321. Verordnung des Bundesministers für Gesundheit über Hygiene in Bädern, Warmsprudelwannen (Whirlwannen), Saunaanlagen, Warmluft- und Dampfbädern und Kleinbadeteichen (Bäderhygieneverordnung 2012 - BHygV 2012)
Auf Grund des § 15 des Bäderhygienegesetzes (BHygG), BGBl. Nr. 254/1976, zuletzt geändert durch das Bundesgesetz BGBl. I Nr. 42/2012, wird - soweit es sich um der Genehmigungspflicht gemäß § 74 der Gewerbeordnung 1994 unterliegende Bäder, Warmsprudelwannen (Whirlwannen), Saunaanlagen, Warmluft- und Dampfbäder und Kleinbadeteiche handelt, im Einvernehmen mit dem Bundesminister für Wirtschaft, Familie und Jugend - verordnet:
Inhaltsverzeichnis
1. Abschnitt | |
§ 1 | Anwendungsbereich |
§ 2 | Begriffsbestimmungen |
2. Abschnitt | |
A. Allgemeine Anforderungen an Becken | |
§ 3 | Beschaffenheit von Beckenwänden und -böden |
§ 4 | Beckendurchströmung |
B. Anforderungen an die Wasserbeschaffenheit in Becken | |
§ 5 | Füllwasser |
§ 6 | Wasser aus der Wasseraufbereitungsanlage vor Chlorung |
§ 7 | Beckenwasser |
§ 8 | Untersuchungsmethoden |
C. Wasseraufbereitungsanlagen und Aufbereitungsverfahren bei Becken | |
§§ 9 bis 13 | Wasseraufbereitungsanlagen |
§ 14 | Zugelassene Aufbereitungsverfahren |
§§ 15 bis 21 | Berechnung der Förderströme |
§ 22 | Berechnung der Zuschläge zum Förderstrom |
§ 23 | Berechnung der Nennbelastung |
§ 24 | Wasseraufbereitung bei Tauchbecken |
§ 25 | Wasseraufbereitung bei Wat-, Tret- und Durchschreitebecken |
§§ 26 bis 28 | Filter und Filtration |
§ 29 | Anforderungen an die Anlagen zur Desinfektion des Beckenwassers |
§ 30 | Anforderungen an die Ozon-Oxidationsstufe |
D. Hygienisch-technische Betriebsführung von Becken | |
§ 31 | Beckenentleerung, -reinigung, -desinfektion |
§ 32 | Füllwasserzusatz |
§ 33 | Betrieb |
§§ 34 und 35 | Betrieb mit reduziertem Förderstrom |
§ 36 | Spülung der Filteranlage |
§ 37 | Reinigung der Überlaufrinne |
§ 38 | Probenahmehähne |
§§ 39 und 40 | Desinfektionsmittel und weitere zulässige Chemikalien |
E. Innerbetriebliche Kontrolle von Becken | |
§ 41 | Betriebstagebuch |
§§ 42 und 43 | Jährlich einzuholendes wasserhygienisches Gutachten |
F. Behördliche Kontrolle | |
§ 44 | Überprüfungen vor Erteilung der Betriebsbewilligung |
§ 45 | Kontrolle während des Betriebs |
3. Abschnitt | |
§ 46 | A. Allgemeine Anforderungen an Warmsprudelwannen (Whirlwannen) |
B. Anforderungen an die Wasserbeschaffenheit in Warmsprudelwannen (Whirlwannen) | |
§ 47 | Füllwasser |
§ 48 | Wannenwasser |
§ 49 | Untersuchungsmethoden |
§ 50 | Zusatzstoffe zum Badewasser |
C. Desinfektion und hygienisch-technische Betriebsführung von Warmsprudelwannen (Whirlwannen) | |
§ 51 | Desinfektion des Wannenkreislaufs |
§ 52 | Reinigung der Wannenoberfläche |
§ 53 | Dosieranlage |
§ 54 | Desinfektionsmittel |
§ 55 | Wiederinbetriebnahme nach längerem Stillstand |
D. Innerbetriebliche Kontrolle von Warmsprudelwannen (Whirlwannen) | |
§ 56 | Betriebstagebuch |
§§ 57 und 58 | Jährlich einzuholendes wasserhygienisches Gutachten |
E. Behördliche Kontrolle | |
§ 59 | Überprüfung vor Erteilung der Betriebsbewilligung |
§ 60 | Kontrolle während des Betriebes |
4. Abschnitt | |
§§ 61 bis 64 | A. Allgemeine Anforderungen und hygienisch-technische Betriebsführung für Saunaanlagen, Warmluft- und Dampfbäder |
§ 65 | B. Innerbetriebliche Kontrolle von Saunaanlagen, Warmluft- und Dampfbädern |
§ 66 | C. Behördliche Kontrolle |
5. Abschnitt | |
§ 67 | A. Allgemeine Anforderungen an Bäder an Oberflächengewässern |
§ 68 | B. Behördliche Kontrolle |
6. Abschnitt | |
A. Allgemeine Anforderungen an Kleinbadeteiche | |
§ 69 | Kleinbadeteiche |
§ 70 | Badebereich und Regenerationsbereich |
§ 71 | Zusätzliche technische Einrichtungen |
§ 72 | Nennbelastung |
§ 73 | Mittlere Wassertiefe, Mindestwassertiefe, Flachwasserbereiche, Attraktionen |
§ 74 | Zutrittsbereiche |
§ 75 | Möglichkeit der Zuspeisung von Füllwasser |
§ 76 | Wasservögel, Fische |
B. Anforderungen an die Wasserbeschaffenheit in Kleinbadeteichen | |
§ 77 | Füllwasser |
§ 78 | Speisung aus Brunnen oder Quellen |
§ 79 | Speisung aus oberirdischen Zuflüssen |
§ 80 | Badewasser eines Kleinbadeteiches |
§ 81 | Untersuchungsmethoden |
C. Hygienisch-technische Betriebsführung von Kleinbadeteichen | |
§ 82 | Badeordnung und Hinweise für Badegäste |
D. Innerbetriebliche Kontrolle von Kleinbadeteichen | |
§ 83 | Betriebstagebuch |
§§ 84 und 85 | Jährlich einzuholendes wasserhygienisches Gutachten |
E. Behördliche Kontrolle | |
§ 86 | Überprüfungen vor Erteilung der Betriebsbewilligung |
§ 87 | Kontrolle während des Betriebs |
7. Abschnitt | |
§ 88 | Gewährleistung eines hygienisch einwandfreien Betriebs |
§ 89 | Begehbare Flächen |
§ 90 | Wände |
§ 91 | Einrichtungsgegenstände und Einbauten |
§ 92 | Umkleidegelegenheiten |
§§ 93 und 94 | Nassräume, Duschanlagen, WC-Anlagen |
§ 95 | Erste-Hilfe-Raum |
§ 96 | Badeordnung |
8. Abschnitt | |
§ 97 | Vorschreibung weitergehender Maßnahmen |
§ 98 | Bäderhygienerechtlich bewilligte und gewerberechtlich genehmigte Hallenbäder und künstliche Freibäder |
§ 99 | Wasserbeschaffenheit von Becken (Badewassererwärmung) |
§ 100 | Bäderhygienerechtlich bewilligte und gewerberechtlich genehmigte Saunaanlagen |
§ 101 | Gewerberechtlich nicht genehmigungspflichtige Anlagen |
§ 102 | Nach den Rechtsvorschriften auf den Gebieten der natürlichen Heilvorkommen und des Kurortewesens oder der Heil- und Pflegeanstalten bewilligte Bäder und Warmsprudelwannen (Whirlwannen) |
§ 103 | Bäderhygienerechtlich bewilligte und gewerberechtlich genehmigte Warmsprudelbäder (Whirl Pools), Warmluft- und Dampfbäder sowie Kleinbadeteiche |
§ 104 | Bäderhygienerechtlich bewilligte Warmsprudelwannen (Whirlwannen) |
§ 105 | Gewerberechtlich genehmigte Warmsprudelwannen (Whirlwannen) |
§§ 106 und 107 | Inkrafttreten |
Anlage 1 | |
Analyse- und Prüfverfahren für Wasser von Becken und Warmsprudelwannen (Whirlwannen) | |
Anlage 2 | |
Zugelassene Flockungsmittel | |
Anlage 3 | |
Zugelassene Desinfektionsmittel | |
Anlage 4 | |
Zugelassene Oxidationsmittel | |
Anlage 5 | |
Zugelassene Mittel zur pH-Wert-Einstellung | |
Anlage 6 | |
Analyse- und Prüfverfahren für Kleinbadeteiche | |
Anlage 7 | |
Hinweis für Badegäste an Kleinbadeteichen | |
Anlage 8 | |
Anforderungen an den Ortsbefund für wasserhygienische Gutachten gemäß § 14 Abs. 2 ff BHygG über die Beschaffenheit des Wassers von Becken | |
Anlage 9 | |
Anforderungen an den Ortsbefund für wasserhygienische Gutachten gemäß § 14 Abs. 2 ff BHygG über die Beschaffenheit des Wassers von Warmsprudelwannen (Whirlwannen) | |
Anlage 10 | |
Anforderungen an den Ortsbefund für wasserhygienische Gutachten gemäß § 14 Abs. 2 ff BHygG über die Beschaffenheit des Wassers von Kleinbadeteichen | |
1. Abschnitt
Allgemeines
Anwendungsbereich
§ 1. (1) Diese Verordnung ist, soweit die Abs. 2 bis 4 nichts anderes bestimmen, auf Bäder, Warmsprudelwannen (Whirlwannen), Saunaanlagen, Warmluft- und Dampfbäder, Bäder an Oberflächengewässern und Kleinbadeteiche anzuwenden.
(2) Die §§ 44, 59 und 86 sind auf gewerbliche Betriebsanlagen, die der Genehmigungspflicht gemäß § 74 der Gewerbeordnung 1994 unterliegen, nicht anzuwenden. Mit Ausnahme des jeweils ersten Satzes sind die §§ 45, 60, 66, 68 und 87 auf gewerbliche Betriebsanlagen, die der Genehmigungspflicht gemäß § 74 der Gewerbeordnung 1994 unterliegen, im Rahmen der Überwachungsbestimmungen gemäß § 338 der Gewerbeordnung 1994 sinngemäß anzuwenden.
(3) Diese Verordnung ist - mit Ausnahme der §§ 44 und 86 und der sinngemäßen Anwendung der §§ 45, 60 und 66 im Rahmen der sanitären Aufsicht - auf Becken und Warmsprudelwannen (Whirlwannen), die mit Wasser aus einem ortsgebundenen natürlichen Heilvorkommen befüllt und in Einrichtungen auf den Gebieten der natürlichen Heilvorkommen und des Kurortewesens oder der Heil- und Pflegeanstalten betrieben werden, mit der Maßgabe anzuwenden, dass Abweichungen gegenüber dieser Verordnung zulässig sind, sofern sie durch die natürliche Beschaffenheit des ortsgebundenen natürlichen Heilvorkommens bedingt sind und das Badewasser eine Beschaffenheit aufweist, dass keine Gefährdung der Gesundheit der Badenden, insbesondere in hygienischer Hinsicht, zu erwarten ist.
(4) Diese Verordnung ist auf Bäder, Warmsprudelwannen (Whirlwannen), Saunaanlagen, Warmluft- und Dampfbäder und Kleinbadeteiche nicht anzuwenden, die dazu bestimmt sind, im Rahmen einer Wohnanlage mit weniger als sechs Wohneinheiten gemeinschaftlich betrieben zu werden.
Begriffsbestimmungen
§ 2. Im Sinne dieser Verordnung bedeutet
- 1. Bäder: Hallenbäder, künstliche Freibäder, Warmsprudelbäder (Whirl Pools) und Bäder an Oberflächengewässern;
- 2. Hallenbad: Bad mit einem oder mehreren Becken in einem Gebäude;
- 3. Künstliches Freibad: Bad mit einem oder mehreren Becken im Freien;
- 4. Becken: alle Beckenarten und -formen, unabhängig von geometrischen Definitionen, wie Schwimm- und Badebecken, Mehrzweckbecken, Sprungbecken, Tauchbecken, Warmsprudelbecken (Whirl Pools), Durchschreitebecken, Wat- und Tretbecken, Therapiebecken, Kinderplanschbecken und Landebecken für Wasserrutschen, die für die Benutzung durch mehrere Personen bestimmt sind; diese umfassen auch die erforderlichen Anlagen zur Aufbereitung und Desinfektion des Beckenwassers;
- a) Freibecken: Becken im Freiluftbereich;
- b) Hallenbecken: Becken, das sich in einem Gebäude befindet;
- c) Kinderplanschbecken: Becken oder Beckenteile, die vor allem zur Nutzung durch Kinder vorgesehen sind und eine Wassertiefe von ≤ 0,4 m aufweisen;
- d) Mehrzweckbecken: Becken, in denen Wassertiefen bis 1,35 m als auch über 1,35 m vorhanden sind;
- e) Landebecken für Wasserrutschen: eigenständige Becken, in welchen eine oder mehrere Wasserrutschen enden, auch wenn sie als flache Auslaufbereiche ausgeführt sind;
- f) Salzwasserbecken: Becken mit Beckenwasser, das Natriumchlorid in einer Konzentration von mehr als 1 g/l aufweist;
- g) Tauchbecken: Becken mit einer Wassertemperatur ≤ 20° C, das zur Abkühlung dient;
- h) Variobecken: Becken mit höhenverstellbarem Zwischenboden, durch den die Wassertiefe ganz oder in Teilbereichen je nach Nutzung variiert werden kann;
- i) Warmbecken: Becken mit einer Beckenwassertemperatur > 32° C;
- j) Warmsprudelbecken (Whirl Pools): Warmbecken, bei welchen in einem wesentlichen Teil des Beckenkörpers mittels Düsen Luft oder ein Luft-Wasser-Gemisch eingepresst wird;
- k) Watbecken, Tretbecken, Durchschreitebecken: Becken mit einer Wassertiefe von maximal 0,6 m, vornehmlich zum Benetzen und/oder Reinigen der Füße;
- l) Wellenbecken: Becken mit Einrichtungen zur Wellenerzeugung;
- m) Therapiebecken: Becken, die in einer Einrichtung auf den Gebieten der natürlichen Heilvorkommen und des Kurortewesens oder der Heil- und Pflegeanstalten betrieben und für medizinisch-therapeutische Zwecke verwendet werden;
- n) künstliche Bachläufe: sind Becken, bei denen ein Niveauunterschied zwischen den Zuläufen und den Abläufen besteht, sodass sie überwiegend Fließstrecken mit turbulenter Wasserströmung aufweisen. Aufgrund des Niveauunterschieds zwischen den Zuläufen und den Abläufen läuft das Badewasser bei Stillstand des Zuflusses vollständig aus;
- 5. Attraktionen: Einbauten in oder an Becken mit Wasser- und/oder Lufteffekten; insbesondere
- a) Wasserrutsche: Gerät mit einer geneigten Rutschfläche, auf der der Benutzer eine Höhendistanz überbrückt, indem er mit Wasser als reibungsverminderndes Medium entweder frei oder mit Hilfsmitteln, je nach Konstruktion, rutscht;
- b) Wasserspielgarten: Becken, in dem Spielplatzgeräte aufgestellt sind;
- c) Kleinräumige Attraktionen: Attraktionen, die überwiegend für die Benutzung durch eine Person vorgesehen sind, wie Nackenduschen, Schwallduschen, Geysire, Massagedüsen, aber auch Wasserrutschen mit einer Starthöhe von bis zu 2 m;
- d) Großräumige Attraktionen: Attraktionen, die die Qualität des Beckenwassers stark beeinflussen, wie Wasserrutschen mit einer Starthöhe über 2 m, Strömungskanäle, Wellenanlagen;
- 6. Kleinbadeteiche: Künstlich angelegte, gegenüber dem Grundwasser abgedichtete, mit oder ohne technische(n) Einrichtungen versehene Teiche, deren Oberfläche kleiner als 1,5 ha ist und welche zum Baden bestimmt sind;
- 7. Füllwasser: Wasser, mit dem Becken oder Kleinbadeteiche gefüllt und die laufenden Wasserverluste ausgeglichen werden und welches zur Wassererneuerung zugesetzt wird;
- 8. Aufbereitetes Wasser: über die Wasseraufbereitungsanlage gefördertes Wasser vor Eintritt in das Becken;
- 9. Beckenwasser: Wasser, das sich im Becken befindet;
- 10. Badewasser: das in der Badeanlage zirkulierende Wasser;
- 11. Wasserfläche: Oberfläche des Wassers im Becken, die für Badegäste bestimmungsgemäß benutzbar ist, einschließlich der Einstiegsbereiche;
- 12. Nennbelastung für Becken: Personenanzahl im Becken je Stunde, für die die Reinigungsleistung der Wasseraufbereitungsanlage ausgelegt ist;
- 13. Nennbelastung für Kleinbadeteiche: höchstzulässige Anzahl an Badegästen pro Tag;
- 14. Freies Chlor: Chlor, das im Wasser als hypochlorige Säure, Hypochlorit-Ion oder als gelöstes elementares Chlor vorliegt;
- 15. Gebundenes Chlor: Anteil des Gesamtchlors, in Form von Chloraminen und organischen Chloraminen;
- 16. Gesamtchlor: Chlor, das als freies Chlor, als gebundenes Chlor oder in beiden Formen vorliegt;
- 17. Förderstrom: Badewasser, das über die Aufbereitungsanlage geführt wird, angegeben in m³ pro Stunde;
- 18. Umwälzzeit: Zeit, die für das einmalige Umwälzen des Beckenvolumens benötigt wird;
- 19. Betriebszeit für Becken: Zeitraum, in dem Becken, ausgenommen Warmsprudelbecken (Whirl Pools) mit ausgelagertem Wasservolumen, und Filter mit Wasser gefüllt sind und die Aufbereitungsanlage in Betrieb ist;
- 20. Betriebszeit für Kleinbadeteiche: Zeitraum, in dem der Kleinbadeteich mit Wasser gefüllt ist und für den Badebetrieb zur Verfügung steht;
- 21. Öffnungszeit: jener Teil der Betriebszeit, der für die Benützung durch Badegäste zur Verfügung steht;
- 22. Ozon-Oxidationsstufe: Verfahrensschritt zur oxidativen Wasserbehandlung, bestehend aus den wesentlichen Funktionseinheiten Ozonerzeuger, Einmischvorrichtung, Reaktionsbehälter und Aktivkorn-Kohlefilter;
- 23. Warmsprudelwannen (Whirlwannen): mit einer Wasser und/oder Luft umwälzenden Einrichtung ausgestattete Wannen, die in Betrieb ein Wasservolumen von mehr als 30 Liter aufweisen und zur Teil- und/oder Ganzkörperanwendung bestimmt sind;
- 24. Sachverständige der Hygiene: Institutionen und Personen gemäß § 14 Abs. 3 BHygG.
