77. Bundesgesetz, mit dem das Immissionsschutzgesetz-Luft und das Bundesluftreinhaltegesetz geändert werden und das Bundesgesetz über ein Verbot des Verbrennens biogener Materialien außerhalb von Anlagen aufgehoben wird
Der Nationalrat hat beschlossen:
Artikel I
Änderung des Immissionsschutzgesetzes - Luft
Das Bundesgesetz zum Schutz vor Immissionen durch Luftschadstoffe (Immissionsschutzgesetz - Luft, IG-L), BGBl. I Nr. 115/1997, zuletzt geändert durch das Bundesgesetz BGBl. I Nr. 70/2007 und die Bundesministeriengesetz-Novelle 2009, BGBl. I Nr. 3, wird wie folgt geändert:
1. Im Inhaltsverzeichnis lautet der Eintrag zu § 3 „Immissionsgrenzwerte und Vorgaben in Bezug auf PM2,5“.
2. Im Inhaltsverzeichnis werden nach dem Eintrag zu § 3 folgende Einträge eingefügt:
„§ 3a.: Verpflichtung in Bezug auf den AEI
§ 3b.: Nationales Ziel für die Reduzierung des AEI“
3. Im Inhaltsverzeichnis lautet der Eintrag zu § 9c „Umweltprüfung und Beteiligung der Öffentlichkeit“.
4. Im Inhaltsverzeichnis lautet der Eintrag zu § 10 „Anordnung von Maßnahmen“.
5. Im Inhaltsverzeichnis wird der Eintrag zu § 10a durch folgenden Eintrag ersetzt:
„§ 10a.: (entfallen)“
6. Im Inhaltsverzeichnis lautet der Eintrag zu § 14 „Maßnahmen für Kraftfahrzeuge“.
7. Im Inhaltsverzeichnis wird nach dem Eintrag zu § 14 folgender Eintrag eingefügt:
„§ 14a.: Kennzeichnung der Kraftfahrzeuge nach Abgasklassen“
8. Im Inhaltsverzeichnis lautet der Eintrag zu 5. Abschnitt „Vollziehung der Maßnahmen“.
9. Im Inhaltsverzeichnis werden nach dem Eintrag zu § 19 folgende Einträge eingefügt:
„5a. Abschnitt: Nationales Ziel für die Reduzierung des AEI
§ 19.: Programm für die Erreichung des nationalen Ziels für die Reduzierung des AEI“
10. Im Inhaltsverzeichnis wird nach dem Eintrag zu § 21 folgender Eintrag eingefügt:
„§ 21a.: Genehmigung für IPPC-Anlagen“
11. Im Inhaltsverzeichnis wird nach dem Eintrag zu § 31 folgender Eintrag eingefügt:
„§ 31a.: Amtsbeschwerde“
12. Im Inhaltsverzeichnis werden nach dem Eintrag zu Anlage 1 folgende Einträge eingefügt:
„Anlage 1a: Immissionsgrenzwerte
Anlage 1b: Immissionsgrenzwert für PM2,5“
13. Im Inhaltsverzeichnis lautet der Eintrag zu Anlage 5a „Zielwert für Stickstoffdioxid“.
14. Im Inhaltsverzeichnis wird nach dem Eintrag zu Anlage 5b folgender Eintrag eingefügt:
„Anlage 5c: Zielwert für PM2,5“
15. Im Inhaltsverzeichnis wird nach dem Eintrag zu Anlage 7 folgender Eintrag eingefügt:
„Anlage 8: Verpflichtung in Bezug auf den AEI“
16. In § 1 Abs. 1 Z 3, § 5 Abs. 2, § 22, § 24 und § 28 wird jeweils der Ausdruck „§ 3 Abs. 3“ durch den Ausdruck „§ 3 Abs. 5“ ersetzt.
17. § 2 lautet:
„§ 2. (1) Luftschadstoffe im Sinne dieses Bundesgesetzes sind Stoffe, die Veränderungen der natürlichen Zusammensetzung der Luft durch Partikel, Gase oder Aerosole bewirken.
(2) Emissionen im Sinne dieses Bundesgesetzes sind von einer Quelle an die freie Atmosphäre abgegebene Luftschadstoffe.
(3) Immissionen im Sinne dieses Bundesgesetzes sind die auf Schutzgüter (Abs. 6) einwirkenden Luftschadstoffe.
