2;
- 3. Für gehörgefährdenden Lärm: LA,EX,8h = 85 dB bzw. ppeak = 140 Pa (entspricht: LC,peak = 137 dB);
- 4. Für jugendliche Arbeitnehmer/innen gelten die in § 4 Abs. 1 Z 1 und 2 angeführten Auslösewerte für Vibrationen als Expositionsgrenzwerte.
(2) Abweichend von Abs. 1 kann bei Lärmexpositionen, die von einem Arbeitstag zum anderen erheblich schwanken, als Beurteilungszeitraum für den Auslösewert (§ 4 Abs. 1 Z 3), und den Expositionsgrenzwert (§ 3 Abs. 1 Z 3) anstatt des Tages (8 h) eine Woche (40 h) herangezogen werden, sofern
- 1. durch eine geeignete Bewertung oder Messung im Sinne des § 6 nachgewiesen wird, dass der Wochen-Lärmexpositionspegel (LA,Ex,40h) den Expositionsgrenzwert nicht überschreitet, und
- 2. geeignete Maßnahmen getroffen werden, um die mit diesen Tätigkeiten verbundenen Risiken auf ein Mindestmaß zu verringern.
(3) Wenn die Expositionsgrenzwerte überschritten werden, müssen die Arbeitgeber/innen
- 1. unverzüglich Maßnahmen ergreifen, um die Exposition auf einen Wert unterhalb des Expositionsgrenzwertes zu senken,
- 2. ermitteln, warum der Expositionsgrenzwert überschritten wurde und
- 3. die Schutz- und Vorbeugemaßnahmen entsprechend anpassen, um ein erneutes Überschreiten des Grenzwertes zu verhindern.
Auslösewert
§ 4. (1) Die Exposition der Arbeitnehmer/innen sollte, soweit dies nach dem Stand der Technik möglich ist, keinen der folgenden Auslösewerte überschreiten. Wenn die Exposition der Arbeitnehmer/innen einen der folgenden Auslösewerte für Vibrationen überschreitet, sind §§ 6 bis 9 anzuwenden. Wenn die Exposition der Arbeitnehmer/innen einen der folgenden Auslösewerte für Lärm überschreitet, sind §§ 8 Abs. 1 und 14 Abs. 1 anzuwenden. Die individuelle Wirkung von persönlicher Schutzausrüstung ist hierbei nicht zu berücksichtigen. Die Auslösewerte betragen:
- 1. Für Hand-Arm-Vibrationen: ahw,8h = 2,5 m/s2;
- 2. Für Ganzkörper-Vibrationen: aw,8h = 0,5 m/s2;
- 3. Für gehörgefährdenden Lärm: LA,EX,8h = 80 dB bzw. ppeak = 112 Pa (entspricht: LC,peak = 135 dB).
Grenzwerte für bestimmte Räume
§ 5. (1) Bei Ganzkörper-Vibrationen in Räumen nach Z 1 bis 3 ist die Exposition so niedrig wie möglich zu halten und darf maximal den Auslösewert erreichen. Bei Lärm in Räumen nach Z 1 bis 3 dürfen die folgenden Beurteilungspegel nicht überschritten werden, wobei die von außen einwirkenden Geräusche, wie Lärm aus anderen Räumen, Nachbarschaftslärm, Verkehrslärm, Fluglärm, Lärm von einer Baustelle, in die Bewertung einzubeziehen sind:
- 1. LA,r = 50 dB in Räumen, in denen überwiegend geistige Tätigkeiten ausgeführt werden;
- 2. LA,r = 65 dB in Räumen, in denen einfache Bürotätigkeiten oder vergleichbare Tätigkeiten ausgeführt werden;
- 3. LA,r = 50 dB ortsbezogen, in Aufenthalts- und Bereitschaftsräumen, Sanitätsräumen und Wohnräumen, wobei Geräusche, die durch Personen im Raum verursacht werden, nicht einzubeziehen sind.
(2) Zur Einhaltung der Grenzwerte nach Abs. 1 Z 1 bis 3 darf Gehörschutz nicht herangezogen werden.
Bewertungen und Messungen
§ 6. (1) Lärm und Vibrationen an den Arbeitsplätzen sind einer Bewertung nach dem Stand der Technik zu unterziehen. Dazu können zB Betriebsanleitungen, Hersteller- oder Inverkehrbringerangaben, Arbeitsverfahrensvergleiche, veröffentlichte Informationen, wie wissenschaftliche Erkenntnisse oder Vergleichsdatenbanken oder Berechnungsverfahren, herangezogen werden.
(2) Kann aufgrund einer solchen Bewertung eine Überschreitung der Expositionsgrenzwerte oder eine Überschreitung der Grenzwerte für bestimmte Räume nicht sicher ausgeschlossen werden, so muss die Bewertung auf Grundlage einer repräsentativen Messung erfolgen.
(3) Arbeitgeber/innen haben dafür zu sorgen, dass Bewertungen und Messungen
- 1. unter Berücksichtigung der Herstellerangaben sachkundig geplant und in angemessenen Zeitabständen durchgeführt werden;
- 2. den physikalischen Eigenschaften von Lärm oder Vibrationen, dem Ausmaß, der Dauer und der Expositionsgröße sowie der Arbeitsumgebung angepasst sind und zu einem eindeutigen und repräsentativen Ergebnis führen; dies gilt auch für Stichprobenverfahren;
- 3. bei Hand-Arm-Vibrationen für Arbeitsmittel, die beidhändig gehalten oder geführt werden, an jeder Hand vorgenommen werden; die repräsentative Exposition ergibt sich aus dem höheren der beiden Werte, wobei beide Werte zu dokumentieren sind;
- 4. so dokumentiert werden (§ 5 ASchG), dass die Ergebnisse eindeutig und nachvollziehbar sind.