2. Abschnitt
Becken
A. Allgemeine Anforderungen an Becken
Beschaffenheit von Beckenwänden und -böden
§ 3. Becken müssen über Wände und Böden verfügen, die leicht zu reinigen und zu desinfizieren sind und die Vermehrung von Mikroorganismen nicht begünstigen. Im Bereich mit einer Wassertiefe bis 1,35 m müssen Beckenböden darüber hinaus rutschhemmend beschaffen sein.
Beckendurchströmung
§ 4. (1) Die Funktionsteile der Beckendurchströmung müssen so angeordnet sein, dass das Wasser in allen Teilen des Beckens gleichmäßig und ausreichend erneuert wird.
(2) Für die Reinigung oberflächennaher Bereiche sind 100% des Förderstroms kontinuierlich und gleichmäßig, soweit Abs. 3 nichts anderes bestimmt, über eine allseitige Überlaufkante abzuführen, die auch Nischen, Grotten und Einstiege einschließt.
(3) Von einer allseitigen Überlaufkante darf abgesehen werden bei
- 1. Wat-, Tret- und Durchschreitebecken,
- 2. niveauunterschiedlichen Kinderplanschbecken in den oberen Teilbecken, wenn
- a) eine Überlaufkante in das nächste untere Becken vorhanden ist,
- b) die Teilbecken täglich geleert und gereinigt werden und
- c) das unterste Becken, mit Ausnahme der Überlaufkante vom oberen Teilbecken, über eine allseitige Überlaufkante verfügt,
- 3. Wänden von Einbauten in Becken, sofern die Gesamtlänge der wasserberührenden Seiten dieser Einbauten nicht mehr als 20% der allseitigen Überlaufkante beträgt und die Flächen dieser Einbauten leicht zu reinigen und zu desinfizieren sind,
- 4. Landebecken für Wasserrutschen mit Sicherheitsauslauf und
- 5. künstlichen Bachläufen.
(4) Die Entwässerung der Überlaufrinne ist so auszuführen, dass diese bei Reinigung und Desinfektion des Beckenumganges und/oder der Überlaufrinne auf das Kanalsystem umgeschaltet werden kann.
(5) Bei Hubböden muss gewährleistet sein, dass die Beckendurchströmung nicht beeinträchtigt wird und überall eine einwandfreie Reinigung möglich ist; zu diesem Zweck müssen Hubböden entweder aufklappbar oder mit genügend großen Luken versehen sein.
B. Anforderungen an die Wasserbeschaffenheit in Becken
Füllwasser
§ 5. (1) Das Füllwasser muss folgenden Anforderungen entsprechen:
- 1. Es muss in seuchenhygienischer Hinsicht einwandfrei sein; dies gilt im Allgemeinen als eingehalten, wenn folgende mikrobiologische Anforderungen erfüllt sind:
- a) Koloniebildende Einheiten bei 37° C Bebrütungstemperatur: die Konzentration darf 100 in 1 ml nicht überschreiten,
- b) Escherichia coli: darf in 100 ml nicht nachweisbar sein,
- c) Enterokokken: dürfen in 100 ml nicht nachweisbar sein,
- d) Pseudomonas aeruginosa: darf in 100 ml nicht nachweisbar sein und
- e) Legionellen: dürfen in 100 ml nicht nachweisbar sein; eine Untersuchung darauf ist nur dann durchzuführen, wenn die Füllwassertemperatur gemessen an der Übernahmestelle über 20° C liegt.
- 2. Es dürfen in chemischer Hinsicht
- a) keine Substanzen in Konzentrationen enthalten sein, die die Gesundheit der Badegäste gefährden können; dies gilt im Allgemeinen als eingehalten, wenn:
- aa) das Füllwasser aus einer Wasserversorgungsanlage gemäß Trinkwasserverordnung, BGBl. II Nr. 304/2001, in der jeweils geltenden Fassung, stammt oder das Füllwasser, das nicht aus einer Wasserversorgungsanlage gemäß Trinkwasserverordnung stammt, einer Mindestuntersuchung gemäß der Trinkwasserverordnung unterzogen wurde und deren Anforderungen entspricht; die Mindestuntersuchung ist bei Vorliegen spezieller geologischer Verhältnisse oder anderem begründeten Verdacht durch weitere Parameter zu ergänzen,
- bb) der Kaliumpermanganatverbrauch (KMnO4) 11 mg/l nicht überschreitet oder der TOC bei einem Chloridgehalt von mehr als 500 mg/l einen Wert von 2,0 mg/l nicht überschreitet,
- b) keine Inhaltsstoffe in Konzentrationen enthalten sein, die die Aufbereitung beeinträchtigen.
(2) Bei begründetem Verdacht sind weitere mikrobiologische und chemische Parameter in die Untersuchungen mit einzubeziehen.
(3) Sofern das Wasser den Anforderungen gemäß Abs. 1 nicht entspricht, ist von der oder dem Sachverständigen der Hygiene eine Bewertung vorzunehmen, ob die Abweichungen für eine Eignung als Füllwasser toleriert werden können oder eine Aufbereitung des Wassers notwendig ist.
Wasser aus der Wasseraufbereitungsanlage vor Chlorung
§ 6. (1) Das über die Wasseraufbereitungsanlage geförderte Wasser muss nach Filtration und vor Chlordosierung folgenden Anforderungen entsprechen:
- 1. In bakteriologischer Hinsicht:
- a) Pseudomonas aeruginosa: darf in 100 ml nicht nachweisbar sein,
- b) Legionellen: dürfen in 100 ml nicht nachweisbar sein; eine Untersuchung darauf ist durchzuführen, wenn die Temperatur des Beckenwassers über 30° C liegt oder die Temperatur des Beckenwassers über 25° C liegt und zusätzlich aerosolbildende Attraktionen wie Luftsprudler, Wasserfälle, Geysire, Fontänten, Nackenduschen oder dergleichen im Becken vorhanden sind.
- 2. In chemisch-physikalischer Hinsicht:
- a) der Kaliumpermanganatverbrauch (KMnO4) darf einen Wert von 7 mg/l oder der TOC bei einem Chloridgehalt von mehr als 500 mg/l einen Wert von 1,3 mg/l nicht überschreiten,
- b) die Konzentration an Ozon darf, gemessen nach dem Aktivkohlefilter, 0,05 mg/l nicht überschreiten.
(2) Die Verwendung von Sonnenkollektoren ist nur mittels getrenntem Kreislauf zulässig.
Beckenwasser
§ 7. (1) Beckenwasser muss folgenden Anforderungen entsprechen:
- 1. Es muss in seuchenhygienischer Hinsicht einwandfrei sein; dies gilt im Allgemeinen als eingehalten, wenn folgende mikrobiologische Anforderungen erfüllt sind:
- a) Koloniebildende Einheiten: bei 37° C Bebrütungstemperatur: die Konzentration darf 100 in 1 ml nicht überschreiten,
- b) Escherichia coli: darf in 100 ml nicht nachweisbar sein,
- c) Enterokokken: dürfen in 100 ml nicht nachweisbar sein,
- d) Pseudomonas aeruginosa: darf in 100 ml nicht nachweisbar sein und
- e) Legionellen: dürfen in 100 ml nicht nachweisbar sein; eine Untersuchung darauf ist durchzuführen, wenn die Temperatur des Beckenwassers über 30° C liegt oder die Temperatur des Beckenwassers über 25° C liegt und zusätzlich aerosolbildende Attraktionen wie Luftsprudler, Wasserfälle, Geysire, Fontänten, Nackenduschen oder dergleichen im Becken vorhanden sind.
- 2. In chemisch-physikalischer Hinsicht:
- a) der Kaliumpermanganatverbrauch (KMnO4) darf einen Wert von 11 mg/l oder der TOC bei einem Chloridgehalt von mehr als 500 mg/l einen Wert von 2,0 mg/l nicht überschreiten,
- b) der pH-Wert darf nicht weniger als 6,5 und nicht mehr als 7,8, in Warmsprudelbecken (Whirl Pools) nicht weniger als 6,5 und nicht mehr als 7,4 betragen,
- c) die Konzentration an freiem Chlor
- aa) muss in allen Beckenteilen
- bb) muss in Tauch-, Wat-, Tret- und Durchschreitebecken mindestens 0,6 mg/l betragen und
- cc) darf in Hallenbädern 1,2 mg/l und in künstlichen Freibädern und Tauch-, Wat-, Tret- und Durchschreitebecken 2,0 mg/l nicht überschreiten,
- d) die Konzentration an gebundenem Chlor darf höchstens 0,3 mg/l betragen,
- e) die Konzentration an Chlordioxid beim Verfahren gemäß § 14 Z 3 darf 0,3 mg/l nicht überschreiten, die Konzentration an Chlorit beim Verfahren gemäß § 14 Z 3 darf 0,1 mg/l nicht überschreiten,
- f) der Gehalt an Nitraten darf nicht mehr als 30 mg/l über dem Wert des Füllwassers (§ 5) liegen,
- g) das Beckenwasser muss klar und frei von Flockungsmittelresten sein, der Gehalt an Aluminium darf 0,2 mg/l nicht überschreiten, der Gehalt an Eisen darf 0,05 mg/l nicht überschreiten,
- h) der Gehalt an Chloriden darf
- aa) in Hallenbecken beim Verfahren gemäß § 14 Z 1 nicht mehr als 200 mg/l, bei den Verfahren gemäß § 14 Z 2 und Z 3 nicht mehr als 300 mg/l,
- bb) in Freibecken nicht mehr als 350 mg/l,
- cc) in Warmsprudelbecken (Whirl Pools) nicht mehr als 100 mg/l (in Warmsprudelbecken, die über einen gemeinsamen Wasseraufbereitungskreislauf mit einem Hallen- oder Freibecken betrieben werden, gilt der jeweilige Höchstwert gemäß aa) oder bb))
- dd) in Salzwasserbecken nicht mehr als 24,3 g/l (entspricht einer Konzentration an Natriumchlorid von maximal 40 g/l) betragen. Auf Grund der verwendeten Salzqualität muss sichergestellt sein, dass bei der Endkonzentration im Beckenwasser keine Beeinträchtigung der Aufbereitung und Desinfektion eintreten kann und keine Stoffe in Konzentrationen vorhanden sind, die die Gesundheit der Badegäste beeinträchtigen können,
- i) der Gehalt an Trihalogenmethanen (THM) soll nicht mehr als 20 µg/l betragen und darf 100 µg/l nicht überschreiten (berechnet als Chloroform),
- j) die Redoxspannung, kontinuierlich gemessen gegen Ag/AgCl (3,5 m KCl)-Elektrode (+25° C) muss
- aa) bei den Verfahren gemäß § 14 Z 1 und 2 mindestens 700 mV betragen; bei Füllwasser aus einem ortsgebundenen natürlichen Heilvorkommen und Salzwasserbecken, die bromid- oder jodidhältig sind oder mehr als 5 000 mg/l Chlorid enthalten, gelten diese Werte nicht; hier sind experimentell jene Werte zu bestimmen, die eine vergleichbare Desinfektionsleistung sicherstellen,
- bb) beim Verfahren gemäß § 14 Z 3 mindestens 720 mV betragen.
- 3) Es dürfen in chemischer Hinsicht
- a) keine Substanzen in Konzentrationen enthalten sein, die die Gesundheit der Badegäste gefährden können und
- b) keine Inhaltsstoffe in Konzentrationen enthalten sein, die die Aufbereitung beeinträchtigen.
- im pH-Bereich bis 7,4 mindestens 0,3 mg/l, in Warmsprudelbecken (Whirl Pools) mindestens 0,6 mg/l betragen,
- im pH-Bereich über 7,4 bis 7,8 mindestens 0,5 mg/l betragen,
(2) Bei begründetem Verdacht sind weitere mikrobiologische und chemische Parameter in die Untersuchungen mit einzubeziehen.
Untersuchungsmethoden
§ 8. Im Untersuchungsbefund muss die jeweils angewandte analytische Methode angegeben werden. Angewendet werden dürfen nur Methoden, die in Anlage 1 angeführt sind oder diesen Analyse- und Prüfverfahren entsprechen.
C. Wasseraufbereitungsanlagen und Aufbereitungsverfahren bei Becken
Wasseraufbereitungsanlagen
§ 9. (1) Das Beckenwasser muss mit einer Wasseraufbereitungsanlage aufbereitet werden, die die im 2. Abschnitt, Teil B, geforderte Wasserbeschaffenheit sicherstellt und den Anforderungen nach Abs. 2 und den §§ 10 bis 13 entspricht.
(2) Wasseraufbereitungsanlagen umfassen Anlagenteile wie Ausgleichsbecken, Grobfilter, Umwälzpumpen, Durchflussmengenmesser für den Förderstrom, Flockungsmitteldosier- und Flockungsmittelvermischungseinrichtungen, Filteranlagen, Chlorlöseeinrichtungen, Chlordosiergeräte, Einrichtungen zur pH-Wert-Korrektur einschließlich Mess- und Regelgeräten sowie Einrichtungen, die für die Wasserführung in Becken erforderlich sind; beim Verfahren gemäß § 14 Z 2 zusätzlich die Anlagenteile der Ozon-Oxidationsstufe wie Ozonerzeuger, Vermischungseinrichtung, Reaktionsbehälter und Aktivkohlefilter (Entozonungsfilter).
§ 10. Wenn mehrere Becken an einer Wasseraufbereitungsanlage angeschlossen sind, muss jedes Becken über eine eigene Chlordosierstelle verfügen.
§ 11. Zur Messung des Förderstroms muss für jedes Becken ein einfach ablesbares Messgerät eingebaut sein.
§ 12. Zur Messung und Regelung der Konzentration an freiem Chlor muss für jedes Becken zumindest ein Mess- und Regelgerät betrieben werden. Ausgenommen davon sind im Durchlaufbetrieb betriebene Tauchbecken, Wat- Tret- und Durchschreitebecken.
§ 13. Zur Messung und Regelung des pH-Wertes muss für jeden Aufbereitungskreislauf zumindest ein Mess- und Regelgerät betrieben werden.
Zugelassene Aufbereitungsverfahren
§ 14. Zur Aufbereitung des Beckenwassers sind folgende Aufbereitungsverfahren zugelassen:
- 1. Flockung - Filtration - Desinfektion (Chlorung);
- 2. a) Flockung - Filtration - Ozon-Oxidationsstufe (Ozonung und Aktivkohlefiltration) im Vollstrom - Desinfektion (Chlorung);
- b) Flockung - Filtration - Ozon-Oxidationsstufe (Ozonung und Aktivkohlefiltration) im Teilstrom - Desinfektion (Chlorung);
- 3. Flockung - Filtration - Desinfektion (Chlor-Chlordioxidverfahren unter Zugabe einer wässrigen Chloritlösung, hergestellt nach dem P.-Berger-Verfahren).
Berechnung der Förderströme
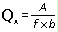
§ 15. (1) Der Gesamtförderstrom QG besteht aus dem Förderstrom QA und der Summe der jeweiligen Zuschläge QZ.
(2) Der Förderstrom QA für ein Becken oder einen Beckenteil wird wie folgt berechnet:
Es bedeutet:
QG = gesamter Förderstrom, in m³/h
QA = Förderstrom, berechnet aufgrund der Beckenart und -abmessungen und dem jeweiligen Aufbereitungsverfahren, in m³/h
QZ = Zuschlag zum Förderstrom, berechnet aufgrund der Attraktionen gemäß § 22, in m³/h
= Wasserfläche des Beckens in m²
(3) Der Belastungsfaktor f hängt von der Wassertiefe des Beckens ab und beträgt
- 1. bei einer Wassertiefe bis 1,35 m: f = 3;
- 2. bei einer Wassertiefe über 1,35 m: f = 5.
(4) Die spezifische Belastung b ist der Kennwert für die Leistung einer Wasseraufbereitungsanlage. Der Wert der spezifischen Belastung b beträgt
- 1. beim Aufbereitungsverfahren gemäß § 14 Z 1: b = 0,5;
- 2. beim Aufbereitungsverfahren gemäß § 14 Z 2 lit. a: b = 0,6;
- 3. beim Aufbereitungsverfahren gemäß § 14 Z 2 lit. b: b = 0,5;
- 4. beim Aufbereitungsverfahren gemäß § 14 Z 3: b = 0,5.
(5) Ergibt sich aus der Berechnung des Förderstroms aufgrund eines tiefen Beckens (z. B. eines Sprungbeckens) eine Umwälzzeit von mehr als sechs Stunden, so darf dennoch eine Umwälzzeit von sechs Stunden nicht überschritten werden.
§ 16. Bei Variobecken ist der Förderstrom nach der Formel für eine Wassertiefe bis 1,35 m zu berechnen.
§ 17. Bei Kinderplanschbecken ist der Förderstrom nach der Formel für eine Wassertiefe bis 1,35 m zu berechnen. Eine dreimalige Umwälzung des gesamten Beckeninhalts pro Stunde darf jedoch nicht unterschritten werden.
§ 18. (1) Bei Warmbecken ist der Förderstrom bei den Aufbereitungsverfahren gemäß § 14 Z 1, Z 2 lit. b und Z 3 nach der Formel
und beim Aufbereitungsverfahren gemäß § 14 Z 2 lit. a nach der Formel
zu berechnen.