(4) Immissionsgrenzwerte im Sinne dieses Bundesgesetzes sind, sofern Abs. 5 nicht anderes bestimmt, höchstzulässige, wirkungsbezogene Immissionsgrenzkonzentrationen, bei deren Unterschreitung nach den einschlägigen wissenschaftlichen Erkenntnissen keine schädigenden Wirkungen zu erwarten sind.
(5) Immissionsgrenzwerte für kanzerogene, mutagene und teratogene Stoffe im Sinne dieses Bundesgesetzes sind höchstzulässige Immissionskonzentrationen. Ebenso ist der Immissionsgrenzwert für PM10 und PM2,5 jeweils eine höchstzulässige Immissionskonzentration.
(5a) PM10 im Sinne dieses Bundesgesetzes bezeichnet die Partikel, die einen größenselektierenden Lufteinlass passieren, der für einen aerodynamischen Durchmesser von 10 µm eine Abscheidewirksamkeit von 50 v.H. aufweist.
(5b) PM2,5 im Sinne dieses Bundesgesetzes bezeichnet die Partikel, die einen größenselektierenden Lufteinlass passieren, der für einen aerodynamischen Durchmesser von 2,5 µm eine Abscheidewirksamkeit von 50 v.H. aufweist.
(6) Schutzgüter sind in Entsprechung der Ziele dieses Bundesgesetzes (§ 1) der Mensch, der Tier- und Pflanzenbestand, ihre Lebensgemeinschaften, Lebensräume und deren Wechselbeziehungen sowie Kultur- und Sachgüter.
(6a) Luft ist die Außenluft in der Troposphäre mit Ausnahme von Arbeitsstätten im Sinne der Richtlinie 89/654/EWG über Mindestvorschriften für Sicherheit und Gesundheitsschutz in Arbeitsstätten, ABl. L 393 S. 1, geändert durch Richtlinie 2007/30/EG ABl. L 165, S. 21, an denen Bestimmungen für Gesundheitsschutz und Sicherheit am Arbeitsplatz gelten und an denen die Öffentlichkeit normalerweise keinen Zugang hat.
(7) Untersuchungsgebiet im Sinne dieses Bundesgesetzes ist das Bundesgebiet oder jener Teil des Bundesgebiets, für den eine gemeinsame Auswertung der Immissionsmessdaten, die nach diesem Bundesgesetz erhoben werden, erfolgt; sofern das Messkonzept gemäß § 4 nicht anderes bestimmt, ist das Untersuchungsgebiet ein Bundesland.
(8) Sanierungsgebiet im Sinne dieses Bundesgesetzes ist das Bundesgebiet oder jener Teil des Bundesgebiets, in dem sich die Emissionsquellen befinden, die einen erheblichen Beitrag zur Immissionsgrenzwertüberschreitung geleistet haben und für die in einem Programm gemäß § 9a Maßnahmen vorgesehen werden können.
(9) Beurteilungszeitraum im Sinne dieses Bundesgesetzes ist jener Zeitraum, der für eine umfassende Beschreibung der Immissionssituation erforderlich ist; dieser ist getrennt nach Luftschadstoffen im Messkonzept gemäß § 4 festzulegen und beträgt ein Kalenderjahr oder das Winter- oder Sommerhalbjahr, sofern in einem der Halbjahre erfahrungsgemäß höhere Konzentrationen eines Luftschadstoffs auftreten. Das Winterhalbjahr umfasst die Monate Oktober bis März, das Sommerhalbjahr die Monate April bis September.
(10) Anlagen im Sinne dieses Bundesgesetzes sind
- 1. ortsfeste Einrichtungen, die Luftschadstoffe emittieren, ausgenommen ortsfeste eisenbahntechnische Einrichtungen und Eisenbahnanlagen gemäß § 10 des Eisenbahngesetzes 1957, BGBl. Nr. 60 in der jeweils geltenden Fassung, sofern es sich nicht um Heizungsanlagen in Eisenbahnanlagen handelt,
- 2. mobile technische Einrichtungen, Maschinen und Geräte, die Luftschadstoffe emittieren, soweit sie nicht als Kraftfahrzeuge im Sinne des § 2 Abs. 1 Z 1 des Kraftfahrgesetzes 1967 (KFG 1967), BGBl. Nr. 267 in der jeweils geltenden Fassung, zur Fortbewegung auf Straßen mit öffentlichem Verkehr verwendet werden, ausgenommen
- a) Schienenfahrzeuge im Sinne des Eisenbahngesetzes 1957, BGBl. Nr. 60, in der jeweils geltenden Fassung, und Luftfahrzeuge im Sinne des § 11 Abs. 1 des Luftfahrtgesetzes, BGBl. Nr. 253/1957, in der jeweils geltenden Fassung,
- b) Fahrzeuge der Land- und Forstwirtschaft in Ausübung einer land- oder forstwirtschaftlichen Haupttätigkeit und
- c) Fahrzeuge im Sinne des § 2 Z 1 des Schifffahrtsgesetzes, BGBl. I Nr. 62/1997, in der jeweils geltenden Fassung,
- 3. Liegenschaften, auf denen Stoffe gelagert oder abgelagert oder Arbeiten durchgeführt werden oder sonstigen Tätigkeiten nachgegangen wird, die Emissionen von Luftschadstoffen verursachen, ausgenommen Verkehrswege.