(4) Bewertungen und Messungen dürfen nur von fachkundigen Personen oder Diensten durchgeführt werden. Diese müssen die erforderlichen Fachkenntnisse und Berufserfahrungen besitzen und die Gewähr für die gewissenhafte und repräsentative Durchführung der Bewertungen und Messungen nach dem Stand der Technik bieten. Als Fachkundige können auch Betriebsangehörige eingesetzt werden.
(5) Fachkundige Personen oder Dienste müssen über die je nach Art der Aufgabenstellung, notwendigen und geeigneten Einrichtungen verfügen (zB Software für Berechnungen, Messgeräte, die den vorherrschenden Bedingungen insbesondere unter Berücksichtigung der Merkmale der zu messenden physikalischen Größe angepasst sind, oder aus denen die physikalische Größe eindeutig und repräsentativ abgeleitet werden kann, Vergleichsdaten, einschlägige technische Normen).
Ermittlung und Beurteilung der Gefahren
§ 7. (1) Arbeitgeber/innen müssen die Gefahren, denen die Arbeitnehmer/innen durch Lärm oder Vibrationen ausgesetzt sind, ermitteln und beurteilen und dabei insbesondere Folgendes berücksichtigen:
- 1. Art, Ausmaß, Dauer und Frequenzspektrum der Exposition, einschließlich der Exposition gegenüber impulsförmigem Schall sowie gegenüber intermittierenden und wiederholten Vibrationen;
- 2. Expositionsgrenzwerte, Auslösewerte und Grenzwerte für bestimmte Räume;
- 3. Ergebnisse von Bewertungen und Messungen sowie einschlägige Informationen auf Grundlage der Gesundheitsüberwachung;
- 4. die Angaben von Herstellern/Herstellerinnen, Inverkehrbringern/Inverkehrbringerinnen oder der Bedienungsanleitung (insbesondere Angaben zur korrekten Verwendung, zur Wartung und Kennzeichnung der Arbeitsmittel) sowie veröffentlichte Informationen wie wissenschaftliche Erkenntnisse oder Vergleichsdaten.
(2) Weiters sind bei der Ermittlung und Beurteilung der Gefahren, denen die Arbeitnehmer/innen durch Lärm oder Vibrationen ausgesetzt sind, zu berücksichtigen:
- 1. alle Auswirkungen auf die Gesundheit und Sicherheit der Arbeitnehmer/innen bei gleichzeitiger Einwirkung von Lärm und Vibrationen oder ototoxischen Substanzen, soweit nach dem Stand der Technik oder der Arbeitsmedizin ein Zusammenhang erwiesen ist;
- 2. besondere Arbeits- oder Umgebungsbedingungen bei Vibrationen, zB Arbeit bei niedrigen Temperaturen;
- 3. alle Auswirkungen auf die Gesundheit und Sicherheit besonders gefährdeter Arbeitnehmer/innen;
- 4. die Verfügbarkeit von persönlicher Schutzausrüstung mit einer angemessenen mindernden Wirkung; bei Hand-Arm-Vibrationen zB auch Handschuhe zum Schutz vor Nässe und Kälte;
- 5. alle indirekten Auswirkungen auf Gesundheit und Sicherheit der Arbeitnehmer/innen durch
- a) Wechselwirkungen zwischen Lärm und Warnsignalen bzw. anderen Geräuschen, die beachtet werden müssen, um Unfallgefahren zu vermeiden; dies ist insbesondere zu beachten, wenn Gehörschutz zur Anwendung kommt;
- b) verminderte Sprachverständlichkeit bei Lärm;
- c) Auswirkungen von Vibrationen auf den Arbeitsplatz oder auf Arbeitsmittel, zB wenn sich Vibrationen auf das korrekte Handhaben von Bedienungselementen, auf das Ablesen von Anzeigen oder auf die Stabilität der Strukturen oder die Festigkeit von Verbindungen störend auswirken;
- 6. eine allfällige über die Normalarbeitszeit (acht Stunden oder vierzig Stunden) hinausgehende Exposition gegenüber Lärm oder Vibrationen.
(3) Bei der Ermittlung und Beurteilung der Gefahren ist, ausgehend vom Ist-Zustand, Bedacht zu nehmen auf
- 1. die Gestaltung und Auslegung der Arbeitsstätten, Räume, Arbeitsplätze und Arbeitsverfahren, wie bauliche Trennung von stark belasteten Bereichen, Abschirmungen, für Lärm auch Raumakustik;
- 2. die Verfügbarkeit alternativer Arbeitsmittel oder Ausrüstungen und die Möglichkeit technischer Maßnahmen, durch die das Ausmaß der Exposition verringert wird;
- 3. die Möglichkeit, Arbeitsmittel so aufzustellen und Arbeitsvorgänge so durchzuführen, dass das Ausmaß der Exposition insbesondere für Arbeitnehmer/innen, die nicht an diesen Arbeitsmitteln oder bei diesen Arbeitsvorgängen tätig sind, verringert wird;
- 4. die Möglichkeit, Verbindungen zwischen Arbeitsmitteln oder sonstigen Einrichtungen schwingungsdämpfend zu gestalten.
(4) Die Ermittlung und Beurteilung ist regelmäßig zu aktualisieren. Eine Überprüfung und erforderlichenfalls eine Anpassung gemäß § 4 Abs. 4 und 5 ASchG hat insbesondere auch zu erfolgen, wenn die Ermittlung und Beurteilung aufgrund bedeutsamer Veränderungen veraltet sein könnte, oder wenn es sich aufgrund der Ergebnisse einer Bewertung oder Messung oder aufgrund der Ergebnisse der Gesundheitsüberwachung als erforderlich erweist.