(2) Ergibt sich aus der Berechnung des Förderstroms für ein Warmbecken mit einer Wasserfläche größer als 40 m² eine Umwälzzeit von mehr als zwei Stunden, so darf dennoch eine Umwälzzeit von zwei Stunden nicht überschritten werden.
(3) Ergibt sich aus der Berechnung des Förderstromes für ein Warmbecken mit einer Wasserfläche kleiner gleich 40 m² eine Umwälzzeit von mehr als einer Stunde, so darf dennoch eine Umwälzzeit von einer Stunde nicht überschritten werden.
§ 19. (1) Bei Mehrzweckbecken ist der Förderstrom für jeden Beckenabschnitt gesondert zu berechnen. Die Wasseraufbereitungsanlage für solche Becken ist für die Summe aller Förderströme auszulegen. Die errechneten Förderströme sind dem jeweiligen Bereich entsprechend zuzuführen.
(2) Bei Mehrzweckbecken darf die gesonderte Zuführung entfallen, wenn
- 1. der Flächenbereich mit einer Wassertiefe ≤ 1,35 m einen Anteil von 20% der Gesamtwasserfläche nicht überschreitet;
- 2. der Flächenbereich mit einer Wassertiefe von > 1,35 m einen Anteil von 20% der Gesamtwasserfläche nicht überschreitet und der Förderstrom QA für eine Wassertiefe kleiner gleich 1,35 m zur Anwendung kommt.
(3) Bei Vorhandensein einer Rollabdeckung, bei der das Gehäuse ins Wasser eintaucht und außerhalb des Beckenumfanges liegt, ist bei der Berechnung des Förderstroms die Grundrissfläche des Gehäuses zur Wasserfläche des Beckens hinzuzurechnen.
§ 20. (1) Bei Therapiebecken ist der Förderstrom wie folgt zu berechnen:
- 1. beim Aufbereitungsverfahren gemäß § 14 Z 1 und 2 lit. b und 3 nach der Formel:
entspricht QA = A
- 2. beim Aufbereitungsverfahren gemäß § 14 Z 2 lit. a nach der Formel:
entspricht
(2) Für die Personengruppe „inkontinent“ oder „erhöht infektionsgefährdet (z. B. immunsupprimiert)“ ist nur das Aufbereitungsverfahren gemäß § 14 Z 2 lit. a zulässig und nach folgender Formel zu berechnen:
entspricht
Das gesamte Beckenwasservolumen muss jedoch mindestens ein Mal pro Stunde umgewälzt werden.
(3) Der Förderstrom des Therapiebeckens hat mindestens 16 m³/h zu betragen.
§ 21. (1) Bei Warmsprudelbecken (Whirl Pools) ist der Förderstrom wie folgt zu berechnen:
Es bedeutet:
N = Anzahl der Benutzerplätze
QG = gesamter Förderstrom, in m³/h
(2) Der Berechnung der Anzahl der Benutzerplätze sind 80 cm Platzbreite pro Person zugrunde zu legen.
(3) Bei Einschichtfiltern muss die Filtergeschwindigkeit ≤ 20 m/h betragen.
(4) Bei Mehrschichtfiltern muss die Filtergeschwindigkeit ≤ 25 m/h betragen und ist die Korngrößenkombination B gemäß § 28 Abs. 1 Z 2 zu verwenden.
(5) Das von den Badegästen verdrängte Beckenwasser muss aus dem Wasserkreislauf abgeführt und durch Füllwasser ersetzt werden.
(6) Wird die Wasseraufbereitung von Warmsprudelbecken (Whirl Pools) und anderen Becken kombiniert, so hat die Filterfläche der Aufbereitungsanlage die Summe der sich aus den Gesamtförderströmen je Becken in Verbindung mit den zulässigen Filtergeschwindigkeiten (Einschichtfilter gemäß § 27, Mehrschichtfilter gemäß § 28) ergebenden Filterfläche zu betragen. Der Förderstrom der Aufbereitungsanlage ergibt sich aus der Summe der Gesamtförderströme der einzelnen Becken.
(7) Der Förderstrom des Warmsprudelbeckens (Whirl Pools) muss mindestens 16 m³/h betragen.
Berechnung der Zuschläge zum Förderstrom
§ 22. (1) Attraktionen dürfen nur mit aufbereitetem Wasser oder Beckenwasser, nicht jedoch mit Wasser aus einem Ausgleichsbecken, betrieben werden.
(2) Bei kleinräumigen Attraktionen haben die Zuschläge QZ zu betragen:
- 1. bei einer Wassertemperatur ≤ 32° C für jede kleinräumige Attraktion 3 m³/h pro Benutzerplatz;
- 2. bei einer Wassertemperatur > 32° C für jede kleinräumige Attraktion 5 m³/h pro Benutzerplatz;
- 3. bei einer von mehreren Personen gleichzeitig benutzbaren Attraktion ist die Anzahl der Benutzerplätze für die Berechnung des Zuschlags zu berücksichtigen, wobei für die Breite eines Benutzerplatzes 1 m anzunehmen ist.
(3) Bei großräumigen Attraktionen beträgt der Zuschlag QZ = 60 m³/h pro Attraktion.
(4) Bei Wasserrutschen
- 1. mit einer Starthöhe ≤ 1 m beträgt der Zuschlag QZ = 5 m³/h,
- 2. mit einer Starthöhe > 1 m und < 2 m beträgt der Zuschlag QZ = 35 m³/h,
- 3. mit einer Starthöhe ≥ 2 m beträgt der Zuschlag QZ = 60 m³/h.
(5) Ergibt sich aus der Berechnung des Förderstroms QG bei einem Wasserspielgarten ein Wert von mehr als 2 QA, so darf der Förderstrom QG dennoch auf 2 QA begrenzt werden.
Berechnung der Nennbelastung
§ 23. Die Nennbelastung beträgt
- 1. beim Aufbereitungsverfahren gemäß § 14 Z 1 und 2 lit. b: N ≙ QA x 0,5;
- 2. beim Aufbereitungsverfahren gemäß § 14 Z 2 lit. a: N ≙ QA x 0,6;
- 3. beim Aufbereitungsverfahren gemäß § 14 Z 3: N ≙ QA x 0,5.
Es bedeutet:
N = Nennbelastung, in Personen pro Stunde
QA = Förderstrom, berechnet aufgrund der Beckenart und -abmessungen und dem jeweiligen Aufbereitungsverfahren in m³/h.
Wasseraufbereitung bei Tauchbecken
§ 24. (1) Das Beckenwasser von Tauchbecken ist mit einer Wasseraufbereitungsanlage mit einem Aufbereitungsverfahren gemäß § 14 aufzubereiten. Das Wasser von Tauchbecken mit einer Oberfläche bis zu 4 m² darf alternativ mit einer Desinfektion gemäß Abs. 2 behandelt werden.
(2) Tauchbecken mit einer Oberfläche bis zu 4 m² können mit einer mengenproportionalen Füllwasserchlorung oder mit organischen Chlorprodukten (Chlortabletten) (Anlage 3 Abschnitt A) betrieben werden. Durch geeignete Maßnahmen ist sicherzustellen, dass der Gehalt an freiem Chlor im gesamten Beckenwasser mindestens 0,6 und maximal 2,0 mg/l beträgt. Die Zugabe von Füllwasser hat in einer Menge zu erfolgen, die gewährleistet, dass der Gehalt an gebundenem Chlor von 0,3 mg/l nicht überschritten wird. Das Überlaufwasser darf dem Tauchbecken nicht mehr zugeführt werden.
(3) Das Tauchbecken muss eine allseitige Überlaufkante besitzen.
Wasseraufbereitung bei Wat-, Tret- und Durchschreitebecken
§ 25. (1) Das Beckenwasser von Wat-, Tret- und Durchschreitebecken ist entweder mit einer Wasseraufbereitungsanlage mit einem Aufbereitungsverfahren gemäß § 14 aufzubereiten oder mit einer Desinfektion nach Abs. 2 zu behandeln.
(2) Wird ein Wat-, Tret- und Durchschreitebecken mit mengenproportionaler Füllwasserchlorung oder mit organischen Chlorprodukten (Chlortabletten) betrieben, ist der Füllwasserzusatz so zu bemessen, dass bei einer Wassertemperatur > 20° C ein kompletter Wasseraustausch innerhalb einer Stunde und bei einer Wassertemperatur ≤ 20° C ein kompletter Wasseraustausch innerhalb von zwei Stunden erfolgt. Das Überlaufwasser eines Wat- und Tretbeckens darf einem Ausgleichsbecken zugeführt werden, wenn keine organischen Chlorprodukte (Chlortabletten) eingesetzt werden; das Überlaufwasser eines Durchschreitebeckens ist jedenfalls zu verwerfen. Durch geeignete Maßnahmen ist sicherzustellen, dass der Gehalt an freiem Chlor im Beckenwasser mindestens 0,6 und maximal 2,0 mg/l beträgt.
Filter und Filtration
§ 26. (1) Im Rahmen der im § 14 angeführten Aufbereitungsverfahren dürfen nur Einschicht- oder Mehrschichtfilter, welche als Festbettfilter mit Düsenboden ausgeführt sind, eingesetzt werden.
(2) Die Filtration ist mit einem kontinuierlichen Zusatz von Flockungsmitteln nach Anlage 2 zu kombinieren. Es muss sichergestellt sein, dass das jedem Filter zugeführte Wasser die entsprechende Menge an Flockungsmittel enthält.
§ 27. (1) Bei Einschichtfiltern muss als Filtermaterial reiner Quarzsand einer Korngröße von 0,71 bis 1,25 mm oder 1 bis 2 mm in einer Schichthöhe von mindestens 1,2 m verwendet werden.
(2) Die Filtergeschwindigkeit darf höchstens 30 m/h betragen. Bei Warmbecken mit einer Wassertemperatur von über 35° C, bei Warmsprudelbecken (Whirl Pools) und bei Salzwasserbecken darf die Filtergeschwindigkeit höchstens 20 m/h betragen. Die Freibordhöhe muss mindestens 0,4 m betragen.
§ 28. (1) Mehrschichtfilter müssen zwei Filterschichten aufweisen. Als Filtermaterial sind zwei verschiedene Korngrößenkombinationen (Korngrößenkombination A und Korngrößenkombination B) zulässig.
- 1. Korngrößenkombination A:
- a) die untere Filterschicht besteht aus Quarzsand mit einer Korngröße von 0,4 bis 0,8 mm und einer Schichthöhe von mindestens 0,4 m;
- b) die obere Filterschicht besteht aus Anthrazit oder Braunkohlenkoks mit einer Korngröße von 0,6 bis 1,6 mm und einer Schichthöhe von mindestens 0,4 m;
- 2. Korngrößenkombination B:
- a) die untere Filterschicht besteht aus Quarzsand mit einer Korngröße von 0,71 bis 1,25 mm und einer Schichthöhe von mindestens 0,6 m;
- b) die obere Filterschicht besteht aus Anthrazit oder Braunkohlenkoks mit einer Korngröße von 1,4 bis 2,5 mm und einer Schichthöhe von mindestens 0,6 m.
(2) Die Filtergeschwindigkeit darf höchstens 40 m/h betragen. Bei Warmbecken mit einer Wassertemperatur von über 35° C, bei Warmsprudelbecken (Whirl Pools) und bei Salzwasserbecken darf die Filtergeschwindigkeit höchstens 25 m/h betragen.
(3) Mehrschichtfilter mit der Korngrößenkombination A dürfen bei Warmbecken mit einer Wassertemperatur von über 35° C, Warmsprudelbecken (Whirl Pools) und Salzwasserbecken nicht verwendet werden.
(4) Nach Austausch des Filtermaterials ist eine mindestens 10%ige Filterbettausdehnung jeder Filterschicht bei der Filterrückspülung nachzuweisen.
(5) Die Filterbettoberfläche hat möglichst horizontal zu sein und darf während des Filtrationsvorgangs keine Verwerfungen von größer ± 5 cm/m Filterdurchmesser aufweisen.
Anforderungen an die Anlagen zur Desinfektion des Beckenwassers
§ 29. (1) Für die Dosierung von Chlor und Lösungen, die Chlor enthalten, sind dem Stand der Technik entsprechende Chlordosieranlagen zu verwenden.
(2) Die Dimensionierung der Chlordosieranlagen hat so zu erfolgen, dass für ein Hallenbad mindestens 2 g Chlor pro m³ Umwälzwasser und für ein künstliches Freibad mindestens 8 g Chlor pro m³ Umwälzwasser zudosiert werden können.
Anforderungen an die Ozon-Oxidationsstufe
§ 30. Beim Aufbereitungsverfahren nach § 14 Z 2 lit. a ist die Leistung der Ozonungsanlage so zu bemessen, dass bei Wassertemperaturen bis 28° C mindestens 1,0 g und über 28° C mindestens 1,2 g Ozon je m³ Umwälzwasser dem Förderstrom in einem geeigneten Vermischer zugeführt wird und die Einwirkzeit zwischen Ozonzuspeisung und Entozonung mittels Aktivkohle mindestens drei Minuten beträgt. Der Raum über dem Filterbett des Aktivkohlefilters (Entozonungsfilter) darf für die Berechnung der Einwirkzeit nicht herangezogen werden.
D. Hygienisch-technische Betriebsführung von Becken
Beckenentleerung, -reinigung, -desinfektion
§ 31. (1) Becken von Hallenbädern und künstlichen Freibädern sind mindestens einmal jährlich, von Warmsprudelbädern (Whirl Pools) mindestens einmal vierteljährlich, Tauchbecken mit einer Desinfektion gemäß § 24 Abs. 2 sowie Wat-, Tret- und Durchschreitebecken täglich vollständig zu entleeren, gründlich zu reinigen und zu desinfizieren.
(2) Im Zuge jeder Beckenentleerung sind Ausgleichsbecken vollständig zu entleeren, gründlich zu reinigen und zu desinfizieren.
(3) Durch entsprechende Unterwassersauggeräte sind Becken nach Bedarf zu reinigen; in Hallenbädern möglichst dreimal, mindestens jedoch einmal wöchentlich, in künstlichen Freibädern möglichst täglich, mindestens jedoch dreimal wöchentlich.
(4) Einbauten in Becken sind in sauberem Zustand zu halten.
Füllwasserzusatz
§ 32. Den Becken ist täglich Füllwasser (§ 5) in einer Menge zuzusetzen, dass die für das Beckenwasser (§ 7) geforderten Werte eingehalten werden können, mindestens jedoch 30 l pro Badegast und Tag.
Betrieb
§ 33. (1) Außer in den Fällen des Abs. 3 hat die Wasseraufbereitungsanlage während der Betriebszeit ständig in Betrieb zu sein. Ein reduzierter Förderstrom ist lediglich unter den in den §§ 34 und 35 angeführten Bedingungen zulässig.
(2) Der Förderstrom zu jedem Becken ist einmal täglich zu kontrollieren und aufzuzeichnen.
(3) Das Abschalten der Wasseraufbereitungsanlage darf nur für Reparatur- und Wartungsarbeiten (z. B. Filterrückspülung, Reinigung der Faserfänger der Umwälzpumpen) und nur außerhalb der Öffnungszeit erfolgen.
(4) Für die Einhaltung der geforderten Wasserbeschaffenheit ist ein ordnungsgemäßer Betrieb durch ausreichend geschulte Personen sicher zu stellen.
Betrieb mit reduziertem Förderstrom
§ 34. (1) Der Förderstrom darf nur außerhalb der Öffnungszeit und nur reduziert werden, wenn
- 1. a) der reduzierte Förderstrom bei Becken, ausgenommen Warmsprudelbecken (Whirl Pools), mindestens 50% des Förderstromes QA beträgt oder
- b) der reduzierte Förderstrom bei Warmsprudelbecken (Whirl Pools) mindestens 50% des Förderstromes QG beträgt und
- 2. bei einem Färbetest eine Färbezeit von maximal 20 Minuten bei reduziertem Förderstrom nachgewiesen und eingehalten,
- 3. die Redox-Spannung während des Betriebes mit reduziertem Förderstrom kontinuierlich überwacht und
- 4. die Wasseraufbereitungsanlage selbsttätig auf den Förderstrom QA schaltet, wenn ein Wert der Redoxspannung von 700 mV unterschritten wird.
(2) Der Nachweis des Färbetests ist aufzubewahren und auf Verlangen der Bezirksverwaltungsbehörde oder der/dem Sachverständigen für Hygiene vorzulegen.
§ 35. (1) Bei Becken mit Attraktionen darf ungeachtet § 34 der Förderstrom außerhalb der Öffnungszeiten auf QA reduziert werden.
(2) Die Absenkung des Wasserspiegels außerhalb der Öffnungszeit ist nur dann zulässig, wenn sichergestellt ist, dass der zusätzliche Wasserkreislauf ausreichend gespült wird und vor Beginn der Öffnungszeit mindestens eine Umwälzperiode im Normalbetrieb gefahren wird.
Spülung der Filteranlage
§ 36. (1) Zur desinfizierenden Spülung der Filteranlage sind nur die in der Anlage 3 Abschnitt C angeführten Desinfektionsmittel zulässig. Die Spülung der Filteranlage muss mit chlor-, chlordioxid- oder wasserstoffperoxidhaltigem Wasser erfolgen. Im Fall der Verwendung von Wasserstoffperoxid oder Chlordioxid sind dessen Rückstände vor Wiederaufnahme des Filterbetriebs aus dem Filter zu spülen.
(2) Die Spülung der Filteranlage hat außerhalb der Öffnungszeiten zu erfolgen.
(3) Die Spülung der Filteranlage muss, sofern die Filterbeladung nicht ohnehin eine frühere Spülung erforderlich macht, so häufig vorgenommen werden, dass Filterverkeimungen durch lange Laufzeiten vermieden werden; das ist bei einer Beckenwassertemperatur von
- 1. ≤ 27° C mindestens einmal wöchentlich,
- 2. > 27° C bis ≤ 32° C mindestens zweimal wöchentlich,
- 3. > 32° C bis ≤ 35° C mindestens dreimal wöchentlich und
- 4. > 35° C täglich.