(11) Emissionskataster im Sinne dieses Bundesgesetzes ist ein räumlich gegliedertes Verzeichnis über das Ausmaß von Emissionen sämtlicher in Betracht kommender Emittenten und Emittentengruppen, die in einem bestimmten Gebiet innerhalb eines festgelegten Zeitabschnitts abgegeben werden.
(12) Heizungsanlagen im Sinne dieses Bundesgesetzes sind Heizungsanlagen, die gemäß Art. 10 Abs. 1 Z 12 Bundes-Verfassungsgesetz, in der Fassung BGBl. Nr. 685/1988, in die Zuständigkeit der Länder fallen.
(13) Toleranzmarge im Sinne dieses Bundesgesetzes bezeichnet das Ausmaß, in dem der Immissionsgrenzwert innerhalb der in Anlage 1 festgesetzten Fristen überschritten werden darf, ohne die Erstellung von Statuserhebungen (§ 8) und Programmen (§ 9a) zu bedingen.
(14) Zielwert gemäß Anlage 5 oder einer Verordnung nach § 3 Abs. 5 ist die nach Möglichkeit in einem bestimmten Zeitraum zu erreichende Immissionskonzentration, die mit dem Ziel festgelegt wird, die schädlichen Einflüsse auf die menschliche Gesundheit und die Umwelt insgesamt zu vermeiden, zu verhindern oder zu verringern.
(15) Der Ausdruck Arsen, Kadmium, Nickel und Benzo(a)pyren im Sinne dieses Bundesgesetzes bezeichnet den Gesamtgehalt dieser Elemente und Verbindungen in der PM10-Fraktion.
(16) Polyzyklische aromatische Kohlenwasserstoffe im Sinne dieses Bundesgesetzes sind organische Verbindungen, die sich aus mindestens zwei miteinander verbundenen aromatischen Ringen zusammensetzen, die ausschließlich aus Kohlenstoff und Wasserstoff bestehen.
(17) Quecksilber im Sinne dieses Bundesgesetzes ist elementarer Quecksilberdampf (Hg0) und reaktives gasförmiges Quecksilber.
(18) Alarmwert im Sinne dieses Bundesgesetzes ist ein Wert, bei dessen Überschreitung bei kurzfristiger Exposition ein Risiko für die Gesundheit der Bevölkerung insgesamt besteht und unverzüglich Maßnahmen ergriffen werden müssen.
(19) Der AEI (Average Exposure Indicator, Indikator für die durchschnittliche Exposition) ist ein anhand von Messungen an Messstellen für den städtischen Hintergrund ermittelter Durchschnittswert für die Exposition der Bevölkerung durch PM2,5. Er wird als gleitender Jahresmittelwert der Konzentration für drei Kalenderjahre berechnet.
(20) Der AEI 2011 ist der AEI berechnet über die Kalenderjahre 2009, 2010 und 2011.
(21) Der AEI 2015 ist der AEI berechnet über die Kalenderjahre 2013, 2014 und 2015.
(22) Der AEI 2020 ist der AEI berechnet über die Kalenderjahre 2018, 2019 und 2020.
(23) Verpflichtung in Bezug auf den AEI ist ein Niveau, das der AEI 2015 erreichen muss.