Information, Unterweisung, Anhörung und Beteiligung der Arbeitnehmer/innen
§ 8. (1) Wenn ein Auslösewert überschritten ist, muss eine Information und Unterweisung der Arbeitnehmer/innen nach §§ 12 und 14 ASchG erfolgen. Diese hat sich jedenfalls zu beziehen auf:
- 1. die Maßnahmen gemäß §§ 10 bis 13;
- 2. Bedeutung und Höhe der Expositionsgrenzwerte und der Auslösewerte sowie ihren Bezug zur Gefährdung;
- 3. die Ergebnisse der Bewertungen und Messungen und die potentiellen Gefahren, die von den Emissionsquellen ausgehen;
- 4. das Erkennen und Melden von gesundheitsschädigenden Auswirkungen;
- 5. die Voraussetzungen, unter denen die Arbeitnehmer/innen Anspruch auf eine Gesundheitsüberwachung haben und deren Zweck;
- 6. sichere Arbeitsverfahren, sowie korrekte Handhabung der Arbeitsmittel und Verhaltensweisen zur Minimierung der Exposition;
- 7. die korrekte Verwendung der zur Verfügung gestellten persönlichen Schutzausrüstung.
(2) Die Anhörung und Beteiligung der Arbeitnehmer/innen nach § 13 ASchG hat sich insbesondere zu beziehen auf:
- 1. die Ergebnisse der Ermittlung und Beurteilung der Gefahren;
- 2. die Maßnahmen gemäß §§ 10 bis 13;
- 3. die Auswahl persönlicher Schutzausrüstungen.
Maßnahmen und Maßnahmenprogramm
§ 9. (1) Gefahren durch Lärm oder Vibrationen müssen am Entstehungsort ausgeschlossen oder so weit verringert werden, als dies nach dem Stand der Technik und der Verfügbarkeit von geeigneten technischen Mitteln möglich ist.
(2) Um Lärm und Vibrationen auf das niedrigste in der Praxis vertretbare Niveau zu senken, müssen Arbeitgeber/innen unter Beachtung der Grundsätze der Gefahrenverhütung (§ 7 ASchG) geeignete Maßnahmen aus den §§ 10 bis 13 auswählen und durchführen.
(3) Wenn einer der nachstehenden Werte überschritten wird, müssen Arbeitgeber/innen bei der Festlegung von Maßnahmen nach § 4 Abs. 3 ASchG auch ein Programm mit Maßnahmen aus den §§ 10 bis 13 festlegen und durchführen:
- 1. Auslösewerte für Vibrationen,
- 2. Expositionsgrenzwerte für gehörgefährdenden Lärm,
- 3. Grenzwerte für bestimmte Räume.
Bauliche und raumakustische Maßnahmen
§ 10. (1) Im Maßnahmenprogramm nach § 9 sind bauliche Maßnahmen zur Vermeidung oder Verringerung der Exposition, wie die Gestaltung und Auslegung der Räume und Arbeitsplätze festzulegen. Bei Lärm sind nach Möglichkeit raumakustische Maßnahmen mit einem mittleren Schallabsorptionsgrad von αm,B = 0,25 (leerer Raum, Planungswert) oder αm = 0,3 (eingerichteter Raum) für die Oktavbandmittenfrequenzen von 500, 1000 und 2000 Hz zu setzen.
(2) Raumakustische Maßnahmen im Sinne des Abs. 1 müssen jedenfalls gesetzt werden, wenn damit unterschritten werden kann
- 1. die jeweilige Expositionsgrenze für bestimmte Räume (§ 5),
- 2. bei gehörgefährdendem Lärm der Expositionsgrenzwert.
Maßnahmen an der Quelle
§ 11. Im Maßnahmenprogramm nach § 9 sind Maßnahmen an der Quelle zur Vermeidung oder Verringerung der Exposition an der Quelle festzulegen, wie
- 1. alternative Arbeitsverfahren, bei denen es zu keiner oder einer geringeren Exposition gegenüber Lärm und Vibrationen kommt;
- 2. die Auswahl geeigneter Arbeitsmittel, die laut Herstellerangaben und unter Berücksichtigung der auszuführenden Arbeit möglichst wenig Lärm und Vibrationen verursachen und die, insbesondere bei Vibrationen, nach ergonomischen Gesichtspunkten gestaltet sind;
- 3. die angemessene Wartung der Arbeitsmittel und ihrer Verbindungs- und Aufstellungsbauteile sowie anderer Einrichtungen an den Arbeitsplätzen.
Maßnahmen betreffend Arbeitsmittel und Arbeitsvorgänge
§ 12. Im Maßnahmenprogramm nach § 9 sind Maßnahmen betreffend Arbeitsmittel und Arbeitsvorgänge festzulegen, wie
- 1. Arbeitsmittel und Arbeitsvorgänge, die an Arbeitsplätzen Lärm oder Vibrationen über den Auslösewerten verursachen, sind unter Berücksichtigung der Arbeitsabläufe nach Möglichkeit in eigenen Räumen unterzubringen bzw. durchzuführen.
- 2. Arbeitsmittel und Arbeitsvorgänge, die an Arbeitsplätzen Lärm oder Vibrationen verursachen, sind so aufzustellen bzw. durchzuführen, dass insbesondere für Arbeitnehmer/innen, die nicht an diesen Arbeitsmitteln oder bei diesen Arbeitsvorgängen tätig sind, das Ausmaß der Exposition gegenüber Lärm und Vibrationen soweit als möglich verringert wird.
- 3. Rohre oder Leitungen, die vibrierende Arbeitsmittel untereinander oder mit anderen Einrichtungen verbinden, müssen schwingungsdämpfend ausgeführt und befestigt sein.