(4) Bei der Spülung von Einschichtfiltern ist eine Ausdehnung der Filterschicht um mindestens 10% der Filterbetthöhe erforderlich. Zur Überwachung und Kontrolle der Oberfläche der Filterschicht, der Filterschichthöhe und der Ausdehnung der Filterschicht während des Spülvorgangs ist ein dauerhaft durchsichtiges Schauglas filterinnenwandbündig einzubauen.
(5) Die Spülung von Mehrschichtfiltern ist so durchzuführen, dass die Trennung der Filterschichten erhalten bleibt und eine Ausdehnung jeder Filterschicht von mindestens 10% ihrer Höhe erreicht wird. Zur Überwachung und Kontrolle der Oberfläche der oberen Filterschicht, der Filterschichthöhen und der Ausdehnung beider Filterschichten während des Spülvorgangs sind zwei dauerhaft durchsichtige Schaugläser filterinnenwandbündig einzubauen.
(6) Der Spülvorgang darf nicht unterbrochen werden; das für die Spülung erforderliche Wasser muss vor Beginn der Spülung bereitgehalten werden. Als erforderliche Spülwassermenge sind mindestens 4 m³/m² Filterfläche vorzusehen.
(7) Wird das Wasser dem Ausgleichsbecken entnommen, muss nach einer Auffüllung des Ausgleichsbeckens mit Füllwasser vor Beginn des Rückspülvorgangs eine Nachlaufzeit der Umwälzanlage vorgesehen werden, damit das zugesetzte Füllwasser in den Beckenwasserkreislauf gelangt; eine Füllwasser-Nachspeisung darf erst wieder nach Ablauf des Rückspülvorgangs erfolgen.
Reinigung der Überlaufrinne
§ 37. (1) Die Überlaufrinne muss wöchentlich auf Verunreinigungen geprüft und bei Bedarf gereinigt werden.
(2) Wenn Reinigungsarbeiten im Bereich der Überlaufrinne oder des Beckenumgangs durchgeführt werden, ist die Entwässerung der Überlaufrinne auf die Kanalisation umzustellen. Die Umschaltung auf den Beckenwasserkreislauf darf erst dann erfolgen, wenn die Überlaufrinne gründlich gespült worden ist.
Probenahmehähne
§ 38. (1) Probenahmehähne für Wasserproben sind an folgenden Stellen der Wasseraufbereitungsanlage anzubringen:
- 1. vor und nach jedem Filter,
- 2. vor und nach der Desinfektionsmittelzuspeisung vor Eintritt ins Becken; bei Wasseraufbereitungsanlagen mit nur einem Filter kann der Probenahmehahn vor der Desinfektionsmittelzuspeisung entfallen,
- 3. im Zulauf zum Reaktionsbehälter bei Verfahren gemäß § 14 Z 2 und
- 4. im Rücklauf von Solaranlagen mit direkter Badewassererwärmung vor Wiedereintritt in den Badewasserkreislauf.
(2) Jeder Probenahmehahn ist als regelbarer Metallhahn mit glattem und abflammbarem Ablaufrohr lotrecht nach unten sowie mit freier Auslaufhöhe von mindestens 40 cm auszuführen und muss direkt an der Förderstromleitung angebracht sein.
Desinfektionsmittel und weitere zulässige Chemikalien
§ 39. Für die Desinfektion von Beckenwasser sind nur die in der Anlage 3 Abschnitt A und B angeführten Desinfektionsmittel nach Maßgabe der Bestimmungen dieser Anlage zulässig. Die Desinfektionsleistung muss so hoch sein, dass 4 Zehnerpotenzen Pseudomonas aeruginosa innerhalb von 30 Sekunden unter den in § 7 angegebenen Mindestkonzentrationen des Desinfektionsmittels im Beckenwasser inaktiviert werden. Darüber hinaus müssen diese Desinfektionsmittel nach dem Biozid-Produkte-Gesetz, BGBl. I Nr.105/2000, in der jeweils geltenden Fassung, in Verkehr gebracht und verwendet werden dürfen.
§ 40. (1) Dem aufzubereitenden Wasser dürfen außer den in Anlage 2 angeführten Flockungsmitteln, den in Anlage 3 Abschnitt A und B angeführten Desinfektionsmitteln und dem in Anlage 4 angeführten Oxidationsmittel nur die in der Anlage 5 angeführten Mittel zur pH-Wert Einstellung zugesetzt werden, und zwar in einer solchen Menge und Verdünnung, dass eine Gefährdung der Gesundheit der Badegäste ausgeschlossen ist.
(2) Zur desinfizierenden Spülung der Filter dürfen nur die in Anlage 3 Abschnitt C angeführten Desinfektionsmittel eingesetzt werden.
E. Innerbetriebliche Kontrolle von Becken
Betriebstagebuch
§ 41. (1) Im Rahmen der innerbetrieblichen Kontrolle ist ein Betriebstagebuch zu führen, in das täglich folgende Daten und Ergebnisse der Messungen einzutragen sind:
- 1. Name der mit der Wahrnehmung des Schutzes der Gesundheit der Badegäste, insbesondere in hygienischer Hinsicht, betrauten Person,
- 2. Ergebnisse der Messungen des Desinfektionsmittelgehalts (freies Chlor und gebundenes Chlor) und des pH-Werts des Beckenwassers; bei automatischer Messung und Regelung des Chlorgehaltes mindestens einmal täglich (während der Öffnungszeit) und bei Becken ohne automatische Messung und Regelung des Chlorgehalts mindestens zweimal täglich (zu Beginn und während der Öffnungszeit); beim Verfahren gemäß § 14 Z 3 haben die Messungen des Desinfektionsmittelgehalts auch Chlordioxid zu umfassen,
- 3. durchgeführte Filterspülung,
- 4. die Redoxspannung in mV, sofern das Hallenbad, künstliche Freibad oder Warmsprudelbad (Whirl Pool) über kontinuierlich arbeitende Redoxmessgeräte verfügt,
- 5. der Badebesuch (auszudrücken durch: stark, mittel oder schwach),
- 6. der Füllwasserzusatz in m³ und
- 7. der Förderstrom jedes Beckens.
(2) Die Wasserproben für die Messungen sind 5 bis 20 cm unter der Oberfläche und 30 bis 50 cm vom Beckenrand entfernt zu entnehmen.
(3) Zur Überprüfung der mit der automatischen Messanlage ermittelten Werte ist bei Bedarf eine Probe an der Messwasserleitung zu entnehmen.
(4) Die pH-Wert-Bestimmung hat elektrometrisch oder colorimetrisch mit Hilfe eines Gerätes zu erfolgen, das im gewählten pH-Bereich Messungen mit Abstufungen von 0,2 erlaubt; bei der Verwendung von Chlorgas zur Desinfektion oder bei Füllwasser mit geringer Karbonathärte (schwachgepuffertes Wasser) darf die colorimetrische Methode nicht angewendet werden.
(5) Die Messung zur Bestimmung des freien Chlors und des gebundenen Chlors sowie des Chlordioxids ist unmittelbar nach Entnahme der Probe unter Anwendung der DPD-Methode durchzuführen; das hierbei verwendete Gerät muss Messungen mit Abstufungen von 0,1 mg/l erlauben.
(6) Bei Verwendung von Ozon in der Aufbereitung des Wassers muss die Funktion der Aktivkohlefilter einmal wöchentlich kontrolliert werden. Dazu sind vor und nach jedem Aktivkohlefilter Wasserproben zu entnehmen und Messungen unter Anwendung der DPD-Methode vorzunehmen.
(7) Die Betriebstagebücher sind drei Jahre ab der letzten Eintragung aufzubewahren.
Jährlich einzuholendes wasserhygienisches Gutachten
§ 42. (1) Für das von der Inhaberin oder vom Inhaber eines Hallenbades, künstlichen Freibades oder Warmsprudelbades (Whirl Pool) einmal jährlich gemäß § 14 Abs. 2 BHygG einzuholende wasserhygienische Gutachten über die Beschaffenheit des Beckenwassers sind folgende Proben zu entnehmen:
- 1. Füllwasser; werden mehrere Becken eines Bades vom selben Wasserspender gefüllt, ist eine einzige Probe des Füllwassers ausreichend; die Probenahme entfällt bei Füllwasser aus einer Wasserversorgungsanlage gemäß Trinkwasserverordnung,
- 2. Wasser aus der Wasseraufbereitungsanlage vor Chlorung (bei Verfahren nach § 14 Z 2 auch nach dem Aktivkohlefilter) und
- 3. Beckenwasser aus jedem Becken; Proben des Beckenwassers sind 5 bis 20 cm unter der Oberfläche und 30 bis 50 cm vom Beckenrand entfernt zu entnehmen.
Für die Untersuchung der Trihalogenmethane ist eine Probe pro Aufbereitungskreislauf zu entnehmen.
(2) Für die bakteriologischen Untersuchungen sind sterile Entnahmeflaschen zu verwenden, welche die zur Inaktivierung des Restchlorgehalts erforderliche Menge an Natriumthiosulfat enthalten müssen.
(3) Der Ortsaugenschein, die Probenahme und die Messungen vor Ort gemäß Anlage 8 dürfen nur durch die oder den mit der Erstellung des wasserhygienischen Gutachtens betraute Sachverständige oder betrauten Sachverständigen der Hygiene gemäß § 14 Abs. 3 Z 1 BHygG oder eine beauftragte dafür hinreichend qualifizierte Person gemäß § 14 Abs. 4 BHygG vorgenommen werden und müssen an Tagen mit Badebetrieb unangemeldet während der Betriebszeit und nach Maßgabe des § 9 Abs. 2 zweiter Satz BHygG erfolgen.
(4) Wasserhygienische Gutachten gemäß § 14 Abs. 2 und 5 BHygG sind von der Betreiberin oder dem Betreiber unverzüglich nach Vorliegen in einer Ausfertigung der Bezirksverwaltungsbehörde vorzulegen; darüber hinaus sind diese dem Betriebstagebuch anzuschließen; auf Verlangen der Bezirksverwaltungsbehörde oder der oder des Sachverständigen der Hygiene ist in diese Einsicht zu gewähren.
§ 43. (1) Die Untersuchungen haben die in den §§ 5 bis 7 angeführten Parameter - mit Ausnahme der Redoxspannung - zu umfassen, wobei die Untersuchungen nach § 6 um eine Messung des freien Chlors und des gebundenen Chlors zu ergänzen sind; die Messergebnisse sind im wasserhygienischen Gutachten anzuführen. Erforderlichenfalls sind die Untersuchungen durch weitere chemische, bakteriologische, virologische sowie allenfalls durch parasitologische Untersuchungen zu ergänzen.
(2) Hinsichtlich der Untersuchungsmethoden gilt § 8.
(3) Die Eignung des Beckenwassers für Badezwecke ist von der oder dem Sachverständigen der Hygiene unter Berücksichtigung des Ortsbefundes, der Messungen vor Ort und der Gesamtheit der Ergebnisse der untersuchten Parameter zu beurteilen. Neben den bakteriologischen und chemisch-physikalischen Befunden sind hiebei auch andere zu einer Gesamtbeurteilung erforderliche Kriterien, wie die zum Zeitpunkt der Probenahme erreichte Besucherzahl, zu berücksichtigen.
(4) Im wasserhygienischen Gutachten muss in der Gesamtbeurteilung klar zum Ausdruck kommen, ob
- 1. das Beckenwasser und das Wasser aus der Wasseraufbereitungsanlage eine solche Beschaffenheit aufweisen, dass für den Schutz der Gesundheit der Badegäste, insbesondere in hygienischer Hinsicht, in ausreichendem Maße Vorsorge getroffen wird; hierbei ist festzuhalten, ob
- a) das Beckenwasser den Werten des § 7 und das Wasser aus der Wasseraufbereitungsanlage den Werten des § 6, allenfalls in Zusammenhalt mit § 98 Abs. 2, entspricht oder
- b) festgestellte Abweichungen von den Werten nach § 6 und § 7, allenfalls bei sofortiger Setzung von Maßnahmen, im Rahmen der Gesamtbeurteilung toleriert werden können oder ob
- 2. die Anforderungen nach Z 1 nicht erfüllt werden.
(5) In den Fällen des Abs. 4 Z 1 lit. b und Z 2 sind im Gutachten die Mängel anzuführen und nach Möglichkeit Maßnahmen zu deren Beseitigung und eine Kontrolluntersuchung oder eine erweiterte Untersuchung vorzuschlagen.
F. Behördliche Kontrolle
Überprüfungen vor Erteilung der Betriebsbewilligung
§ 44. (1) Vor Erteilung der Betriebsbewilligung hat die Bezirksverwaltungsbehörde folgende von der Antragstellerin oder dem Antragsteller beizubringende und von einer dazu berechtigten Person (z. B. nach der Gewerbeordnung 1994, Ziviltechnikerinnen und Ziviltechniker einschlägiger Fachgebiete) erstellte Nachweise zu prüfen:
- 1. Abnahmeprüfung hinsichtlich des ordnungsgemäßen und betriebssicheren Zustands sowie hinsichtlich der bescheidmäßigen Errichtung der Wasseraufbereitungsanlage;
- 2. Prüfung der Beckendurchströmung und der Desinfektionsmittelverteilung durch eine Färbung des Beckenwassers mit Eriochromschwarz T mit anschließender Entfärbung durch Chlorung;
- 3. Prüfung der Filterbettausdehnung beim Spülprozess;
- 4. sofern in einem Becken Ablauföffnungen vorhanden sind, über die Badewasser angesaugt oder abgeleitet wird, umfasst die Abnahmeprüfung nach Z 1 auch die Überprüfung der Nutzungssicherheit dieser Ansaugstellen durch eine Haarfangprüfung.
(2) Weiters hat die Bezirksverwaltungsbehörde vor Erteilung der Betriebsbewilligung über den Zustand des Bades einen Ortsaugenschein vorzunehmen, der insbesondere zu umfassen hat:
- 1. Beurteilung des Bades einschließlich der zum Badebetrieb gehörenden Nebeneinrichtungen im Hinblick auf die Gefährdung von Badegästen durch zu erwartende Hygienemängel und offensichtliche Unfallgefahren;
- 2. Beurteilung der Einhaltung der bäderhygienerechtlichen Bestimmungen einschließlich allfälliger behördlicher Auflagen.
Kontrolle während des Betriebs
§ 45. (1) Die behördliche Kontrolle gemäß § 9 BHygG hat nach Möglichkeit unangemeldet sowie nach Maßgabe des § 9 Abs. 2 zweiter Satz BHygG zu erfolgen. Dabei ist über den Allgemeinzustand des Bades ein Ortsaugenschein vorzunehmen, der insbesondere zu umfassen hat:
- 1. Beurteilung des Bades einschließlich der zum Badebetrieb gehörenden Nebeneinrichtungen im Hinblick auf die Gefährdung von Badegästen durch Hygienemängel und offensichtliche Unfallgefahren;
- 2. Beurteilung der Einhaltung der bäderhygienerechtlichen Bestimmungen einschließlich allfälliger behördlicher Auflagen;
- 3. Einsicht in die Aufzeichnungen der innerbetrieblichen Kontrolle und der von der Inhaberin oder dem Inhaber des Bades eingeholten wasserhygienischen Gutachten.
(2) Bestehen begründete Bedenken, dass die Beschaffenheit des Beckenwassers nicht den Anforderungen dieser Verordnung entspricht, ist von der Bezirksverwaltungsbehörde ein wasserhygienisches Gutachten zu veranlassen.
(3) Die Proben dürfen nur durch Organe der Bezirksverwaltungsbehörde gemäß § 14 Abs. 3 Z 3 BHygG oder durch Sachverständige der Hygiene gemäß § 14 Abs. 3 Z 1 BHygG entnommen werden.
(4) Ausgenommen in Fällen drohender Gefahr für die Gesundheit der Badegäste (§ 10 BHygG) sind auf Verlangen der Inhaberin oder des Inhabers des Bades vor einer Anordnung von Maßnahmen die Kontrollen zu wiederholen.
3. Abschnitt
Warmsprudelwannen (Whirlwannen)
A. Allgemeine Anforderungen an Warmsprudelwannen (Whirlwannen)
§ 46. (1) Warmsprudelwannen (Whirlwannen) sind ungeachtet ihrer Größe nur zur Benützung durch eine Person in einem Badevorgang bestimmt. Darauf ist in der Badeordnung, die in unmittelbarer Näher der Warmsprudelwanne (Whirlwanne) anzubringen ist, hinzuweisen. Gleiches gilt für die Notwendigkeit einer Desinfektion des Wannenkreislaufs nach jedem Badevorgang und vollständiger Entleerung der Warmsprudelwanne (Whirlwanne), sofern die Warmsprudelwanne (Whirlwanne) nicht mit einer automatischen Desinfektionseinrichtung ausgestattet ist.
(2) Sämtliche Oberflächen müssen aus leicht zu reinigendem und leicht zu desinfizierendem Material bestehen.
(3) Für die Ganzkörperreinigung muss eine gesonderte Einrichtung (Badewanne oder Dusche) vorhanden sein.
B. Anforderungen an die Wasserbeschaffenheit in Warmsprudelwannen (Whirlwannen)
Füllwasser
§ 47. (1) Das Wasser, mit dem Warmsprudelwannen (Whirlwannen) gefüllt werden, muss folgenden Anforderungen entsprechen:
- 1. Es muss in seuchenhygienischer Hinsicht einwandfrei sein; dies gilt im Allgemeinen als eingehalten, wenn folgende mikrobiologische Anforderungen erfüllt sind:
- a) Koloniebildende Einheiten bei 37° C Bebrütungstemperatur: die Konzentration darf 100 in 1 ml nicht überschreiten,
- b) Escherichia coli: darf in 100 ml nicht nachweisbar sein,
- c) Enterokokken: dürfen in 100 ml nicht nachweisbar sein,
- d) Pseudomonas aeruginosa: darf in 100 ml nicht nachweisbar sein,
- e) Legionellen: die Konzentration darf 10 in 100 ml (100 in 1 Liter) nicht überschreiten,
- 2. in chemischer Hinsicht dürfen
- a) keine Substanzen in Konzentrationen enthalten sein, die die Gesundheit der Badenden gefährden können und
- b) keine Inhaltsstoffe in Konzentrationen enthalten sein, die die Desinfektion beeinträchtigen.