(24) Messstellen für den städtischen Hintergrund im Sinne dieses Bundesgesetzes sind Standorte in städtischen Gebieten des Bundesgebiets, an denen die Messwerte repräsentativ für die Exposition der allgemeinen städtischen Bevölkerung sind.“
18. § 3 samt Überschrift lautet:
„Immissionsgrenzwerte und Vorgaben in Bezug auf PM2,5
§ 3. (1) Im gesamten Bundesgebiet gelten die unter Bedachtnahme auf die einschlägigen wissenschaftlichen Erkenntnisse in den Anlagen 1 und 2 festgelegten Immissionsgrenzwerte zum dauerhaften Schutz der menschlichen Gesundheit.
(2) Für die Luftschadstoffe Schwefeldioxid und Stickstoffdioxid gelten im gesamten Bundesgebiet die in Anlage 4 festgelegten Alarmwerte.
(3) Für Stickstoffdioxid und PM2,5 gelten zusätzlich im gesamten Bundesgebiet die in den Anlagen 5a und 5c festgelegten Zielwerte, für Arsen, Kadmium, Nickel und Benzo(a)pyren gelten die in der Anlage 5b festgelegten Zielwerte.
(4) Für PM2,5 gelten zusätzlich die in § 3a festgelegte Verpflichtung in Bezug auf den AEI und das in § 3b festgelegte nationale Ziel für die Reduzierung des AEI.
(5) Der Bundesminister für Land- und Forstwirtschaft, Umwelt und Wasserwirtschaft kann zur innerstaatlichen Umsetzung von Richtlinien der Europäischen Union sowie unter Bedachtnahme auf die einschlägigen wissenschaftlichen Erkenntnisse mit Verordnung festlegen:
- 1. Immissionsgrenzwerte (§ 2 Abs. 4 und 5) für solche Luftschadstoffe, die geeignet sind, ein anderes Schutzgut (§ 2 Abs. 6) als das in Abs. 1 genannte zu gefährden oder Menschen unzumutbar zu belästigen;
- 2. dem dauerhaften Schutz der menschlichen Gesundheit dienende Immissionsgrenzwerte für Luftschadstoffe, die in den Anlagen 1 und 2 nicht angeführt sind.
(6) Eine Verordnung gemäß Abs. 5 kann nur im Einvernehmen mit dem Bundesminister für Wirtschaft, Familie und Jugend erlassen werden, wenn es sich um Grenzwerte für Luftschadstoffe handelt,
- 1. für die weder in einer Tochterrichtlinie der Richtlinie 96/62/EG über die Beurteilung und Kontrolle der Luftqualität, ABl. Nr. L 296 vom 21. November 1996 S. 55, noch in der Richtlinie 2008/50/EG ein Grenzwert festgelegt ist,
- 2. oder für die in einer Tochterrichtlinie der Richtlinie 96/62/EG oder in der Richtlinie 2008/50/EG ein Grenzwert festgelegt ist und in der Verordnung ein niedrigerer Grenzwert festgelegt wird als in den anderen Mitgliedstaaten der Europäischen Union.“
19. Nach § 3 werden folgende §§ 3a und 3b samt Überschriften eingefügt:
„Verpflichtung in Bezug auf den AEI
§ 3a. (1) Die Landeshauptmänner, in deren Bundesland eine Messstelle zur Messung des AEI liegt, wobei der Durchschnittsmesswert an dieser Messstelle in dem Zeitraum, in dem die Ausweisung einer Überschreitung nach § 7 Abs. 2 vorgenommen wurde, maximal 20 µg/m³ beträgt, sorgen dafür, dass dieser Wert an dieser Messstelle im Zeitraum 2013 bis 2015 nicht überschritten wird.
(2) Die Landeshauptmänner, in deren Bundesland eine Messstelle zur Messung des AEI liegt und deren zu erreichender Durchschnittsmesswert gemäß Anlage 8 Abs. 3c auf 20 µg/m³ zu senken ist, sorgen dafür, dass dieser Wert an dieser Messstelle im Zeitraum 2013 bis 2015 nicht überschritten wird.
(3) Die Landeshauptmänner, in deren Bundesland eine Messstelle zur Messung des AEI liegt und deren zu erreichender Durchschnittsmesswert gemäß Anlage 8 Abs. 3a um einen bestimmten Prozentsatz zu senken ist, sorgen dafür, dass der um diesen Prozentsatz gesenkte Wert an dieser Messstelle im Zeitraum 2013 bis 2015 nicht überschritten wird.