Technische und organisatorische Maßnahmen
§ 13. (1) Im Maßnahmenprogramm nach § 9 sind technische Maßnahmen festzulegen:
- 1. für Lärm: Luftschallminderung (zB durch Abschirmungen, Kapselungen, Abdeckungen mit schallabsorbierendem Material) oder Körperschallminderung (zB durch Körperschalldämmung oder Körperschallisolierung);
- 2. für Vibrationen: Bereitstellung von Zusatzausrüstungen, die die Gefahren aufgrund von Vibrationen verringern (zB Sitze, die Ganzkörper-Vibrationen wirkungsvoll dämpfen, oder Griffe, die auf den Hand-Arm-Bereich übertragene Vibrationen verringern).
(2) Im Maßnahmenprogramm nach § 9 sind organisatorische Maßnahmen festzulegen, wie
- 1. Abstandsvergrößerung zur Emissionsquelle von Lärm insbesondere für Arbeitnehmer/innen, die nicht an diesen Arbeitsmitteln oder bei diesen Arbeitsvorgängen tätig sind;
- 2. sichere Arbeitsverfahren, sowie korrekte Handhabung der Arbeitsmittel und Verhaltensweisen zur Minimierung der Exposition der Arbeitnehmer/innen;
- 3. Begrenzen der Dauer der Exposition durch geeignete organisatorische Maßnahmen, wie eine Beschränkung der Beschäftigungsdauer, Arbeitsunterbrechungen oder die Einhaltung von Erholzeiten.
Persönliche Schutzausrüstung, Kennzeichnung, Verzeichnis
§ 14. (1) Für Arbeitnehmer/innen die sich in Bereichen aufhalten, in denen der Auslösewert für Lärm überschritten ist, ist Gehörschutz zur Verfügung zu stellen. Für Arbeitnehmer/innen, die sich in Bereichen aufhalten, in denen der Expositionsgrenzwert für gehörgefährdenden Lärm (Abs. 4) überschritten ist, muss der Gehörschutz so ausgewählt werden, dass die individuelle Exposition der Arbeitnehmer/innen den Expositionsgrenzwert nicht überschreitet. Arbeitnehmer/innen, die sich in Bereichen aufhalten, in denen der Expositionsgrenzwert für gehörgefährdenden Lärm überschritten ist, müssen diesen Gehörschutz benutzen.
(2) Um den Expositionsgrenzwert für Vibrationen zu unterschreiten, ist den Arbeitnehmer/innen persönliche Schutzausrüstung zur Verfügung zu stellen, sofern für die spezifische Einwirkung eine Schutzausrüstung erhältlich ist, durch die die individuelle Exposition der Arbeitnehmer/innen unter den Expositionsgrenzwert gesenkt werden kann. Außerdem ist erforderlichenfalls persönliche Schutzausrüstung zum Schutz vor Kälte und Nässe, zB Handschuhe als Witterungsschutz bei Hand-Arm-Vibrationen, bereitzustellen. Die Arbeitnehmer/innen müssen die persönliche Schutzausrüstung benutzen.
(3) Bereiche, in denen ein Expositionsgrenzwert für gehörgefährdenden Lärm (Abs. 4) oder, bei Übertragung von Vibrationen über den Boden, der Expositionsgrenzwert für Ganzkörper-Vibrationen überschritten ist, sind in geeigneter Weise zu kennzeichnen. Wenn dies technisch möglich und aufgrund der Expositionsgefahr gerechtfertigt ist, sind sie auch abzugrenzen und ist der Zugang einzuschränken.
(4) Die Überschreitung von Expositionsgrenzwerten nach Abs. 1 und 3 ist zu beurteilen
- 1. ortsbezogen oder
- 2. personenbezogen, sofern Ausmaß, Lage und Organisation der Aufenthaltsdauer der betroffenen Arbeitnehmer/innen im Sicherheits- und Gesundheitsschutzdokument festgelegt sind.
(5) Das Verzeichnis lärmexponierter Arbeitnehmer/innen im Sinne des § 65 Abs. 4 Z 6 ASchG ist für jene Arbeitnehmer/innen zu führen, die einer personenbezogenen Exposition über dem Expositionsgrenzwert für gehörgefährdenden Lärm ausgesetzt sind, wobei die individuelle Wirkung von persönlicher Schutzausrüstung nicht zu berücksichtigen ist.
Ausnahmen
§ 15. (1) Gemäß § 95 Abs. 1 ASchG wird festgestellt, dass die Behörde von den Bestimmungen dieser Verordnung, außer von § 5, § 9 Abs. 3 Z 3 und des § 10 Abs. 2, und mit Maßgabe des Abs. 2 keine Ausnahme zulassen darf.
(2) Hinsichtlich des Expositionsgrenzwertes für Vibrationen darf die Behörde gemäß § 95 Abs. 3 ASchG Ausnahmen von § 3 Abs. 1 zulassen, wenn die Arbeitnehmer/innen Vibrationen ausgesetzt sind, die in der Regel unter den Auslösewerten liegen, aber von einem Arbeitstag zum anderen erheblich schwanken und gelegentlich den Expositionsgrenzwert überschreiten können.
(3) Ausnahmebescheide nach Abs. 2 dürfen nur erteilt werden, wenn der Antragsteller,
- 1. durch eine Bewertung oder Messung nachweist, dass die durchschnittliche Exposition über einen Zeitraum von 40 Stunden hinweg unter dem Expositionsgrenzwert bleibt und
- 2. nachweist, dass die Risiken aus dieser Form der Einwirkung, der die Arbeitnehmer/innen ausgesetzt sind, geringer sind als die mit einer Exposition in Höhe des Expositionsgrenzwertes verbundenen Risiken.