(2) Bei begründetem Verdacht sind weitere mikrobiologische und chemische Parameter in die Untersuchungen einzubeziehen.
Wannenwasser
§ 48. (1) Das Wasser, das sich in einer Warmsprudelwanne (Whirlwanne) befindet, muss im Leerbetrieb (§ 57 Abs. 2) in seuchenhygienischer Sicht einwandfrei sein; dies gilt im Allgemeinen als eingehalten, wenn folgende mikrobiologische Anforderungen erfüllt sind:
- 1. Koloniebildende Einheiten bei 37° C Bebrütungstemperatur: die Konzentration darf 100 in 1 ml nicht überschreiten,
- 2. Escherichia coli: darf in 100 ml nicht nachweisbar sein,
- 3. Enterokokken: dürfen in 100 ml nicht nachweisbar sein,
- 4. Pseudomonas aeruginosa: darf in 100 ml nicht nachweisbar sein,
- 5. Legionellen: die Konzentration darf 10 in 100 ml (100 in 1 Liter) nicht überschreiten.
(2) Bei Füllwasserchlorung (§ 51 Abs. 2) des Badewassers
- 1. muss die Konzentration an freiem Chlor (gemessen am Beginn des Leerbetriebs) mindestens 0,6 und darf höchstens 1,2 mg/l betragen und
- 2. darf die Konzentration an gebundenem Chlor (gemessen am Ende des Leerbetriebs) höchstens 0,3 mg/l betragen.
(3) Der in Abs. 2 Z 1 geforderte Mindestgehalt an freiem Chlor im Badewasser darf bei einer Kombination von Spüldesinfektion und Füllwasserchlorung unterschritten werden; der Mindestgehalt an freiem Chlor im Spülwasser gemäß § 51 Abs. 4 muss jedoch eingehalten werden.
Untersuchungsmethoden
§ 49. Im Untersuchungsbefund muss die jeweils angewandte analytische Methode angegeben werden. Angewendet werden dürfen nur Methoden, die in Anlage 1 angeführt sind oder diesen Analyse- und Prüfverfahren entsprechen.
Zusatzstoffe zum Badewasser
§ 50. Produkte, die der Körperreinigung dienen oder oberflächenfilmbildende und/oder oxidationsmittelzehrende Substanzen (z. B. Öle, milchige Zusätze) enthalten, dürfen nicht verwendet werden. Bei einer Füllwasserchlorung gemäß § 51 Abs. 2 oder einer Spüldesinfektion gemäß § 51 Abs. 3 Z 3 dürfen keinerlei Zusatzstoffe verwendet werden. Darauf ist in der Badeordnung, die in unmittelbarer Näher der Warmsprudelwanne (Whirlwanne) anzubringen ist, hinzuweisen.
C. Desinfektion und hygienisch-technische Betriebsführung von Warmsprudelwannen (Whirlwannen)
Desinfektion des Wannenkreislaufs
§ 51. (1) Die Desinfektion des Wannenkreislaufs hat durch eine Füllwasserchlorung (Desinfektionsmittelzugabe zum Füllwasser entsprechend dem Wanneninhalt) und/oder durch eine Spüldesinfektion (Desinfektion des Wannenkreislaufs mit Spülwasser) zwischen den einzelnen Benützungsvorgängen zu erfolgen.
(2) Bei der Füllwasserchlorung sind die Chlorgehalte gemäß § 48 Abs. 2 einzuhalten und folgende Verfahren, jedoch nicht die Verwendung von Zusatzstoffen, zulässig:
- 1. dem Füllwasser wird kontinuierlich mengenproportional Desinfektionsmittel zugegeben; wird eine Warmsprudelwanne (Whirlwanne) über eine luftführende Leitung mit Wasser befüllt oder entleert, ist jedenfalls dieses Verfahren anzuwenden;
- 2. dem Füllwasser wird zu Beginn der Wannenfüllung die für einen Badevorgang erforderliche gesamte Desinfektionsmittelmenge zugegeben.
(3) Bei der Spüldesinfektion sind folgende Verfahren zulässig:
- 1. der leeren Warmsprudelwanne (Whirlwanne) wird unmittelbar nach jedem Badevorgang gechlortes Spülwasser über einen Wannenzulauf zugeführt und ein Spülvorgang des Wannenkreislaufs durchgeführt;
- 2. der leeren Warmsprudelwanne (Whirlwanne) wird unmittelbar nach jedem Badevorgang gechlortes Spülwasser über den Wannenkreislauf zugeführt;
- 3. nach jedem Badevorgang wird dem in der Warmsprudelwanne (Whirlwanne) zurückbleibenden Badewasser Desinfektionsmittel zugegeben und damit der Wannenkreislauf gespült, wobei allerdings keinerlei Zusatzstoffe verwendet werden dürfen.
(4) Die Konzentration an freiem Chlor im Spülwasser muss mindestens 4 und darf höchstens 10 mg/l betragen. Diese Kontrolle der Konzentration kann mit einem Teststreifen erfolgen. Während des Spülvorgangs muss mindestens ein zweimaliger Durchlauf des gesamten Spülwasservolumens durch den Wannenkreislauf erfolgen, wobei bei erreichter Chlorkonzentration die Einwirkzeit mindestens drei Minuten betragen muss.
(5) Sämtliche Leitungen, die während des Befüllens oder des Betriebs aufgrund des Wasserstands in der Warmsprudelwanne (Whirlwanne) mit Wasser benetzt werden, müssen so in den Wannenkreislauf eingebunden sein, dass sie entweder bei der Spüldesinfektion oder Füllwasserchlorung durchströmt werden. Dies gilt insbesondere für luftführende Leitungen, unabhängig davon, ob die Luft über Injektoren angesaugt oder über Verdichter eingebracht wird.
Reinigung der Wannenoberfläche
§ 52. Die Reinigung der Wannenoberfläche hat wenn möglich zwischen den einzelnen Benützungsvorgängen zu erfolgen, mindestens jedoch einmal täglich. Es ist darauf zu achten, dass keine größeren Mengen Reinigungsmittel in den Wannenkreislauf gelangen.
Dosieranlage
§ 53. (1) Die Zugabe des Desinfektionsmittels hat automatisch zu erfolgen. Der Vorratsbehälter für das Desinfektionsmittel muss mit einer automatischen Leermeldevorrichtung ausgestattet sein, die eine Inbetriebnahme der Warmsprudelwanne (Whirlwanne) bei Leermeldung verhindert.
(2) Abs. 1 gilt nicht für Warmsprudelwannen (Whirlwannen), die ausschließlich für Therapiezwecke verwendet werden und insofern diese medizinprodukterechtlichen Desinfektionsvorgaben unterliegen.
Desinfektionsmittel
§ 54. Zur Füllwasserchlorung und Spüldesinfektion sind nur die in Anlage 3 Abschnitt D angeführten Desinfektionsmittel zulässig. Darüber hinaus müssen diese Desinfektionsmittel nach den Bestimmungen des Biozid-Produkte-Gesetzes in Verkehr gebracht und verwendet werden dürfen.
Wiederinbetriebnahme nach längerem Stillstand
§ 55. Bei saisonal betriebenen Warmsprudelwannen (Whirlwannen) oder nach einem längeren Stillstand ist vor der Wiederinbetriebnahme ein vollständiger Desinfektionsvorgang ohne Personenbenutzung durchzuführen. Dabei ist auch der Desinfektionsmittelgehalt bei der Füllwasserchlorung und/oder Spüldesinfektion zu überprüfen.
D. Innerbetriebliche Kontrolle von Warmsprudelwannen (Whirlwannen)
Betriebstagebuch
§ 56. (1) Im Rahmen der innerbetrieblichen Kontrolle ist ein Betriebstagebuch zu führen, in das in längstens 14-tägigen Abständen folgende Daten und Ergebnisse der Messungen über die durchgeführten Eigenkontrollen einzutragen sind:
- 1. Name der mit der Wahrnehmung des Schutzes der Gesundheit der Badegäste, insbesondere in hygienischer Hinsicht, betrauten Person,
- 2. Ergebnisse der Messungen des Gehalts an freiem Chlor
- a) bei Warmsprudelwannen (Whirlwannen) mit Füllwasserchlorung des Badewassers unmittelbar nach der Füllung und
- b) bei Warmsprudelwannen (Whirlwannen) mit Spüldesinfektion ungefähr in der Mitte des Spülvorgangs.
(2) Betriebstagebücher sind drei Jahre ab der letzten Eintragung aufzubewahren.
Jährlich einzuholendes wasserhygienisches Gutachten
§ 57. (1) Das gemäß § 14 Abs. 2 BHygG von der Inhaberin oder dem Inhaber einer Einrichtung mit Warmsprudelwanne (Whirlwanne) einmal jährlich einzuholende wasserhygienische Gutachten über die Beschaffenheit des Badewassers hat auf Grund des Ortsaugenscheins, der Probenahme und der Messungen vor Ort im Leerbetrieb zu erfolgen (Anlage 9).
(2) Leerbetrieb ist der Betrieb der Warmsprudelwanne (Whirlwanne) mit allen Massageeinrichtungen, Wasser und/oder Lufteinströmungen ohne Personenbenutzung für die standardisierte Probenahme im Zuge der Erstellung des wasserhygienischen Gutachtens. Im Leerbetrieb ist eine Warmsprudelwanne (Whirlwanne) mit einer für den Badevorgang vorgesehenen Wassertemperatur zu betreiben. Die Dauer des Leerbetriebes hat mindestens fünf Minuten zu betragen. Sofern beim Badebetrieb eine Füllwasserdesinfektion erfolgt, darf auch im Leerbetrieb Desinfektionsmittel im gleichen Ausmaß vorhanden sein.
(3) Die Wasserprobe für die mikrobiologische Untersuchung ist am Ende des Leerbetriebes 5 bis 20 cm unter der Wasseroberfläche in der Wannenmitte zu entnehmen.
(4) Für die bakteriologischen Untersuchungen sind sterile Entnahmeflaschen zu verwenden, welche die zur Inaktivierung des Restchlorgehalts erforderliche Menge an Natriumthiosulfat enthalten müssen.
(5) Der Ortsaugenschein, die Probenahme und die Messungen vor Ort (Anlage 9) dürfen nur durch die oder den mit der Erstellung des wasserhygienischen Gutachtens betraute Sachverständige oder betrauten Sachverständigen der Hygiene gemäß § 14 Abs. 3 Z 1 BHygG oder eine beauftragte dafür hinreichend qualifizierte Person gemäß § 14 Abs. 4 BHygG vorgenommen werden und müssen - mit Ausnahme von Warmsprudelwannen (Whirlwannen) in Gästezimmern - unangemeldet und nach Maßgabe des § 9 Abs. 2 zweiter Satz BHygG erfolgen.
(6) Wasserhygienische Gutachten gemäß § 14 Abs. 2 und 5 BHygG sind von der Betreiberin oder dem Betreiber unverzüglich nach Vorliegen in einer Ausfertigung der Bezirksverwaltungsbehörde vorzulegen; darüber hinaus sind diese und allfällige weitere Unterlagen (z. B. Betriebsanleitung, Wartungsnachweise, Zertifikate über Desinfektionsmittel) dem Betriebstagebuch anzuschließen; auf Verlangen der Bezirksverwaltungsbehörde oder der oder des Sachverständigen der Hygiene ist in diese Einsicht zu gewähren.
§ 58. (1) Die Untersuchungen haben die in § 48 Abs. 1 angeführten Parameter zu umfassen; bei Füllwasserchlorung zusätzlich die Parameter gemäß § 48 Abs. 2; bei Spüldesinfektion zusätzlich den Parameter gemäß § 51 Abs. 4. Die Messergebnisse sind im wasserhygienischen Gutachten anzuführen. Erforderlichenfalls sind die Untersuchungen durch weitere bakteriologische, virologische sowie allenfalls durch parasitologische Untersuchungen zu ergänzen.
(2) Hinsichtlich der Untersuchungsmethoden gilt § 49.
(3) Die Eignung des Wassers im Leerbetrieb ist vom Sachverständigen der Hygiene unter Berücksichtigung des Ortsbefundes, der Messungen vor Ort und der Gesamtheit der Ergebnisse der untersuchten Parameter zu beurteilen.
(4) Im wasserhygienischen Gutachten muss in der Gesamtbeurteilung klar zum Ausdruck kommen, ob
- 1. das Wasser im Leerbetrieb eine solche Beschaffenheit aufweist, dass für den Schutz der Gesundheit der Badegäste, insbesondere in hygienischer Hinsicht, in ausreichendem Maße Vorsorge getroffen wird; hierbei ist festzuhalten, ob
- a) das Wasser im Leerbetrieb den Werten des § 48 Abs. 1 und 2 sowie § 51 Abs. 4 entspricht oder
- b) festgestellte Abweichungen von den Werten nach § 48 Abs. 1 und 2 sowie § 51 Abs. 4, allenfalls bei sofortiger Setzung von Maßnahmen, im Rahmen der Gesamtbeurteilung toleriert werden können oder ob
- 2. die Anforderungen nach Z 1 nicht erfüllt werden.
(5) In den Fällen des Abs. 4 Z 1 lit. b und Z 2 sind im Gutachten die Mängel anzuführen und nach Möglichkeit Maßnahmen zu deren Beseitigung und eine Kontrolluntersuchung oder eine erweiterte Untersuchung vorzuschlagen.
E. Behördliche Kontrolle
Überprüfung vor Erteilung der Betriebsbewilligung
§ 59. (1) Sofern in einer Warmsprudelwanne (Whirlwanne) Ansaugöffnungen vorhanden sind, über die Badewasser angesaugt wird, hat die Bezirksverwaltungsbehörde vor Erteilung der Betriebsbewilligung einen von der Antragstellerin oder dem Antragsteller beizubringenden und von einer dazu berechtigten Person (z. B. nach der Gewerbeordnung 1994, Ziviltechnikerinnen und Ziviltechniker einschlägiger Fachgebiete) durch eine Haarfangprüfung (individuelle Prüfung oder Baumusterprüfung bei fertig montierten Einheiten) erstellten Nachweis der Nutzungssicherheit dieser Ansaugstellen zu prüfen.
(2) Weiters hat die Bezirksverwaltungsbehörde vor Erteilung der Betriebsbewilligung über den Zustand der Einrichtung mit Warmsprudelwanne (Whirlwanne) einen Ortsaugenschein vorzunehmen, der insbesondere zu umfassen hat:
- 1. Beurteilung der Warmsprudelwanne (Whirlwanne) einschließlich der zum Badebetrieb gehörenden Nebeneinrichtungen im Hinblick auf die Gefährdung von Badegästen durch zu erwartende Hygienemängel und offensichtliche Unfallgefahren;
- 2. Beurteilung der Einhaltung der bäderhygienerechtlichen Bestimmungen einschließlich allfälliger behördlicher Auflagen.
Kontrolle während des Betriebes
§ 60. (1) Die behördliche Kontrolle gemäß § 9 BHygG hat nach Möglichkeit unangemeldet und nach Maßgabe des § 9 Abs. 2 zweiter Satz BHygG zu erfolgen. Dabei ist über den Allgemeinzustand der Einrichtung mit Warmsprudelwanne (Whirlwanne) ein Ortsaugenschein vorzunehmen, der insbesondere zu umfassen hat:
- 1. Beurteilung der Einrichtung mit Warmsprudelwanne (Whirlwanne) einschließlich der Nebeneinrichtungen im Hinblick auf die Gefährdung von Badegästen durch Hygienemängel und offensichtliche Unfallgefahren,
- 2. Beurteilung der Einhaltung der bäderhygienerechtlichen Bestimmungen einschließlich allfälliger behördlicher Auflagen und
- 3. Einsicht in die Aufzeichnungen der innerbetrieblichen Kontrolle und die von der Inhaberin oder dem Inhaber einer Einrichtung mit Warmsprudelwanne (Whirlwanne) eingeholten wasserhygienischen Gutachten.
(2) Bestehen begründete Bedenken, dass die Beschaffenheit des Wannenwassers nicht den Anforderungen dieser Verordnung entspricht, ist ein wasserhygienisches Gutachten zu veranlassen.
(3) Die Proben dürfen nur durch Organe der Bezirksverwaltungsbehörde gemäß § 14 Abs. 3 Z 3 BHygG oder durch Sachverständige der Hygiene gemäß § 14 Abs. 3 Z 1 BHygG entnommen werden.
(4) Ausgenommen in Fällen drohender Gefahr für die Gesundheit des Badegastes (§ 10 BHygG) sind auf Verlangen der Inhaberin oder des Inhabers der Einrichtung mit Warmsprudelwanne (Whirlwanne) vor einer Anordnung von Maßnahmen die Kontrollen zu wiederholen.
4. Abschnitt
Saunaanlagen, Warmluft- und Dampfbäder
A. Allgemeine Anforderungen und hygienisch-technische Betriebsführung für Saunaanlagen, Warmluft- und Dampfbäder
§ 61. (1) Saunaanlagen, Warmluft- und Dampfbäder bestehen zumindest aus einer Kabine, einer Vorreinigungs- und Abkühldusche, einer WC-Anlage und einem Bereich, in dem geruht werden kann. Auf allfällig vorhandene Tauchbecken sind die bezughabenden Bestimmungen des 2. Abschnitts anzuwenden.
(2) Die Innenhöhe einer Kabine hat mindestens 1,9 m zu betragen und soll 2,5 m nicht überschreiten. Der Mindestabstand der obersten Sitz- und Liegebank zur Decke hat 1,1 m zu betragen. Der Richtwert für den Flächenbedarf eines Kabinenbenützers beträgt 0,75 m².
(3) Die Tür einer Kabine muss nach außen in Richtung kürzester Fluchtweg leicht zu öffnen und unversperrbar sein und muss zumindest eine verglaste Schauöffnung in Sichthöhe aufweisen.