Nationales Ziel für die Reduzierung des AEI
§ 3b. Das nationale Ziel für die Reduzierung des AEI ist das Ziel, den AEI 2020 im Vergleich zum AEI 2011 um einen Prozentsatz, der im Anhang XIV der Richtlinie 2008/50/EG über Luftqualität und saubere Luft für Europa, ABl. Nr. L 152 vom 11. Juni 2008 S. 1, als Ziel festgelegt ist, zu reduzieren. Das Ziel soll schädliche Auswirkungen auf die menschliche Gesundheit verringern und soll möglichst in dem vorgegebenen Zeitraum erreicht werden.“
20. § 4 Abs. 1 lautet:
„(1) Der Bundesminister für Land- und Forstwirtschaft, Umwelt und Wasserwirtschaft hat nach Anhörung der Landeshauptmänner innerhalb von sechs Monaten nach Inkrafttreten dieses Bundesgesetzes mit Verordnung ein Messkonzept für die Kontrolle der Einhaltung der in den Anlagen 1, 2 und 5 festgelegten Immissionsgrenz- und -zielwerte, der Erfüllung der Verpflichtung in Bezug auf den AEI gemäß § 3a und der Erreichung des nationalen Zieles für die Reduktion des AEI gemäß § 3b, einschließlich der Festlegung der Anforderungen für die Beurteilung der Luftqualität, der Kriterien für die Lage und die Anzahl der Messstellen, der Beurteilung der Hintergrundbelastung und der zeitlichen Entwicklung der Immissionssituation (Trendabschätzung) sowie der Abschätzung des Import-Export-Anteils (Messungen im Rahmen des Genfer Übereinkommens über die weiträumige grenzüberschreitende Luftverunreinigung) gemäß den Anhängen I bis VI der Richtlinie 2008/50/EG , zu erlassen. Für Immissionsgrenzwerte, die in einer Verordnung nach § 3 Abs. 5 festgelegt werden, ist das Messkonzept innerhalb von sechs Monaten nach Inkrafttreten der Verordnung zu erlassen.“
21. In § 4 Abs. 2 wird nach Z 4 folgende Z 4a eingefügt:
- „4a. Angaben über die Messstellen für den städtischen Hintergrund (§ 2 Abs. 24);“
22. § 5 Abs. 1 lautet:
„(1) Die Landeshauptmänner haben die Messstellen einzurichten und zu betreiben. Sie haben sich unter anderem an den Standorten Sonnblick (Salzburg), Zöbelboden (Oberösterreich), Illmitz (Burgenland) und Vorhegg (Kärnten) der Messstellen des Umweltbundesamtes zu bedienen.“
23. § 7 lautet:
„§ 7. (1) Sofern an einer gemäß § 5 betriebenen Messstelle eine Überschreitung eines in den Anlagen 1, 2, 4 oder 5 oder in einer Verordnung nach § 3 Abs. 5 festgelegten Immissionsgrenz-, Immissionsziel- oder Alarmwerts festgestellt wird, hat der Landeshauptmann diese Überschreitung im Monatsbericht, sofern es sich um einen Halbstundenmittelwert, einen Mittelwert über acht Stunden oder einen Tagesmittelwert handelt, oder im Jahresbericht (§ 4 Abs. 2 Z 8 lit. c), sofern es sich um einen Halbjahresmittelwert, einen Jahresmittelwert oder einen Wert mit jahresbezogenen Überschreitungsmöglichkeiten handelt, auszuweisen und festzustellen, ob die Überschreitung des Immissionsgrenzwerts oder des Immissionszielwerts gemäß Anlage 5b oder 5c auf
- 1. einen Störfall,
- 2. eine andere in absehbarer Zeit nicht wiederkehrende erhöhte Immission,
- 3. die Aufwirbelung von Partikeln nach der Ausbringung von Streusand, Streusalz oder Splitt auf Straßen im Winterdienst oder
- 4. Emissionen aus natürlichen Quellen
zurückzuführen ist.
(2) Der Bundesminister für Land- und Forstwirtschaft, Umwelt und Wasserwirtschaft hat die Überschreitung der Verpflichtung in Bezug auf den AEI über die in Anlage 8 festgelegten Zeiträume jeweils in dem auf das letzte Jahr des Zeitraums folgenden Jahr auszuweisen. Bei der Ausweisung der Überschreitung ist Anlage 6 sinngemäß anzuwenden.