(4) Ausnahmebescheide nach Abs. 2 dürfen weiters nur erteilt werden:
- 1. nach Anhörung der Interessenvertretungen der Arbeitgeber/innen und der Arbeitnehmer/innen,
- 2. unter Vorschreibung geeigneter Auflagen, die unter Berücksichtigung der besonderen Umstände gewährleisten, dass die sich daraus ergebenden Risiken auf ein Minimum reduziert werden,
- 3. wenn nach Anhörung des zuständigen arbeitsinspektionsärztlichen Dienstes gewährleistet ist, dass für die betreffenden Arbeitnehmer/innen eine verstärkte Gesundheitsüberwachung vorgesehen wird,
- 4. befristet, wobei die Frist maximal 4 Jahre betragen darf.
Umsetzung von Rechtsakten der Europäischen Union
§ 16. Durch diese Verordnung werden folgende Rechtsakte der Europäischen Union umgesetzt:
- 1. Richtlinie 2003/10/EG über Mindestvorschriften zum Schutz von Sicherheit und Gesundheit der Arbeitnehmer vor der Gefährdung durch physikalische Einwirkungen (Lärm), ABl. Nr. L 42 vom 15.02.2003 S. 38;
- 2. Richtlinie 2002/44/EG über Mindestvorschriften zum Schutz von Sicherheit und Gesundheit der Arbeitnehmer vor der Gefährdung durch physikalische Einwirkungen (Vibrationen), ABl. Nr. L 177 vom 06.07.2002 S. 13.
Übergangs- und Schlussbestimmungen
§ 17. (1) Gemäß § 114 Abs. 1 und 2 ASchG wird festgestellt, dass § 65 Abs. 2 bis 4 ASchG gleichzeitig mit dieser Verordnung in Kraft tritt.
(2) Gemäß § 125 Abs. 8 ASchG wird festgestellt, dass mit In-Kraft-Treten dieser Verordnung § 17 Abs. 1 bis 4, § 51 Abs. 1 bis 3, § 67 Abs. 1, 2 und 4 sowie § 87 Abs. 1 letzter Satz der gemäß § 108 Abs. 2, § 114 Abs. 2 zweiter Satz sowie § 114 Abs. 4 Z 5 und 7 ASchG als Bundesgesetz geltenden Allgemeinen Arbeitnehmerschutzverordnung (AAV), BGBl. Nr. 218/1983, in der Fassung der Verordnung BGBl. II Nr. 156/2005, außer Kraft treten.
(3) Gemäß § 195 Abs. 2 des Mineralrohstoffgesetzes - MinroG, BGBl. I Nr. 38/1999, zuletzt geändert durch das Bundesgesetz BGBl. I Nr. 85/2005, wird festgestellt, dass mit In-Kraft-Treten dieser Verordnung §§ 314 und 345 der gemäß § 195 Abs. 1 Z 4 MinroG als Bundesgesetz geltenden Allgemeinen Bergpolizeiverordnung, BGBl. Nr. 114/1959, zuletzt geändert durch die Verordnung BGBl. II Nr. 140/2005, außer Kraft treten.
(4) Vor In-Kraft-Treten dieser Verordnung aufgrund des ASchG oder aufgrund des Arbeitnehmerschutzgesetzes, BGBl. Nr. 234/1972, erlassene Bescheide werden durch diese Verordnung nicht berührt, mit der Maßgabe, dass bescheidmäßige Vorschreibungen von Grenzwerten für Lärm oder für Vibrationen außer Kraft treten und die in §§ 3, 4 und 5 festgelegten Werte Anwendung finden.
(5) Abweichend von § 3 Abs. 1 erster Satz dürfen Arbeitsmittel, die vor dem 7. Juli 2007 verwendet werden und bei deren Verwendung trotz Durchführung aller in Betracht kommender Maßnahmen nach dieser Verordnung die Einhaltung der Expositionsgrenzwerte für Vibrationen nicht möglich ist, bis 7. Juli 2011 weiter verwendet werden.
(6) Abweichend von § 5 Abs. 1 Z 2 gilt ein Grenzwert von LA,r = 70 dB für Arbeitsräume, die bereits vor In-Kraft-Treten dieser Verordnung für einfache Bürotätigkeiten, oder vergleichbare Tätigkeiten genutzt wurden.
(7) § 10 Abs. 2 gilt nicht für im Zeitpunkt des In-Kraft-Tretens dieser Verordnung bereits bestehende Arbeitsstätten.
(8) Bei In-Kraft-Treten dieser Verordnung bereits bestehende Arbeitsstätten, Baustellen und auswärtige Arbeitsstellen müssen, sofern die in Abs. 2 und 3 genannten Bestimmungen eingehalten werden, den Bestimmungen dieser Verordnung hinsichtlich Lärm erst ab 15. Februar 2006 entsprechen.
(9) Für Arbeitsstätten und auswärtige Arbeitsstellen im Musik- oder Unterhaltungssektor (einschließlich Musikdarbietungen im Gastgewerbe) tritt diese Verordnung erst am 15. Februar 2008 in Kraft. Bis dahin sind insoweit die in Abs. 2 genannten Bestimmungen weiter anzuwenden.
ANHANG A
Definition und Bewertung: Lärmgrößen
Gehörgefährdender Lärm:
Spitzenschalldruck (ppeak): Höchstwert des momentanen C-bewerteten Schalldrucks.
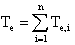
Lärmexpositionspegel - LA,EX,8h oder LA,EX,40h: A-bewerteter energieäquivalenter Dauerschallpegel LA,eq mit einem Beurteilungszeitraum von einem Arbeitstag (8 h) oder bei Lärmexpositionen, die von einem Arbeitstag zum anderen erheblich schwanken, mit einem Beurteilungszeitraum von einer Arbeitswoche (40 h) gemäß Abschnitt 3.6 ISO 1999:1990.
LA,EX,To = LA,eq,Te + 10 log (Te/To)
mit Te als tatsächlicher Expositionsdauer zum jeweiligen Beurteilungszeitraum To von 8 h bzw. 40 h.