(4) Die einwandfreie Be- und Entlüftung einer Kabine muss bei geschlossener Tür gewährleistet sein. Dem Luftwechsel einer Saunakabine, eines Warmluftbades und eines Dampfbades (bei geschlossener Tür) ist eine mittlere Luftwechselzahl von mindestens sechsmal pro Stunde zugrunde zu legen. Das Nachströmen der entsprechenden Menge an Frischluft muss sichergestellt sein. Die Abluft ist - mit Ausnahme von Infrarotkabinen mit weniger als vier Benutzerplätzen - ins Freie oder in ein zentrales Abluftsystem zu führen.
(5) Für den Innenausbau von Holzkabinen sind harzarme, nicht schiefernde Hölzer (massive Hölzer, Holzlagenwerkstoffe und thermisch behandeltes Holz) mit möglichst geringer Formaldehydabgabe zu verwenden. Auflagerabstände und Holzdicken der Sitz- und Liegebänke, Auftritte und Schutzverkleidungen müssen so gestaltet sein, dass sie den betriebsüblichen Belastungen standhalten können. Andere in der Kabine verwendete Materialien müssen hitze- und korrosionsbeständig sein und dürfen in betriebsüblichen Temperaturbereichen keine negativen Auswirkungen auf die Benutzer haben.
(6) Sitz- und Liegebänke, Auftritte und Kopfkeile in Saunakabinen und in mit Holz ausgestatteten Kabinen von Warmluftbädern sind in glattgeschliffenem Zustand zu halten.
(7) Sitz- und Liegebänke einer Saunakabine haben eine Mindesttiefe von 55 cm aufzuweisen und müssen aus Holzlattenrosten bestehen, die zur Reinigung leicht abnehmbar oder aufklappbar sind. Die unterste Ebene dieser Roste kann schmäler sein und soll lediglich als Auftritt dienen.
(8) Bei Warmluftkabinen in Holzbauweise hat nach Betriebsende ein Nachtrocknungsvorgang zu erfolgen, der sich nach der Kabinengröße zu richten, mindestens jedoch 30 Minuten bei 80° C zu dauern hat.
(9) In Warmluftbädern (z. B. Infrarotkabinen), die über keine Möglichkeit zur Aufheizung auf 80° C verfügen, müssen Sitzbänke und Rückenlehnen glatte, leicht zu reinigende und desinfizierbare Oberflächen aufweisen. Werden Sitzbänke und Rückenlehnen in Holz ausgeführt, muss die Holzoberfläche porendicht versiegelt sein und in diesem Zustand gehalten werden.
(10) In einer Saunakabine oder einer Kabine eines Warmluft- oder Dampfbades ist eine Notrufeinrichtung zu einem während des Sauna- oder Badebetriebes dauernd besetzten Ort einzurichten. Dies gilt nicht für Saunakabinen und Kabinen eines Warmluft- oder Dampfbades, die im Rahmen einer Wohnanlage mit mehr als fünf Wohneinheiten gemeinschaftlich betrieben werden, sofern in anderer Weise für eine jederzeitige Hilfeleistung Vorsorge getroffen wird.
(11) Im Nahbereich einer Saunakabine oder einer Kabine eines Warmluft- oder Dampfbades ist ein Erste Hilfe Kasten anzubringen.
§ 62. In einer Saunakabine darf die Temperatur im Innenraum während der Betriebszeit 70° C nicht unter- und 105° C nicht überschreiten (gemessen 1 m über der obersten Sitz- und Liegebank). Vor Benützung einer Saunakabine muss die Betriebstemperatur erreicht sein. Saunaöfen sind so anzuordnen, dass die Konvektionsluft möglichst gleichmäßig verteilt und eine unbeabsichtigte Berührung des Saunaofens vermieden wird. Saunaöfen sind mit mindestens einem Sicherheitsthermostat auszustatten, welcher bei Überschreitung einer dem Regelsystem entsprechenden Höchsttemperatur den Saunaofen ohne automatische Wiedereinschaltung abschaltet. Bei Saunaöfen, die mit festen Brennstoffen beheizt werden und ein Sicherheitsthermostat zur automatischen Abschaltung nicht eingesetzt werden kann, ist in der Saunakabine ein Maximalwärmemelder mit einer Auslösetemperatur einzubauen, bei der eine Selbstentzündung der Holzteile der Saunakabine ausgeschlossen werden kann.
§ 63. (1) In Warmluftbädern, ausgenommen Infrarotkabinen, ist im Innenraum der Kabine, mit Ausnahme des Nachtrocknungsvorgangs, eine maximale Lufttemperatur von 70° C zulässig.
(2) Bei Kabinen, die ganz oder teilweise in Holz ausgeführt sind, darf die relative Luftfeuchte (rF) auf der Höhe der obersten Sitzebene 55% nicht überschreiten. Dies ist durch eine automatische Regelungsanlage sicherzustellen.
(3) In Kabinen, die nicht in Holz ausgeführt sind, müssen zumindest Sitzflächen, Rückenlehnen und Boden aus glattem, leicht zu reinigendem und desinfizierbarem inerten Material bestehen.
§ 64. (1) In Dampfbädern darf die Luftfeuchtigkeit nur über Verdampfer eingebracht werden. Die Temperatur im Innenraum der Kabine darf 47° C nicht überschreiten.
(2) Die Dampfeinbringung hat so zu erfolgen, dass eine Verbrühungsgefahr vermieden wird.
(3) Der Innenraum einer Kabine eines Dampfbades hat glatte Oberflächen aufzuweisen. Die Kontaktflächen sind täglich vor Betriebsbeginn, in abgetrocknetem Zustand, einer Reinigung und Desinfektion zu unterziehen. Sitzflächen müssen so beschaffen sein, dass Feuchtigkeit selbstständig abfließen kann. Für die Reinigung der Oberflächen ist ein Spülschlauch anzubringen.
B. Innerbetriebliche Kontrolle von Saunaanlagen, Warmluft- und Dampfbädern
§ 65. Alle zum Betrieb von Saunaanlagen, Warmluft- und Dampfbädern gehörenden Einrichtungen sind regelmäßig auf ihre Funktionstüchtigkeit zu überprüfen und zu warten.
C. Behördliche Kontrolle von Saunaanlagen, Warmluft- und Dampfbädern
§ 66. (1) Die behördliche Kontrolle gemäß § 9 BHygG hat nach Möglichkeit unangemeldet sowie nach Maßgabe des § 9 Abs. 2 zweiter Satz BHygG zu erfolgen. Dabei ist über den Allgemeinzustand der Saunaanlage und/oder des Warmluft- und Dampfbades ein Ortsaugenschein vorzunehmen, der insbesondere zu umfassen hat:
- 1. Beurteilung der Saunaanlage und/oder des Warmluft- und Dampfbades einschließlich der zum Sauna- und/oder Badebetrieb gehörenden Nebeneinrichtungen im Hinblick auf die Gefährdung von Sauna- und Badegästen durch Hygienemängel und offensichtliche Unfallgefahren und
- 2. Beurteilung der Einhaltung der bäderhygienerechtlichen Bestimmungen einschließlich allfälliger behördlicher Auflagen.
(2) Ausgenommen in Fällen drohender Gefahr für die Gesundheit der Sauna- und Badegäste (§ 10 BHygG) sind auf Verlangen der Inhaberin oder des Inhabers der Saunaanlage und/oder des Warmluft- und Dampfbades vor einer Anordnung von Maßnahmen die Kontrollen zu wiederholen.
5. Abschnitt
Bäder an Oberflächengewässern
A. Allgemeine Anforderungen an Bäder an Oberflächengewässern
§ 67. Die zum Badebetrieb an einem Oberflächengewässer gehörenden Einrichtungen wie Umkleidegelegenheiten, Duschanlagen, WC-Anlagen, Saunaanlagen, Warmluft- und Dampfbäder, Solarien, Liegeflächen, Stege, Einstiegshilfen und Erste-Hilfe-Einrichtungen müssen hinsichtlich Anzahl, Ausstattung und Anordnung so beschaffen sein und in einer Weise instandgehalten werden, dass ein hygienisch einwandfreier Betrieb gewährleistet ist. Im Übrigen sind die bezughabenden Bestimmungen des 7. Abschnitts anzuwenden.
B. Behördliche Kontrolle von Bädern an Oberflächengewässern
§ 68. (1) Die behördliche Kontrolle gemäß § 9 BHygG hat nach Möglichkeit unangemeldet sowie nach Maßgabe des § 9 Abs. 2 zweiter Satz BHygG zu erfolgen. Dabei ist über den Allgemeinzustand des Bades ein Ortsaugenschein vorzunehmen, der insbesondere zu umfassen hat:
- 1. Beurteilung sämtlicher Einrichtungen des Bades im Hinblick auf die Gefährdung von Badegästen durch Hygienemängel und offensichtliche Unfallgefahren und
- 2. Beurteilung der Einhaltung der bäderhygienerechtlichen Bestimmungen einschließlich allfälliger behördlicher Auflagen.
(2) Ausgenommen in Fällen drohender Gefahr für die Gesundheit der Badegäste (§ 10 BHygG) sind auf Verlangen der Inhaberin oder des Inhabers des Bades vor einer Anordnung von Maßnahmen die Kontrollen zu wiederholen.
6. Abschnitt
Kleinbadeteiche
A. Allgemeine Anforderungen an Kleinbadeteiche
Kleinbadeteiche
§ 69. (1) Kleinbadeteiche sind künstliche Oberflächengewässer. Die Reinhaltung des Wassers erfolgt ausschließlich über ökosystemare Kreisläufe von Mikro- und Makroorganismen des Gewässers, die durch technische Maßnahmen unterstützt werden können.
(2) Zusätze und Eingriffe, die eine Schädigung der Biologie bewirken können, wie Desinfektionsmittel, UV-Bestrahlung, Ultraschallbehandlung, schwermetallhaltige Produkte, Fungizide, Algizide und dgl. sind unzulässig.
(3) Kleinbadeteiche dürfen ausschließlich im Freien errichtet und betrieben werden.
(4) Weder Füll- noch Badewasser darf künstlich erwärmt werden.
Badebereich und Regenerationsbereich
§ 70. Mindestens ein Drittel der Oberfläche des Kleinbadeteiches ist als bepflanzter Regenerationsbereich auszuführen und von der Badenutzung und vom Zutritt auszuschließen. Regenerationsbereich und Badebereich haben eine durchgehende Wasseroberfläche aufzuweisen.
Zusätzliche technische Einrichtungen
§ 71. Eine Wasseraufbereitung, wie sie in Beckenbädern erforderlich ist, darf in Kleinbadeteichen nicht erfolgen. Zusätzliche externe Einrichtungen wie Filter und Schönungsteiche sind zulässig, wenn sie geeignet sind, die ökologische Qualität (Funktionsfähigkeit) und hygienische Qualität des Gewässers zu verbessern. Sie ersetzen jedoch nicht den im Kleinbadeteich integrierten Regenerationsbereich und dürfen weder in die Berechnung der Nennbelastung noch in die Bemessung des Regenerationsbereichs einbezogen werden. Keinesfalls darf eine Aerosolbildung damit verbunden sein.
Nennbelastung
§ 72. (1) Die Nennbelastung eines Kleinbadeteiches ist die höchstzulässige Anzahl an Badegästen pro Tag. Die Nennbelastung errechnet sich aus der Summe des Wasservolumens von Badebereich und Regenerationsbereich des Kleinbadeteiches. Von diesem Gesamtwasservolumen müssen pro Badegast mindestens 10 m³ zur Verfügung stehen.
(2) Die Nennbelastung beträgt
Es bedeutet:
N = Nennbelastung in Personen pro Tag
V1 = Wasservolumen im Badebereich in m³
V2 = Wasservolumen im Regenerationsbereich in m³
Umgewälzte Wasservolumina und das Wasser aus allenfalls vorhandenen, zusätzlichen technischen Anlagen finden dabei keine Berücksichtigung.
(3) Die Nennbelastung darf nicht überschritten werden.
(4) Die Anzahl der sich gleichzeitig im Wasser des Kleinbadeteiches befindenden Badegäste darf maximal 20% der Nennbelastung betragen. Kurzfristige Überschreitungen sind zulässig.
Mittlere Wassertiefe, Mindestwassertiefe, Flachwasserbereiche, Attraktionen
§ 73. (1) Die mittlere Wassertiefe des Badebereiches hat mindestens 1,8 m zu betragen und berechnet sich wie folgt:
Es bedeuten:
Tm: Mittlere Wassertiefe
VWasser: Wasservolumen (des Badebereiches)
AWasser: Wasseroberfläche (des Badebereiches)
(2) Die Mindestwassertiefe des Badebereiches hat mit Ausnahme des unmittelbaren Uferbereiches 0,8 m zu betragen. Flachwasserbereiche, wie Kleinkinderbereiche oder Wasserspielplätze, sind in Kleinbadeteichen nicht zulässig.
(3) Attraktionen in Kleinbadeteichen sind nur insoweit zulässig, als durch sie keine zusätzliche kleinräumige Belastung eintreten kann. Der Betrieb von Wasserrutschen ist verboten.
Zutrittsbereiche
§ 74. Die Zutrittsbereiche eines Kleinbadeteiches müssen so gestaltet sein, dass eine Sedimentaufwirbelung weitestgehend unterbunden wird.
Möglichkeit der Zuspeisung von Füllwasser
§ 75. Es muss die Möglichkeit gegeben sein, einem Kleinbadeteich mindestens 5% des Gesamtvolumens an Füllwasser innerhalb von 24 Stunden zuzuspeisen.
Wasservögel, Fische
§ 76. (1) Kleinbadeteiche sind von Wasservögeln frei zu halten.
(2) Fische dürfen in einem Kleinbadeteich nicht ausgesetzt werden.
B. Anforderungen an die Wasserbeschaffenheit in Kleinbadeteichen
Füllwasser
§ 77. Das Wasser, mit dem Kleinbadeteiche gefüllt, die laufenden Wasserverluste ausgeglichen werden und mit dem die Wassererneuerung durchzuführen ist (Füllwasser), kann
- 1. einer Wasserversorgungsanlage gemäß Trinkwasserverordnung entnommen werden oder
- 2. aus Brunnen oder Quellen oder
- 3. aus oberirdischen Zuflüssen stammen.
Speisung aus Brunnen oder Quellen
§ 78. (1) Erfolgt die Speisung eines Kleinbadeteiches aus Brunnen oder Quellen, muss das Füllwasser folgenden Anforderungen entsprechen:
- 1. Es muss in seuchenhygienischer Hinsicht einwandfrei sein; dies gilt im Allgemeinen als eingehalten, wenn folgende mikrobiologische Anforderungen erfüllt sind:
- a) Escherichia coli: darf in 100 ml nicht nachweisbar sein,
- b) Enterokokken: dürfen in 100 ml nicht nachweisbar sein,
- 2. in chemischer Hinsicht dürfen keine Substanzen in Konzentrationen enthalten sein, die die Gesundheit der Badegäste gefährden können und
- 3. der Gesamtphosphorgehalt des Füllwassers darf 20 µg/l nicht überschreiten.
(2) Bei begründetem Verdacht sind weitere mikrobiologische und chemische Parameter in die Untersuchungen einzubeziehen.
Speisung aus oberirdischen Zuflüssen
§ 79. (1) Erfolgt die Speisung eines Kleinbadeteiches aus oberirdischen Zuflüssen, muss das Füllwasser folgenden Anforderungen entsprechen:
- 1. Es muss in seuchenhygienischer Hinsicht einwandfrei sein; dies gilt im Allgemeinen als eingehalten, wenn folgende mikrobiologische Anforderungen erfüllt sind:
- a) Escherichia coli: die Konzentration darf 30 in 100 ml nicht überschreiten,
- b) Enterokokken: die Konzentration darf 15 in 100 ml nicht überschreiten,
- c) Salmonellen: dürfen in 1 l nicht nachweisbar sein,
- 2. in chemischer Hinsicht:
- a) darf der Gesamtphosphorgehalt des Füllwassers 20 µg/l nicht überschreiten und
- b) dürfen keine Substanzen in Konzentrationen enthalten sein, die die Gesundheit der Badegäste gefährden können.
(2) Bei begründetem Verdacht sind weitere mikrobiologische und chemische Parameter in die Untersuchungen einzubeziehen.
Badewasser eines Kleinbadeteiches
§ 80. (1) Das Wasser, das sich in einem Kleinbadeteich befindet (Badewasser), muss folgenden Anforderungen entsprechen:
- 1. Es muss in seuchenhygienischer Hinsicht einwandfrei sein; dies gilt im Allgemeinen als eingehalten, wenn folgende mikrobiologische Anforderungen erfüllt sind:
- a) Escherichia coli: die Konzentration darf 100 in 100 ml nicht überschreiten,
- b) Enterokokken: die Konzentration darf 50 in 100 ml nicht überschreiten,
- c) Salmonellen: dürfen in 1 l nicht nachweisbar sein (diese Untersuchung ist dann durchzuführen, wenn Wasservögel vorhanden sind),
- d) Pseudomonas aeruginosa: die Konzentration darf 25 in 100 ml nicht überschreiten (diese Untersuchung ist nur dann durchzuführen, wenn das Badewasser über eine Filtereinrichtung geführt wird),
- 2. in chemisch-physikalischer Hinsicht:
- a) die Sichttiefe darf 2 m nicht unterschreiten,
- b) die Konzentration an gelöstem Sauerstoff hat mindestens 80% Sättigung O2 zu betragen,
- c) der pH-Wert darf 6 nicht unterschreiten und 9 nicht überschreiten und
- d) der Gesamtphosphorgehalt darf 20 µg/l nicht überschreiten.
(2) Bei begründetem Verdacht sind weitere mikrobiologische und chemische Parameter in die Untersuchungen einzubeziehen.
Untersuchungsmethoden
§ 81. Im Untersuchungsbefund muss die jeweils angewandte analytische Methode angegeben werden. Angewendet werden dürfen nur Analyse- und Prüfverfahren, die in Anlage 6 angeführt sind.