(3) Der Bundesminister für Land- und Forstwirtschaft, Umwelt und Wasserwirtschaft hat eine Verordnung betreffend die Kriterien für die Beurteilung, ob die Überschreitung auf die Aufwirbelung von Partikeln nach der Ausbringung von Streusand, Streusalz oder Splitt zurückzuführen ist, zu erlassen. Ergibt die Beurteilung, dass die Überschreitungen auf aufgewirbelte Partikel zurückzuführen sind, so hat der Landeshauptmann die Nachweise, auf die sich die Beurteilung stützt, vorzulegen; weiters hat er die Angemessenheit der getroffenen Maßnahmen darzulegen. Der Bundesminister für Land- und Forstwirtschaft, Umwelt und Wasserwirtschaft hat diese Information an die Europäische Kommission weiterzuleiten.“
24. § 8 lautet:
„§ 8. (1) Der Landeshauptmann hat innerhalb von neun Monaten ab der Ausweisung der Überschreitung eines Immissionsgrenzwerts oder Immissionszielwerts gemäß Anlage 5b oder 5c eine Statuserhebung gemäß Abs. 2 zu erstellen, wenn
- 1. die Überschreitung eines in den Anlagen 1 und 2 oder in einer Verordnung nach § 3 Abs. 5 festgelegten Immissionsgrenzwerts oder eines Immissionszielwerts gemäß Anlage 5b oder 5c an einer gemäß § 5 betriebenen Messstelle festgestellt wird und
- 2. die Überschreitung nicht auf
- a) einen Störfall (§ 7 Abs. 1 Z 1),
- b) eine andere in absehbarer Zeit nicht wiederkehrende erhöhte Immission (§ 7 Abs. 1 Z 2),
- c) die Aufwirbelung von Partikeln nach der Ausbringung von Streusand, Streusalz oder Splitt auf Straßen im Winterdienst (§ 7 Abs. 1 Z 3) oder
- d) Emissionen aus natürlichen Quellen (§ 7 Abs. 1 Z 4)
zurückzuführen ist.
(1a) Der Landeshauptmann eines Bundeslandes, in dem sich eine Messstelle gemäß der Verordnung über das Messkonzept (§ 4) für den AEI befindet, hat innerhalb von neun Monaten nach Ausweisung der Überschreitung der Verpflichtung in Bezug auf den AEI gemäß § 7 Abs. 2 eine Statuserhebung zu erstellen.
(2) Die Statuserhebung ist für den Beurteilungszeitraum (§ 2 Abs. 9), in dem die Überschreitung des Immissionsgrenzwerts oder Immissionszielwerts gemäß Anlage 5b oder 5c oder des AEI aufgetreten ist, zu erstellen und hat jedenfalls zu enthalten:
- 1. die Darstellung der Immissionssituation für den Beurteilungszeitraum,
- 2. die Beschreibung der meteorologischen Situation,
- 3. die Feststellung und Beschreibung der in Betracht kommenden Emittenten oder Emittentengruppen, die einen erheblichen Beitrag zur Immissionsbelastung geleistet haben, und eine Abschätzung ihrer Emissionen,
- 4. die Feststellung des voraussichtlichen Sanierungsgebiets (§ 2 Abs. 8) und
- 5. Angaben gemäß Anhang XV Abschnitt A Z 1 bis 6 der Richtlinie 2008/50/EG .
(3) Der Landeshauptmann hat für jeden in den Anlagen 1 und 2 oder in einer Verordnung gemäß § 3 Abs. 5 festgelegten Luftschadstoff eine eigene Statuserhebung zu erstellen. Überschreitungen eines Immissionsgrenzwerts für denselben Luftschadstoff an zwei oder mehreren Messstellen können in einer Statuserhebung zusammengefasst werden. Überschreitungen eines Immissionsgrenzwerts und Immissionszielwerts gemäß Anlage 5b für denselben Luftschadstoff an zwei oder mehreren Messstellen oder für verschiedene Luftschadstoffe können in einer Statuserhebung zusammengefasst werden, wenn sie sich im gleichen Beurteilungszeitraum ereignet haben. Für Überschreitungen von Immissionszielwerten gemäß Anlage 5b ist die Statuserhebung abweichend von Abs. 1 erstmals am 1. Jänner 2011 vorzulegen, sofern im Jahresbericht für das Jahr 2007 Überschreitungen ausgewiesen wurden. Für die Schadstoffe PM10 und PM2,5 kann eine gemeinsame Statuserhebung erstellt werden.