Störwirkung von Lärm:
Beurteilungspegel - LA,r: Lärmexpositionspegel LA,EX,To, wie für gehörgefährdenden Lärm, mit Zuschlägen für die Impuls- oder Tonhaltigkeit.
LA,r = LA,EX,To + K
mit To als Beurteilungszeitraum und K als Zuschlag, der je nach Gegebenheit entweder als Impulszuschlag KI oder Tonzuschlag KT zu berücksichtigen ist. Bei gleichzeitigem Auftreten von Impuls- und Tonhaltigkeit ist nur ein Zuschlag zu addieren.
Bei Aufenthaltsräumen in Baustellenwagen: LA,r = LA,eq,Te + K mit Te als Pausendauer je Schicht
Impulszuschlag KI: Der Zuschlag für impulshältiges Geräusch ist 6 dB, wenn die A-bewerteten Maximalpegel bei der Anzeigedynamik „impulse“ sich um mindestens 2 dB von den Maximalpegeln bei der Anzeigedynamik „fast“ unterscheiden.
Tonzuschlag KT: Wenn Tonkomponenten deutlich hörbar sind und die Terzbandanalyse ergibt, dass der Pegel eines (oder zweier) Terzbänder die Pegel der benachbarten Bänder um 5 dB oder mehr übersteigt, beträgt der Tonzuschlag 6 dB.
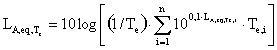
Zusammengesetzte Lärmexposition:
Setzt sich Ausmaß und Dauer der Lärmeinwirkung während eines Arbeitstages oder einer Arbeitswoche aus zwei oder mehreren verschiedenen Anteilen zusammen, so ist die Lärmexposition mit dem Gesamt- Expositionszeitraum Te aus den i-ten verschiedenen Anteilen wie folgt zu berechnen:
mit
als gesamte Expositionsdauer,
als die i-te Teilexpositionsdauer von n und mit
als i-ter Teildauerschallpegel von n.
ANHANG B
Definition und Bewertung: Vibrationsgrößen
Hand-Arm-Vibrationen:
Die Bewertung des Ausmaßes der Exposition gegenüber Hand-Arm-Vibrationen erfolgt anhand der Berechnung des auf einen Bezugszeitraum von 8 Stunden normierten Tagesexpositionswertes ahw,8h; dieser wird ausgedrückt als die Quadratwurzel aus der Summe der Quadrate (Gesamtwert) der Effektivwerte der bewerteten Beschleunigung in den drei orthogonalen Richtungen ahwx, ahwy, ahwz gemäß Kapitel 4 und 5 sowie Anhang A ÖNORM EN ISO 5349-1:2001.
und
mit Te als tatsächlicher Expositionsdauer zum Beurteilungszeitraum To von 8 h.
Zusammengesetzte Exposition bei Hand-Arm-Vibrationen:
Setzt sich Ausmaß und Dauer der Einwirkung von Hand-Arm-Vibrationen während eines Arbeitstages aus zwei oder mehreren verschiedenen Anteilen zusammen, so ist die Vibrationsexposition mit dem Gesamt-Expositionszeitraum Te aus den i-ten verschiedenen Anteilen wie folgt zu berechnen:
mit
als gesamte Expositionsdauer, Te,i als i-te Teilexpositionsdauer von n und mit
als i-te Teilexposition von n.
Ganzkörper-Vibrationen:
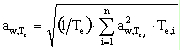
Die Bewertung des Ausmaßes der Exposition gegenüber Ganzkörper-Vibrationen erfolgt anhand der Berechnung der Tagesexposition aw,8h; diese wird ausgedrückt als die äquivalente Dauerbeschleunigung für einen Zeitraum von 8 Stunden, berechnet als der höchste Wert der Effektivwerte der bewerteten Beschleunigungen in den drei orthogonalen Richtungen (1,4 awx, 1,4 awy, awz) für eine/n sitzende/n oder stehende/n Arbeitnehmer/in gemäß Abschnitt 5, 6 und 7 sowie Anhängen A und B ISO 2631-1:1997.
und
mit Te als tatsächlicher Expositionsdauer zum Beurteilungszeitraum To von 8 h.
Zusammengesetzte Exposition bei Ganzkörper-Vibrationen:
Setzt sich Ausmaß und Dauer der Einwirkung von Ganzkörper-Vibrationen während eines Arbeitstages aus zwei oder mehreren verschiedenen Anteilen zusammen, so ist die Vibrationsexposition mit dem Gesamt - Expositionszeitraum Te aus den i-ten verschiedenen Anteilen wie folgt zu berechnen:
mit
als gesamte Expositionsdauer, Te,i als i-te Teilexpositionsdauer von n und mit
als i-te Teilexposition von n.