C. Hygienisch-technische Betriebsführung von Kleinbadeteichen
Badeordnung und Hinweise für Badegäste
§ 82. (1) Die Inhaberin oder der Inhaber eines Kleinbadeteiches hat zur Regelung eines einwandfreien Badebetriebes eine Badeordnung zu erlassen und an gut sichtbarer Stelle anzubringen. In der Badeordnung muss das von den Badegästen zum Schutz der Gesundheit, insbesondere in hygienischer Hinsicht, zu beachtende Verhalten geregelt sein.
(2) Sowohl die Nennbelastung des Kleinbadeteiches als auch die maximale Anzahl der Badegäste, die sich gleichzeitig im Badewasser des Kleinbadeteiches befinden dürfen, sind bei den Zugängen und im Uferbereich mittels eines deutlich sichtbaren Hinweises (Anlage 7) auszuweisen, welcher auch die Begründung, dass dies zur Aufrechterhaltung der hygienischen Bedingungen erforderlich ist, zu enthalten hat.
D. Innerbetriebliche Kontrolle von Kleinbadeteichen
Betriebstagebuch
§ 83. (1) Im Rahmen der innerbetrieblichen Kontrolle ist ein Betriebstagebuch zu führen, in das täglich folgende Daten und Messungen einzutragen sind:
- 1. Name der mit der Wahrnehmung des Schutzes der Gesundheit der Badegäste, insbesondere in hygienischer Hinsicht, betrauten Person;
- 2. Ergebnisse der Messungen der Sichttiefe sowie der Wassertemperatur und Lufttemperatur, gemessen jeweils um 10 Uhr und um 15 Uhr; die Messungen der Wassertemperatur sind ca. 30 cm unter der Wasseroberfläche an einer repräsentativen Stelle durchzuführen;
- 3. die tägliche Gesamtbesucherzahl (auszudrücken durch: stark, mittel oder schwach) und die Anzahl der Badegäste, die sich um 15 Uhr im Badewasser des Kleinbadeteiches befindet;
- 4. besondere Betriebsereignisse.
(2) Die Betriebstagebücher sind drei Jahre ab der letzten Eintragung aufzubewahren.
Jährlich einzuholendes wasserhygienisches Gutachten
§ 84. (1) Das gemäß § 14 Abs. 2 BHygG von der Inhaberin oder dem Inhaber eines Kleinbadeteiches von einer oder einem Sachverständigen der Hygiene gemäß § 14 Abs. 3 Z 1 BHygG einmal jährlich einzuholende wasserhygienische Gutachten über die Beschaffenheit des Wassers im Kleinbadeteich umfasst eine zusammenfassende Beurteilung am Ende der jährlichen Betriebszeit (§ 2 Z 20) der Ergebnisse der in den nachfolgenden Z 1 bis 3 angeführten Untersuchungen:
- 1. vor Beginn der jährlichen Betriebszeit
- a) eine Untersuchung des Füllwassers hinsichtlich der Parameter
- aa) Escherichia coli
- bb) Enterokokken
- cc) Salmonellen (diese Untersuchung ist nur erforderlich, wenn die Speisung aus oberirdischen Zuflüssen erfolgt)
- dd) Gesamtphosphor
- b) eine Untersuchung des Badewassers hinsichtlich der unter Z 2 angeführten Parameter;
- a) eine Untersuchung des Füllwassers hinsichtlich der Parameter
- 2. während der jährlichen Betriebszeit Untersuchungen des Badewassers, mindestens einmal monatlich (in möglichst gleichmäßigen Intervallen), möglichst zu Zeiten starken Badebesuchs und frühestens drei Stunden nach Beginn des Badebetriebs hinsichtlich der Parameter:
- a) Wassertemperatur,
- b) pH-Wert,
- c) gelöster Sauerstoff (%-Sättigung O2),
- d) Gesamtphosphor,
- e) bakteriologische Parameter:
- aa) Escherichia coli,
- bb) Enterokokken,
- cc) Salmonellen,
- f) Färbung (anormale Änderung der Färbung),
- g) Sichttiefe,
- h) Mineralöle (Film, Geruch),
- i) Tenside (Schaumbildung),
- j) Festkörper (wie schwimmende Gegenstände, Bruch, Splitter);
- 3. während der jährlichen Betriebszeit Untersuchungen des Badewassers beim Ablauf einer allenfalls vorhandenen Filtereinrichtung vor Wiedereintritt in den Kleinbadeteich, einmal monatlich (in möglichst gleichmäßigen Intervallen), möglichst zu Zeiten starken Badebesuchs und frühestens drei Stunden nach Beginn des Badebetriebs hinsichtlich der Parameter:
- a) Wassertemperatur,
- b) pH-Wert,
- c) gelöster Sauerstoff (%-Sättigung O2),
- d) Gesamtphosphor,
- e) bakteriologische Parameter:
- aa) Escherichia coli,
- bb) Enterokokken,
- cc) Pseudomonas aeruginosa,
- f) Färbung (anormale Änderung der Färbung).
(2) Der Ortsaugenschein, die Probenahme und die Messungen vor Ort (Anlage 10) dürfen nur durch die oder den mit der Erstellung des wasserhygienischen Gutachtens betraute Sachverständige oder betrauten Sachverständigen der Hygiene gemäß § 14 Abs. 3 Z 1 BHygG oder eine beauftragte dafür hinreichend qualifizierte Person gemäß § 14 Abs. 4 BHygG vorgenommen werden und müssen unangemeldet während der Betriebszeit und nach Maßgabe des § 9 Abs. 2 zweiter Satz BHygG erfolgen.
§ 85. (1) Die Untersuchungen der Wasserproben haben jedenfalls die in § 84 angeführten Parameter zu umfassen. Erforderlichenfalls sind die Untersuchungen durch weitere mikrobiologische und chemische Untersuchungen zu ergänzen.
(2) Ergibt eine Untersuchung gemäß § 84 Abs. 1, dass die Beschaffenheit des Wassers des Kleinbadeteiches nicht den Anforderungen dieser Verordnung entspricht, ist § 14 Abs. 5 und 6 BHygG anzuwenden. Die Betriebsinhaberin oder der Betriebsinhaber hat unverzüglich die Behebung des Mangels zu veranlassen und die Wirksamkeit der Maßnahme durch eine umgehende Wiederholung der jeweiligen Untersuchung gemäß § 84 Abs. 1 und ein neuerliches wasserhygienisches Gutachten zu überprüfen. Wiederholungsuntersuchungen sind zusätzliche Untersuchungen und ersetzen nicht die erforderlichen monatlichen Untersuchungen.
(3) Die Eignung des Wassers des Kleinbadeteiches für Badezwecke ist von der oder dem Sachverständigen der Hygiene im wasserhygienischen Gutachten unter Berücksichtigung der Ortsbefunde, der Messungen vor Ort und der Gesamtheit der untersuchten Parameter zu beurteilen. Neben den bakteriologischen und chemisch-physikalischen Befunden sind hierbei auch andere zu einer Gesamtbeurteilung erforderliche Kriterien, wie die zum Zeitpunkt der Probenahme erreichte Besucherzahl, zu berücksichtigen.
(4) Im wasserhygienischen Gutachten muss in der Gesamtbeurteilung klar zum Ausdruck kommen, ob
- 1. das Wasser des Kleinbadeteiches eine solche Beschaffenheit aufweist, dass für den Schutz der Gesundheit der Badegäste, insbesondere in hygienischer Hinsicht, in ausreichendem Maße Vorsorge getroffen wird; hierbei ist festzuhalten, ob
- a) das Wasser den im 6. Abschnitt, Teil B (Anforderungen an die Wasserbeschaffenheit in Kleinbadeteichen), enthaltenen Anforderungen entspricht,
- b) festgestellte Abweichungen von diesen Anforderungen, allenfalls bei sofortiger Setzung von Maßnahmen, im Rahmen der Gesamtbeurteilung toleriert werden können oder ob
- 2. die Anforderungen nach Z 1 nicht erfüllt werden.
(5) In den Fällen des Abs. 4 Z 1 lit. b und Z 2 sind im Gutachten die Mängel anzuführen und nach Möglichkeit Maßnahmen zu deren Beseitigung vorzuschlagen.
(6) Wasserhygienische Gutachten gemäß § 14 Abs. 2 und 5 BHygG sind von der Betreiberin oder dem Betreiber unverzüglich nach Vorliegen in einer Ausfertigung der Bezirksverwaltungsbehörde vorzulegen; darüber hinaus sind diese dem Betriebstagebuch anzuschließen; auf Verlangen der Bezirksverwaltungsbehörde oder der oder des Sachverständigen der Hygiene ist in diese Einsicht zu gewähren.
E. Behördliche Kontrolle von Kleinbadeteichen
Überprüfungen vor Erteilung der Betriebsbewilligung
§ 86. Vor Erteilung der Betriebsbewilligung hat die Bezirksverwaltungsbehörde folgende von der Antragstellerin oder dem Antragsteller beizubringende und von einer dazu berechtigten Person erstellte Nachweise zu prüfen:
- 1. Abnahmeprüfung hinsichtlich des ordnungsgemäßen und betriebssicheren Zustandes sowie hinsichtlich der bescheidmäßigen Errichtung des Kleinbadeteiches;
- 2. sofern in einem Kleinbadeteich Ablauföffnungen vorhanden sind, über die Badewasser angesaugt oder abgeleitet wird, umfasst die Abnahmeprüfung nach Z 1 auch die Überprüfung der Nutzungssicherheit dieser Ansaugstellen durch eine Haarfangprüfung.
Kontrolle während des Betriebs
§ 87. (1) Die behördliche Kontrolle gemäß § 9 BHygG hat nach Möglichkeit unangemeldet, nach Maßgabe des § 9 Abs. 2 zweiter Satz BHygG, zu erfolgen. Dabei ist über den Allgemeinzustand des Kleinbadeteiches ein Ortsaugenschein vorzunehmen, der insbesondere zu umfassen hat:
- 1. Beurteilung des Kleinbadeteiches einschließlich der zum Badebetrieb gehörenden Nebeneinrichtungen im Hinblick auf die Gefährdung von Badegästen durch Hygienemängel und offensichtliche Unfallgefahren,
- 2. Beurteilung der Einhaltung allfälliger behördlicher Auflagen und
- 3. Einsicht in die Aufzeichnungen der innerbetrieblichen Kontrolle und der vom Inhaber des Kleinbadeteiches eingeholten wasserhygienischen Gutachten.
(2) Bestehen begründete Bedenken, dass die Beschaffenheit des Wassers des Kleinbadeteiches nicht den Anforderungen dieser Verordnung entspricht, ist von der Bezirksverwaltungsbehörde ein wasserhygienisches Gutachten zu veranlassen.
7. Abschnitt
Allgemeine Anforderungen an die Ausstattung und hygienisch-technische Betriebsführung von Bädern, Warmsprudelwannen, Saunaanlagen, Warmluft- und Dampfbädern und Kleinbadeteichen
Gewährleistung eines hygienisch einwandfreien Betriebs
§ 88. (1) Die zum Badebetrieb gehörenden Nebeneinrichtungen wie Saunaanlagen, Warmluft- und Dampfbäder, Umkleidegelegenheiten, Duschanlagen, WC-Anlagen, Solarien, Liegeflächen, Stege, Einstiegshilfen und Erste-Hilfe-Einrichtungen müssen hinsichtlich Anzahl, Ausstattung und Anordnung so beschaffen sein und in einer Weise instandgehalten werden, dass ein hygienisch einwandfreier Betrieb gewährleistet ist.
(2) Im Bereich der gesamten Badeanlage, Saunaanlage und des Warmluft- und Dampfbades ist laufend auf Sauberkeit zu achten.
(3) In allen Räumen eines Badebetriebes muss ein ausreichender und zugfreier Luftwechsel gewährleistet sein, um eine Anreicherung flüchtiger Stoffe zu vermeiden.
(4) In der Schwimmhalle muss durch ausreichende Schalldämmung dafür gesorgt sein, dass die Lärmeinwirkung auf die Badegäste möglichst gering gehalten wird.
Begehbare Flächen
§ 89. Begehbare Flächen müssen mit Ausnahme von Naturböden in Freibädern und Flächen, die der unmittelbaren Sonnenbestrahlung ausgesetzt sind, leicht zu reinigende, desinfizierbare und leicht trocknende Oberflächen besitzen.
Wände
§ 90. Wände von Schwimmhallen sind im Beckenbereich bis in eine Höhe von mindestens 1,6 m mit leicht zu reinigenden und leicht zu desinfizierenden Oberflächen zu versehen.
Einrichtungsgegenstände und Einbauten
§ 91. (1) Einrichtungsgegenstände und Einbauten in Bädern, Saunaanlagen, Warmluft- und Dampfbädern und Kleinbadeteichanlagen, mit denen die Badegäste oder Gäste einer Saunaanlage oder eines Warmluft- oder Dampfbades direkt in Berührung kommen, wie Bänke, Umkleidegelegenheiten, Liegen in Ruheräumen, Solarien oder Massageräumen, müssen leicht zu reinigen, zu desinfizieren und leicht trocken zu halten sein. Außerhalb von Saunakabinen und Kabinen von Warmluftbädern bestehende Sitz- und Liegegelegenheiten aus Holz sind glattzuschleifen, porendicht zu versiegeln und in diesem Zustand zu halten.
(2) Eine ausreichende Anzahl von zweckentsprechenden Abfallbehältern ist in hygienisch einwandfreier Weise aufzustellen bzw. anzubringen; für eine zeitgerechte Entleerung ist zu sorgen.
(3) Es darf nur gründlich gereinigte und desinfizierte Wäsche ausgegeben werden.
Umkleidegelegenheiten
§ 92. Umkleidegelegenheiten müssen in einer solchen Anzahl und Ausstattung zur Verfügung gestellt werden, dass ein hygienisch einwandfreier Betrieb gewährleistet ist. In den Umkleidegelegenheiten müssen Aufhängevorrichtungen für die Kleidung und eine Aufbewahrungsmöglichkeit für Schuhe vorhanden sein.
Nassräume, Duschanlagen, WC-Anlagen
§ 93. (1) Nassräume wie Duschanlagen und WC-Anlagen müssen in einer solchen Anzahl und Ausstattung zur Verfügung gestellt werden, dass ein hygienisch einwandfreier Betrieb gewährleistet ist. Sie müssen insbesondere folgenden Anforderungen entsprechen:
- 1. Wände bis in eine Höhe von 1,8 m und Fußböden müssen mit einem schmutzabweisenden, leicht abwasch- und desinfizierbaren sowie leicht trocknenden Material versehen sein,
- 2. WC-Anlagen sind mit Kunststoffsitzbrillen auszustatten; Toilettepapier ist unentgeltlich zur Verfügung zu stellen,
- 3. im Bereich der WC-Anlagen sind Handwaschbecken einzurichten.
(2) Im Barfußbereich dürfen keine Holzroste und nur desinfizierbare Böden verwendet werden.
(3) Duschen müssen überschaubar angeordnet und sowohl vom Umkleidebereich als auch von Badebecken, Kleinbadeteichen oder Badegewässern leicht erreichbar sein.
(4) WC-Anlagen müssen überschaubar angeordnet und sowohl im Eingangsbereich als auch im Umkleidebereich sowie von Badebecken, Kleinbadeteichen oder Badegewässern leicht erreichbar sein und unentgeltlich zur Verfügung stehen.
§ 94. (1) Die Fußböden im Bereich von Duschanlagen, WC-Anlagen und Umkleideräumen sind mindestens einmal täglich einer mechanischen Reinigung und einer Wischdesinfektion zu unterziehen. Als Desinfektionsmittel sind hiefür solche zu verwenden, die gegen Bakterien, Pilze und Viren nachweislich wirksam sind.
(2) Insbesondere in den Duschanlagen, WC-Anlagen und Umkleideräumen ist auch während der Öffnungszeiten für die laufende Reinhaltung in entsprechender Weise zu sorgen. Hierbei ist auf die größtmögliche Trockenhaltung der Fußböden besonders zu achten.
Erste-Hilfe-Raum
§ 95. In allen Bädern und Kleinbadeteichanlagen muss ausreichend Raum vorhanden sein, an dem Erste Hilfe geleistet werden kann. Neben der Ersichtlichmachung der Telefonnummern von Arzt, Rettung und Feuerwehr muss eine ausreichende Erste-Hilfe-Ausrüstung vorhanden sein.
Badeordnung
§ 96. (1) Die Inhaberin oder der Inhaber eines Bades, einer Einrichtung mit Warmsprudelwanne (Whirlwanne), einer Saunaanlage, eines Warmluft- oder Dampfbades oder Kleinbadeteiches hat zur Regelung eines einwandfreien Bade- und/oder Saunabetriebes eine Badeordnung zu erlassen und an gut sichtbarer Stelle anzubringen. In einer Badeordnung muss das von den Badegästen, Gästen einer Saunaanlage und Gästen eines Warmluft- oder Dampfbades zum Schutz der Gesundheit, insbesondere in hygienischer Hinsicht, zu beachtende Verhalten geregelt sein. Dies gilt nicht für Inhaberinnen und Inhaber von Einrichtungen, die auf dem Gebiet der natürlichen Heilvorkommen und des Kurortewesens und der Heil- und Pflegeanstalten betrieben werden.
(2) Der von der Inhaberin oder dem Inhaber mit dem Badegast oder dem Gast einer Saunaanlage oder eines Warmluft- oder Dampfbades abgeschlossene Vertrag hat auch die Badeordnung (Abs. 1) und bei Kleinbadeteichen zusätzlich die im Hinweis nach Anlage 7 enthaltenen Festlegungen zu umfassen.