(3a) Ergibt eine Statuserhebung, dass die Immissionen zumindest in einem erheblichen Ausmaß durch Emissionen in einem anderen Bundesland verursacht wurden, hat der Landeshauptmann des Bundeslandes, in dem die Überschreitung stattgefunden hat, den Landeshauptmann des verursachenden Bundeslandes nach Möglichkeit bereits während der Erstellung der Statuserhebung, spätestens aber unverzüglich nach deren Fertigstellung, darüber zu informieren. Dieser hat auf der Grundlage der Statuserhebung des betroffenen Bundeslandes - falls dies nicht ausreichend ist, nach Erstellung einer eigenen Statuserhebung - ein Programm gemäß § 9a zu erstellen und die erforderlichen Maßnahmen zu ergreifen.
(4) Ist absehbar, dass sich das Sanierungsgebiet über zwei oder mehrere Länder erstreckt, haben die Landeshauptmänner der betroffenen Länder eine gemeinsame Statuserhebung zu erstellen.
(5) Der Landeshauptmann hat die Statuserhebung unverzüglich den in ihrem Wirkungsbereich berührten Bundesministern und den gesetzlich eingerichteten Interessenvertretungen auf Landesebene zur Kenntnis zu bringen. Innerhalb einer Frist von sechs Wochen können die genannten Behörden und Interessenvertretungen eine schriftliche Stellungnahme an den Landeshauptmann abgeben.
(6) Die Statuserhebung ist bei den Gemeinden, die innerhalb des voraussichtlichen Sanierungsgebiets (Abs. 2 Z 4) liegen, zur öffentlichen Einsicht aufzulegen. Jedermann kann innerhalb einer Frist von sechs Wochen eine schriftliche Stellungnahme an den Landeshauptmann abgeben.
(7) Die Erstellung einer Statuserhebung kann unterbleiben, wenn für den betreffenden Luftschadstoff
- 1. bereits eine Statuserhebung erstellt wurde,
- 2. die Emissionssituation sich nicht wesentlich geändert hat,
- 3. die Überschreitung des Immissionsgrenzwerts oder Immissionszielwerts gemäß Anlage 5b oder 5c an einer Messstelle innerhalb des ermittelten (Abs. 2 Z 4) oder ausgewiesenen Sanierungsgebiets (§ 9a Abs. 1) auftritt und
- 4. sich die Immissionssituation in diesem Gebiet nicht wesentlich verschlechtert hat.
(8) Wenn das Messkonzept gemäß § 4 für einen Luftschadstoff nur ein Untersuchungsgebiet (§ 2 Abs. 7) ausweist, ist die Statuserhebung vom Bundesminister für Land- und Forstwirtschaft, Umwelt und Wasserwirtschaft zu erstellen.
(9) Bei Überschreitung der Immissionszielwerte gemäß einer Verordnung gemäß § 3 Abs. 5 kann der Landeshauptmann eine Statuserhebung erstellen.“
25. In § 9 Abs. 3 wird nach dem ersten folgender zweiter Satz eingefügt:
„Zusätzlich kann er dazu auf Daten, die bei mit behördlichen Aufgaben beliehenen Unternehmen und Institutionen auf Grund gesetzlich vorgesehener Erhebungen vorhanden sind, zugreifen.“
26. § 9a lautet:
„§ 9a. (1) Zur Erreichung der Ziele dieses Bundesgesetzes (§ 1) hat der Landeshauptmann unter Bedachtnahme auf nationale Programme gemäß § 6 des Emissionshöchstmengengesetzes-Luft, BGBl. I Nr. 34/2003, Pläne und Programme gemäß § 13 des Ozongesetzes, BGBl. Nr. 210/1992 und die österreichische Klimastrategie gemäß § 1 Abs. 2 des Emissionszertifikategesetzes, BGBl. I Nr. 46/2004, sowie unter Nutzung von Synergieeffekten mit lokalen, regionalen und bundesweiten Energie- und Klimaschutzmaßnahmen
- 1. auf Grundlage der Statuserhebung (§ 8) und eines allenfalls erstellten Emissionskatasters (§ 9),
- 2. unter Berücksichtigung der Stellungnahmen gemäß § 8 Abs. 5 und 6,
- 3. unter Berücksichtigung der Grundsätze gemäß § 9b,