Artikel II
Änderung der Verordnung über die Gesundheitsüberwachung am Arbeitsplatz (VGÜ)
Aufgrund §§ 50 und 51 des Bundesgesetzes über Sicherheit und Gesundheitsschutz bei der Arbeit (ArbeitnehmerInnenschutzgesetz - ASchG), BGBl. Nr. 450/1994, zuletzt geändert durch das Bundesgesetz BGBl. I Nr. 159/2001 und die Verordnung BGBl. II Nr. 309/2004, wird die Verordnung über die Gesundheitsüberwachung am Arbeitsplatz (VGÜ), BGBl. II Nr. 27/1997, zuletzt geändert durch die Verordnung BGBl. II Nr. 306/2004, wie folgt geändert:
1. § 4 Abs. 1 lautet:
„(1) Eine gesundheitsgefährdende Lärmeinwirkung im Sinne des § 50 des Arbeit-nehmerInnenschutzgesetzes (ASchG), BGBl. Nr. 450/1994, liegt vor, wenn für Arbeitnehmer/innen folgende Expositionsgrenzwerte überschritten werden, wobei die dämmende Wirkung von persönlicher Schutzausrüstung nicht zu berücksichtigen ist:
- 1. LA,EX,8h = 85 dB, sofern nicht die Lärmexposition von einem Arbeitstag zum anderen erheblich schwankt und die wöchentliche Lärmexposition LA,EX,40h von 85 dB nicht überschritten wird oder
- 2. ppeak = 140 Pa (entspricht: LC,peak = 137 dB).“
2. Dem § 4 wird folgender neuer Abs. 3 angefügt:
„(3) Wenn die Ermittlung und Beurteilung der Gefahren oder die Bewertungen und Messungen der Lärmexposition oder Gesundheitsbeschwerden von Arbeitnehmer/innen auf ein Gesundheitsrisiko hindeuten und die Exposition der Arbeitnehmer/innen die nachstehenden Auslösewerte für Lärm überschreitet, müssen Arbeitgeber/innen dafür sorgen, dass die Arbeitnehmer/innen sich auf eigenen Wunsch vor Aufnahme dieser Tätigkeit sowie bei Fortdauer der Tätigkeit in regelmäßigen Zeitabständen einer besonderen Untersuchung im Sinne des § 51 ASchG unterziehen können. Diese Untersuchungen dürfen nur von Ärzten/Ärztinnen vorgenommen werden, die den Anforderungen für Arbeitsmediziner gemäß § 79 Abs. 2 ASchG entsprechen. Die Auslösewerte betragen:
- 1. LA,EX,8h = 80 dB, sofern nicht die Lärmexposition von einem Arbeitstag zum anderen erheblich schwankt und die wöchentliche Lärmexposition LA,EX,40h von 80 dB nicht überschritten wird oder
- 2. ppeak = 112 Pa (entspricht: LC,peak = 135 dB).“
3. In § 5 Abs. 1 wird in Z 2 der Punkt durch einen Beistrich ersetzt und wird folgende Z 3 angefügt:
- 3. Vibrationen, die einen Auslösewert (Hand-Arm-Vibrationen: ahw,8h = 2,5 m/s2 und Ganzkörper-Vibrationen) aw,8h = 0,5 m/s2) überschreiten.
4. In § 8 erhält der bisherige Text die Absatzbezeichnung „(1)“ und wird folgender Abs. 2 angefügt:
„(2) Wenn bei einer Untersuchung gemäß § 4 Abs. 3 oder gemäß § 5 Abs. 1 Z 3 bei einem/einer Arbeitnehmer/in eine die Gesundheit schädigende Auswirkung festgestellt wurde, sind Arbeitgeber/innen, die davon Kenntnis haben, verpflichtet, alle anderen in ähnlicher Weise exponierten Arbeitnehmer/innen verstärkt über die Möglichkeit solcher Untersuchungen zu informieren.“
5. Dem § 11 wird folgender Abs. 10 angefügt:
„(10) § 4 Abs. 1 und 3, § 8, in Anlage 1 die Tabelle „Einwirkungen nach § 50“ und in Anlage 2 Teil II die Überschrift, jeweils in der Fassung der Verordnung BGBl. II Nr. 22/2006, treten für Arbeitsstätten und auswärtige Arbeitsstellen im Musik- oder Unterhaltungssektor (einschließlich Musikdarbietungen im Gastgewerbe) erst am 15. Februar 2008 in Kraft.
6. In Anlage 1 zur VGÜ wird in der Tabelle „Einwirkungen nach § 50“ nach dem Wort „Lärm“ der Klammerausdruck „(bei Überschreitung des Expositionsgrenzwertes)“ eingefügt und werden in der Tabelle „Einwirkungen nach § 51“ folgende Zeilen angefügt:
Lärm (bei Überschreitung des Auslösewertes) | 5 Jahre |
Vibrationen (Hand-Arm-Vibrationen oder Ganzkörper-Vibrationen) | 4 Jahre |
7. In Anlage 2, Teil I, wird bei der Untersuchung von Arbeitnehmer/innen, die einer Einwirkung durch Schweißrauch oder Aluminiumstaub ausgesetzt sind, am Ende von Punkt 2 folgender Satz angefügt: „Sofern eine vorzeitige Folgeuntersuchung lediglich auf Grund veränderter Lungenfunktionswerte erfolgt, ist die Lungenfunktionsprüfung durchzuführen, jedoch keine Röntgen-Aufnahme erforderlich.“
8. In Anlage 2 zur VGÜ wird in Teil II in der Überschrift die Wortfolge „bei dem ein Schallpegelwert von 85 dB(A) oder bei nicht andauerndem Lärm ein wirkungsäquivalenter Pegelwert überschritten wird“ ersetzt durch die Wortfolge „bei dem der Expositionsgrenzwert oder der Auslösewert überschritten wird“.
9. In Anlage 2, Teil III, wird am Ende Folgendes angefügt:
UNTERSUCHUNG VON ARBEITNEHMER/INNEN, DIE VIBRATIONEN AUSGESETZT SIND
Ganzkörper-Vibrationen
Anamnese:
Zu achten ist besonders auf degenerative Veränderungen im Bereich der Lendenwirbelsäule (L4/L5, L5/S1) nach langjähriger sitzender Tätigkeit auf vertikal schwingenden Arbeitsgeräten. Erheben folgender Symptomen: akute (Lumbago) oder chronisch rezidivierende Schmerzen im lumbosakralen Bereich (vor allem in den letzten 12 Monaten), Schmerzcharakter (dumpf, brennend, ziehend, stechend, ausstrahlend, zB ein- oder beidseitiger Schmerzausstrahlung in die Oberschenkelmuskulatur, Häufigkeit), Bewegungseinschränkungen, Kraftverminderung und Sensibilitätsstörungen. Teilweise positives Lasèguezeichen, ischialgiforme Fehlhaltung, segmentale Reflexabschwächungen und motorische Störungen. Weiters ist zu achten auch auf langjährigen Zigarettenkonsum. Auch akute Störungen des allgemeinen Wohlbefindens (Übelkeit und Bewusstseinstörungen) können besonders bei tieffrequenten (< 0,5 Hz) Schwingungen, die auch als sog. Kinetosen bezeichnet werden, auftreten. Zu beachten weiters funktionelle und organische Magenerkrankungen.