(3) In Bezug auf das in hygienischer Hinsicht zu beachtende Verhalten bei Warmsprudelwannen (Whirlwannen) hat die in unmittelbarer Nähe der Warmsprudelwanne (Whirlwanne) anzubringende Badeordnung unter Bezugnahme auf diese Verordnung die Hinweise zu enthalten,
- 1. dass die Benützung einer Warmsprudelwanne (Whirlwanne) mangels einer Aufbereitung des Badewassers nur für eine Person pro Badevorgang vorgesehen ist,
- 2. dass aus hygienischen Gründen vor Benützung durch die nächste Person in jedem Fall eine Desinfektion des Wannenkreislaufs durch das Betriebspersonal durchzuführen ist, sofern die Warmsprudelwanne (Whirlwanne) nicht über eine automatische Desinfektionseinrichtung verfügt,
- 3. ob - je nach Desinfektionsverfahren des Wannenkreislaufs - und gegebenenfalls welche Zusatzstoffe zum Badewasser verwendet werden dürfen und
- 4. dass durch unzulässige oder unsachgemäße Verwendung von Zusatzstoffen der Wannenkreislauf nachhaltig verunreinigt werden kann.
8. Abschnitt
Übergangs- und Schlussbestimmungen
Vorschreibung weitergehender Maßnahmen
§ 97. Unbeschadet der den Sachverständigen der Hygiene gemäß den §§ 43 Abs. 4 Z 1 lit. b, 58 Abs. 4 Z 1 lit. b und 85 Abs. 4 Z 1 lit. b, hinsichtlich der Gesamtbeurteilung im wasserhygienischen Gutachten eingeräumten Möglichkeiten, festgestellte Abweichungen zu tolerieren, hat die Bezirksverwaltungsbehörde, wenn es zum Schutz der Gesundheit der Badegäste, der Gäste einer Saunaanlage oder eines Warmluft- oder Dampfbades, insbesondere in hygienischer Hinsicht erforderlich ist, über die Vorschriften dieser Verordnung hinausgehende Maßnahmen vorzuschreiben.
Bäderhygienerechtlich bewilligte und gewerberechtlich genehmigte Hallenbäder und künstliche Freibäder
§ 98. (1) Bäder, die zum Zeitpunkt des Inkrafttretens des Bäderhygienegesetzes, BGBl. Nr. 254/1976, (1. Jänner 1977) bereits eine Bewilligung nach der Bauordnung hatten und für welche bis zum Inkrafttreten dieser Verordnung (106 Abs. 1) Abweichungen von der Beckenwasserbeschaffenheit gemäß § 4 der Bäderhygieneverordnung BGBl. II Nr. 420/1998 zulässig waren, haben den Anforderungen an die Wasserbeschaffenheit gemäß den §§ 5, 6 und 7 dieser Verordnung bis spätestens 1. Juli 2013 zu entsprechen.
(2) Für Bäder im Sinne des Abs. 1 sind Abweichungen von den technischen Anforderungen gemäß den §§ 4, 15 bis 23, 26 bis 28, 30 und 38 zulässig, wenn durch flankierende Maßnahmen der Schutz der Gesundheit der Badegäste, insbesondere die im zweiten Abschnitt, Teil B, geforderte Wasserbeschaffenheit gewährleistet ist.
(3) Bereits zum Zeitpunkt des Inkrafttretens der Bäderhygieneverordnung BGBl. II Nr. 420/1998 (1. Dezember 1998) nach bäderhygienerechtlichen Vorschriften bewilligte oder gewerberechtlichen Vorschriften genehmigte Hallenbäder und künstliche Freibäder, die den bis zu diesem Zeitpunkt geltenden bäderhygienerechtlichen oder gewerberechtlichen Vorschriften entsprochen haben, dürfen - mit Ausnahme der Anforderungen an die Wasserbeschaffenheit gemäß den §§ 5, 6 und 7 - in diesem Umfang entsprechend der Verordnung über Hygiene in Bädern, BGBl. Nr. 495/1978, in der Fassung BGBl. Nr. 396/1992, weiterbetrieben werden; den Anforderungen an die Wasserbeschaffenheit gemäß den §§ 5, 6 und 7 dieser Verordnung müssen diese Bäder bis spätestens 1. Juli 2013 entsprechen.
(4) Bereits zum Zeitpunkt des Inkrafttretens dieser Verordnung (§ 106 Abs. 1) und nach Inkrafttreten der Bäderhygieneverordnung BGBl. II Nr. 420/1998 (1. Dezember 1998) nach bäderhygienerechtlichen Vorschriften bewilligte oder gewerberechtlichen Vorschriften genehmigte Hallenbäder und künstliche Freibäder, die den bis zum Inkrafttreten dieser Verordnung geltenden bäderhygienerechtlichen oder gewerberechtlichen Vorschriften entsprechen, dürfen - mit Ausnahme der Anforderungen an die Wasserbeschaffenheit gemäß den §§ 5, 6 und 7 und die nach dieser Verordnung zugelassenen Desinfektionsmittel und Aufbereitungsverfahren - in diesem Umfang entsprechend der Bäderhygieneverordnung BGBl. II Nr. 420/1998, in der Fassung BGBl. II Nr. 349/2009, weiterbetrieben werden; den Anforderungen an die Wasserbeschaffenheit gemäß den §§ 5, 6 und 7 dieser Verordnung müssen diese bis spätestens 1. Juli 2013 entsprechen.
Wasserbeschaffenheit von Becken (Badewassererwärmung)
§ 99. Bei bereits zum Zeitpunkt des Inkrafttretens dieser Verordnung (§ 106 Abs. 1) nach bäderhygienerechtlichen Vorschriften bewilligten oder gewerberechtlichen Vorschriften genehmigten direkten Badewassererwärmungen über Solaranlagen, die § 6 Abs. 2 nicht entsprechen, hat der Rücklauf vor Wiedereintritt in den Badewasserkreislauf folgenden Anforderungen zu entsprechen:
- 1. Pseudomonas aeruginosa: darf in 100 ml nicht nachweisbar sein,
- 2. Legionellen: dürfen in 100 ml nicht nachweisbar sein.
Bäderhygienerechtlich bewilligte und gewerberechtlich genehmigte Saunaanlagen
§ 100. (1) Bereits zum Zeitpunkt des Inkrafttretens der Bäderhygieneverordnung BGBl. II Nr. 420/1998 (1. Dezember 1998) nach bäderhygienerechtlichen Vorschriften bewilligte oder gewerberechtlichen Vorschriften genehmigte Saunaanlagen, die den bis zu diesem Zeitpunkt geltenden bäderhygienerechtlichen oder gewerberechtlichen Vorschriften entsprochen haben, dürfen in diesem Umfang und entsprechend ihrer Bewilligung weiterbetrieben werden.
(2) Bereits zum Zeitpunkt des Inkrafttretens dieser Verordnung (§ 106 Abs. 1) und nach Inkrafttreten der Bäderhygieneverordnung BGBl. II Nr. 420/1998 (1. Dezember 1998) nach bäderhygienerecthlichen Vorschriften bewilligte oder gewerberechtlichen Vorschriften genehmigte Saunaanlagen, die den bis zum Zeitpunkt des Inkrafttretens dieser Verordnung geltenden bäderhygienerechtlichen oder gewerberechtliches Vorschriften entsprechen, dürfen in diesem Umfang entsprechend der Bäderhygieneverordnung BGBl. II Nr. 420/1998, in der Fassung BGBl. II Nr. 349/2009, weiterbetrieben werden.
Gewerberechtlich nicht genehmigungspflichtige Anlagen
§ 101. Alle bis zum Inkrafttreten des Bäderhygienegesetzes in der Fassung der Novelle BGBl. Nr. 658/1996 gewerberechtlich nicht genehmigungspflichtige Anlagen gemäß § 1 Abs. 4 des Bäderhygienegesetzes in der Fassung der Novelle BGBl. I Nr. 64/2009, die seit Inkrafttreten des Bäderhygienegesetzes in der Fassung der Novelle BGBl. Nr. 658/1996 genehmigungspflichtig wären und im Übrigen den bis zum Zeitpunkt des Inkrafttretens der Bäderhygieneverordnung BGBl. II Nr. 420/1998 (1. Dezember 1998) geltenden gewerberechtlichen Vorschriften entsprachen, dürfen - mit Ausnahme der Anforderungen an die Wasserbeschaffenheit gemäß den §§ 5, 6 und 7 und 77 bis 80 dieser Verordnung - im Umfang und entsprechend der Verordnung über Hygiene in Bädern, BGBl. Nr. 495/1978, in der Fassung BGBl. Nr. 396/1992, weiterbetrieben werden, soweit diese auf einzelne Anlagen des § 1 Abs. 4 des Bäderhygienegesetzes in der Fassung der Novelle BGBl. I Nr. 64/2009, anwendbar war; den Anforderungen an die Wasserbeschaffenheit gemäß den §§ 5, 6 und 7 oder 77 bis 80 müssen Becken und Kleinbadeteiche bis spätestens 1. Juli 2013 entsprechen.
Nach den Rechtsvorschriften auf den Gebieten der natürlichen Heilvorkommen und des Kurortewesens oder der Heil- und Pflegeanstalten bewilligte Bäder und Warmsprudelwannen (Whirlwannen)
§ 102. (1) Bereits zum Zeitpunkt des Inkrafttretens der Bäderhygieneverordnung BGBl. II Nr. 420/1998 (1. Dezember 1998) nach den Rechtsvorschriften auf den Gebieten der natürlichen Heilvorkommen und des Kurortewesens oder der Heil- und Pflegeanstalten bewilligte Bäder, die den bis zu diesem Zeitpunkt geltenden bäderhygienerechtlichen und auf den Gebieten der natürlichen Heilvorkommen und des Kurortewesens oder der Heil- und Pflegeanstalten geltenden Vorschriften entsprachen, dürfen - mit Ausnahme der Anforderungen an die Wasserbeschaffenheit gemäß den §§ 5, 6 und 7 dieser Verordnung und die nach dieser Verordnung zugelassenen Desinfektionsmittel und Aufbereitungsverfahren - in diesem Umfang weiterbetrieben werden; den Anforderungen an die Wasserbeschaffenheit gemäß den §§ 5, 6 und 7 dieser Verordnung müssen diese Bäder bis spätestens 1. Juli 2013 entsprechen. § 1 Abs. 3 ist anzuwenden.
(2) Bereits zum Zeitpunkt des Inkrafttretens dieser Verordnung (§ 106 Abs. 1) und nach Inkrafttreten der Bäderhygieneverordnung BGBl. II Nr. 420/1998 (1. Dezember 1998) nach den Rechtsvorschriften auf den Gebieten der natürlichen Heilvorkommen und des Kurortewesens oder der Heil- und Pflegeanstalten bewilligte Bäder, die den bis zu diesem Zeitpunkt geltenden bäderhygienerechtlichen und auf den Gebieten der natürlichen Heilvorkommen und des Kurortewesens oder der Heil- und Pflegeanstalten geltenden Vorschriften entsprechen, dürfen - mit Ausnahme der Anforderungen an die Wasserbeschaffenheit gemäß den §§ 5, 6 und 7 dieser Verordnung und die nach dieser Verordnung zugelassenen Desinfektionsmittel und Aufbereitungsverfahren - in diesem Umfang weiterbetrieben werden; den Anforderungen an die Wasserbeschaffenheit gemäß den §§ 5, 6 und 7 dieser Verordnung müssen diese Bäder bis spätestens 1. Juli 2013 entsprechen. § 1 Abs. 3 ist anzuwenden.
(3) Bereits zum Zeitpunkt des Inkrafttretens dieser Verordnung (§ 106 Abs. 1) nach den Rechtsvorschriften auf den Gebieten der natürlichen Heilvorkommen und des Kurortewesens oder der Heil- und Pflegeanstalten bewilligte Warmsprudelwannen (Whirlwannen) müssen, sofern sie nicht als Therapiewannen dem Medizinproduktegesetz, BGBl. I Nr. 657/1996, in der jeweils geltenden Fassung, unterliegen, dieser Verordnung - mit Ausnahme der Anforderungen an die Wasserbeschaffenheit gemäß den §§ 47, 48 und 51 Abs. 4 und mit Ausnahme von § 46 Abs. 3 und § 53 - bis spätestens 1. Juli 2013 entsprechen.
(4) Den Anforderungen an die Wasserbeschaffenheit gemäß den §§ 47, 48 und 51 Abs. 4 müssen diese Warmsprudelwannen (Whirlwannen) bis spätestens 1. Jänner 2013 entsprechen.
(5) Erbringt das jährlich einzuholende wasserhygienische Gutachten (§§ 57 und 58) einwandfreie Ergebnisse, ist der Anforderung gemäß § 46 Abs. 3 bis spätestens 1. Jänner 2020 zu entsprechen.
(6) Ab 1. Jänner 2020 dürfen Warmsprudelwannen (Whirlwannen) ohne automatische Dosieranlage gemäß § 53 nicht mehr betrieben werden.
Bäderhygienerechtlich bewilligte und gewerberechtlich genehmigte Warmsprudelbäder (Whirl Pools), Warmluft- und Dampfbäder sowie Kleinbadeteiche
§ 103. (1) Bereits zum Zeitpunkt des Inkrafttretens der Bäderhygieneverordnung BGBl. II Nr. 420/1998 (1. Dezember 1998) nach bäderhygienerechtlichen Vorschriften bewilligte oder nach gewerberechtlichen Vorschriften genehmigte Warmsprudelbäder (Whirl Pools), Warmluft- und Dampfbäder sowie Kleinbadeteiche dürfen - mit Ausnahme der Anforderungen an die Wasserbeschaffenheit gemäß den §§ 5, 6 und 7 oder 77 bis 80 dieser Verordnung und die nach dieser Verordnung zugelassenen Desinfektionsmittel und Aufbereitungsverfahren - in diesem Umfang weiterbetrieben werden; den Anforderungen an die Wasserbeschaffenheit gemäß den §§ 5, 6 und 7 oder 77 bis 80 dieser Verordnung müssen Warmsprudelbäder (Whirl Pools) und Kleinbadeteiche bis spätestens 1. Juli 2013 entsprechen.
(2) Bereits zum Zeitpunkt des Inkrafttretens dieser Verordnung (§ 106 Abs. 1) nach bäderhygienerechtlichen Vorschriften bewilligte oder gewerberechtlichen Vorschriften genehmigte Warmsprudelbäder (Whirl Pools), Warmluft- und Dampfbäder sowie Kleinbadeteiche, deren Bewilligung oder Genehmigung nach Inkrafttreten der Bäderhygieneverordnung BGBl. II Nr. 420/1998 (1. Dezember 1998) erteilt wurde, dürfen - mit Ausnahme der Anforderungen an die Wasserbeschaffenheit gemäß den §§ 5, 6 und 7 oder 77 bis 80 dieser Verordnung und die nach dieser Verordnung zugelassenen Desinfektionsmittel und Aufbereitungsverfahren - in diesem Umfang weiterbetrieben werden; den Anforderungen an die Wasserbeschaffenheit gemäß den §§ 5, 6 und 7 oder 77 bis 80 dieser Verordnung müssen Warmsprudelbäder (Whirl Pools) und Kleinbadeteiche bis spätestens 1. Juli 2013 entsprechen.
Bäderhygienerechtlich bewilligte Warmsprudelwannen (Whirlwannen)
§ 104. Bereits zum Zeitpunkt des Inkrafttretens dieser Verordnung (§ 106 Abs. 1) nach bäderhygienerechtlichen Vorschriften bewilligte Warmsprudelwannen (Whirlwannen) müssen, sofern sie nicht als Therapiewannen dem Medizinproduktegesetz, BGBl. I Nr. 657/1996, in der Fassung BGBl. I Nr. 143/2009, unterliegen, den Anforderungen an die Wasserbeschaffenheit gemäß den §§ 47, 48 und 51 Abs. 4 bis spätestens 1. November 2012 entsprechen.
Gewerberechtlich genehmigte Warmsprudelwannen (Whirlwannen)
§ 105. (1) Bereits zum Zeitpunkt des Inkrafttretens dieser Verordnung (§ 106 Abs. 1) nach gewerberechtlichen Vorschriften genehmigte Warmsprudelwannen (Whirlwannen) müssen, sofern sie nicht als Therapiewannen dem Medizinproduktegesetz unterliegen, dieser Verordnung mit Ausnahme der Anforderungen an die Wasserbeschaffenheit gemäß den §§ 47, 48 und 51 Abs. 4 und mit Ausnahme von § 46 Abs. 3 und § 53 bis spätestens 1. Juli 2013 entsprechen.
(2) Den Anforderungen an die Wasserbeschaffenheit gemäß den §§ 47, 48 und 51 Abs. 4 müssen diese Warmsprudelwannen (Whirlwannen) bis spätestens 1. Jänner 2013 entsprechen.
(3) Erbringt das jährlich einzuholende wasserhygienische Gutachten (§§ 57 und 58) einwandfreie Ergebnisse, ist der Anforderung gemäß § 46 Abs. 3 bis spätestens 1. Jänner 2020 zu entsprechen.
(4) Ab 1. Jänner 2020 dürfen Warmsprudelwannen (Whirlwannen) ohne automatische Dosieranlage gemäß § 53 nicht mehr betrieben werden.
Inkrafttreten
§ 106. (1) Die Bäderhygieneverordnung 2012, BGBl. II Nr. 321/2012, tritt mit 1. Oktober 2012 in Kraft.
(2) Die Bäderhygieneverordnung BGBl. II Nr. 420/1998 tritt mit Ablauf des 30. September 2012 außer Kraft, soweit sich aus den §§ 98 bis 105 nichts anderes ergibt.
§ 107. Diese Verordnung wurde unter Einhaltung der Bestimmungen der Richtlinie 98/34/EG über ein Informationsverfahren auf dem Gebiet der Normen und technischen Vorschriften und der Vorschriften für die Dienste der Informationsgesellschaft, ABl. Nr. L 204 vom 21.07.1998 S. 37, zuletzt geändert durch die Richtlinie 2006/96/EG , ABl. Nr. L 363 vom 20.12.2006 S. 81, der Europäischen Kommission unter Notifikationsnummer 2012/371/A, notifiziert.
Anlage 1
Anlage 2
Anlage 3
Anlage 4
Anlage 5
Anlage 6
Anlage 7
Anlage 8
Anlage 9
Anlage 10
Stöger
Lizenziert vom RIS (ris.bka.gv.at - CC BY 4.0 DEED)