Berufsanamnese:
Dauer der aktuellen und vergangenen Einwirkung von Ganzkörper-Vibrationen, Art der Maschinen, tägliche und gesamte Expositionsdauer in Jahren, Arbeitspositionen (wie zB gebückte oder verdrehte Körperhaltung, Knien oder Hocken, dauerndes Stehen, Arbeiten mit Händen über Schulterhöhe, dauernde sitzende Tätigkeit), zusätzliche Aufgaben mit manueller Lastenhandhabung und andere Belastungen der Wirbelsäule. Erheben von Mehrfachbelastungen wie Lärm, Schichtarbeit, sowie starke psychische Belastungen, die das Auftreten von Magen-Darm-Erkrankungen begünstigen, zu erheben. Zu fragen ist auch nach Arbeitsunfällen und Operationen.
Klinische Untersuchung:
- - Blutdruck
- - Inspektion, Palpation, Funktionsprüfungen und orientierender neurologischer Status.
- - Untersuchung der WS-Funktionen und Evaluierung der Beschwerden durch Mobilisationsprüfung:Rumpfextension, Rumpfflexion, laterale Rumpfflexion, Rotation links/rechts
- - Prüfung der NervenirritationenLasègue Test (bei liegender Person passives Heben des gestreckten Beines im Hüftgelenk; L4 - S1)
- - Prüfung von Hypästhesien im Dermatom L4-S1
- - Prüfung von motorischen Störungen (Tonusabschwächungen oder einseitige Umfangsminderungen im Bereich M.Quadriceps, M. extensor hallucis longus, M. triceps surae)
- - Prüfung von Reflexabschwächungen (Patellarsehnenreflex L3 - L4, Achillessehnenreflex S1
Hand-Arm-Vibrationen
Anamnese:
Berufsanamnese:
Klinische Untersuchungen:
- - Blutdruckmessung, am rechten und am linken Arm
- - Inspektion, Palpation, Funktionsprüfungen und orientierender neurologischer Status.
- - Hand-Arm Bereich: Druckdolenz, Radialispuls, Hautkolorit, -temperatur, und -trophik, Sensibilität, Schmerz- und Temperaturempfindung, aktive Beweglichkeit: Faustschluss, Strecken der Langfinger. Handgelenk Beweglichkeitsprüfung (funktionelle Einschränkung der Handgelenksfunktion), Schmerzen in Ruhe oder nächtlich, weiters beim Aufstützen, Prüfung der Stabilität im Radioulnargelenk, Prüfung der Sensibilität der betroffenen Finger (2 - 5).
- - Zuerst Abklärung von Dys-, Hyp- und Parästhesien (Finger bamstig, taub, gefühllos) und Schmerzen, Ausschluss einer Makroangiopathie durch Tasten aller arteriellen Armpulse (Allentest), Vergleich der Grobkraft beidseits (ggf. Handdynamometrie zur Verlaufskontrolle), auffällige Muskelatrophien.
Kaltwasser Provokationstest:
- - Einrichtung zur automatischen Aufrechterhaltung der Temperatur über die komplette Messzeit, auch bei mehreren Probanden (Thermostat)
- - Kalibriertes Messgerät (zB Infrarotthermometer)
- - Untersuchungsperson vor der Untersuchung in unbelastetem Zustand (noch keine Vibrationsbelastung am Tag der Untersuchung)
- - Messung an den Fingerkuppen vor Untersuchungsbeginn
- - Wassertemperatur 10,0 - 12,0°C
- - Kaltwasserexposition: 2,0 Minuten
- - Danach vorsichtiges Abtrocknen unter Vermeiden von Reibung
- - Im Abstand von 5 Minuten jeweils Temperaturmessungen an allen Fingerkuppen
- - Dazwischen körperliche Ruhe (Sitzen), die Finger und Hände dürfen nicht gerieben werden
- - Schriftliche Registrierung der Temperaturmessungen an allen Fingern
- - 15,0 Minuten nach dem Ende der Kaltwasserexposition Aufzeichnung der Temperaturen an allen zehn Fingern
Handlungsbedarf besteht, wenn 15,0 Minuten nach dem Ende der Kaltwasserexposition an zumindest einem Finger die Temperatur von 28 °C noch nicht wieder erreicht ist oder wenn er/sie eine mit der Vibrationseinwirkung im Zusammenhang stehende Gesundheitsschädigung oder Anzeichen einer drohenden Gesundheitsschädigung im Rahmen der übrigen klinischen Untersuchungen festgestellt wird.
Artikel III
Änderung der Bauarbeiterschutzverordnung
Aufgrund §§ 65 und 66 Abs. 1 des Bundesgesetzes über Sicherheit und Gesundheitsschutz bei der Arbeit (ArbeitnehmerInnenschutzgesetz - ASchG), BGBl. Nr. 450/1994, zuletzt geändert durch das Bundesgesetz BGBl. I Nr. 159/2001, wird die Bauarbeiterschutzverordnung (BauV), BGBl. Nr. 340/1994, zuletzt geändert durch die Verordnung BGBl. II Nr. 17/2005, wie folgt geändert:
1. In § 17 Abs. 1 entfallen das Wort „Lärm“ sowie der davorstehende Beistrich.
2. § 18 entfällt.
3. § 24 Abs. 1, Abs. 2 letzter Satz sowie Abs. 4 und 5 entfallen.
Bartenstein
Lizenziert vom RIS (ris.bka.gv.at - CC BY 4.0 DEED)