- 4. unter Heranziehung der Zeitpunkte, bis zu denen die Grenz- und Zielwerte gemäß der Richtlinie 2008/50/EG eingehalten werden müssen und
- 5. auf Grundlage des Programms für die Erreichung des nationalen Ziels für die Reduzierung des AEI gemäß § 19
ein Programm zu erstellen. Darin sind jene Maßnahmen festzulegen, die ergriffen werden, um die Emissionen, die zur Überschreitung des Immissionsgrenzwerts gemäß Anlage 1 oder 2 oder des Immissionszielwerts gemäß Anlage 5b oder 5c, einer Verordnung nach § 3 Abs. 5 oder des AEI geführt haben, in einem Ausmaß zu reduzieren, dass die Einhaltung folgender Grenzwerte und die soweit wie mögliche Einhaltung der folgenden Zielwerte,
- des Tagesmittelwertes für PM10 gemäß Anlage 1a mit nicht mehr als 35 Überschreitungen pro Jahr,
- des um 10 µg/m3 erhöhten Jahresmittelwertes für Stickstoffdioxid gemäß Anlage 1a,
- des Jahresmittelwertes für PM10 gemäß Anlage 1a,
- des Jahresmittelwertes für PM2,5 gemäß Anlage 1b,
- eines in einer Verordnung gemäß § 3 Abs. 5 festgelegten Immissionsgrenzwertes,
- des Halbstundenmittelwertes für Schwefeldioxid gemäß Anlage 1a,
- des Tagesmittelwertes für Schwefeldioxid gemäß Anlage 1a,
- des Halbstundenmittelwertes für Stickstoffdioxid gemäß Anlage 1a,
- des Grenzwertes für Blei in PM10 gemäß Anlage 1a,
- eines Grenzwertes gemäß Anlage 5b oder
- eines Zielwerts gemäß den Anlagen 5b und 5c
gewährleistet wird oder im Fall des § 8 Abs. 1a der Verpflichtung in Bezug auf den AEI nachgekommen wird. Bei Überschreitung des AEI hat der Landeshauptmann Maßnahmen festzulegen, die in dem Programm gemäß § 19 enthalten sind. Im Programm hat der Landeshauptmann das Sanierungsgebiet (§ 2 Abs. 8) festzulegen. Ein Entwurf des Programms ist längstens 18 Monate nach Ablauf des Jahres, in dem die Überschreitung eines Immissionsgrenzwerts stattgefunden hat, auf der Internetseite des Landes zu veröffentlichen. Falls der Entwurf vorsieht, Maßnahmen gemäß dem 4. Abschnitt mit Verordnung gemäß § 10 vorzuschreiben, ist der Entwurf für diese Verordnung zusammen mit dem Entwurf des Programms auf der Internetseite des Landes zu veröffentlichen. Jedermann kann zum Entwurf des Programms binnen sechs Wochen Stellung nehmen. Die in ihrem Wirkungsbereich berührten Bundesminister sowie die gesetzlich eingerichteten Interessenvertretungen sind von der Veröffentlichung des Entwurfs und der Möglichkeit zur Stellungnahme in Kenntnis zu setzen. Die Stellungnahmen sind bei der Erstellung des Programms in angemessener Weise zu berücksichtigen.
(2) Die Errechnung des Beitrags zur Einhaltung der Verpflichtung in Bezug auf den AEI in den Programmen der Landeshauptmänner, in deren Bundesland sich eine Messstelle zur Messung des AEI befindet, hat gemäß Anlage 8 zu erfolgen.
(3) Das Programm kann insbesondere folgende Maßnahmen umfassen:
- 1. Maßnahmen gemäß Abschnitt 4,
- 2. Maßnahmen im Bereich der öffentlichen Beschaffung,
- 3. Förderungsmaßnahmen im Bereich von Anlagen, Haushalten und Verkehr für emissionsarme Technologien und Verhaltensweisen, die Emissionen reduzieren,
- 4. Maßnahmen hinsichtlich des Betriebs von mobilen Motoren,
- 5. Maßnahmen zur Optimierung des Winterdienstes und
- 6. sonstige Maßnahmen in der Zuständigkeit des Bundes.
Im Programm sind für jede Maßnahme das Gebiet, in dem sie gilt, sowie eine Umsetzungsfrist festzulegen. In das Programm sind Angaben gemäß Anhang XV Z 7 bis 9 der Richtlinie 2008/50/EG aufzunehmen. Im Programm ist die Auswahl der festgelegten Maßnahmen zu begründen. Weiters ist in einem Anhang zum Programm auf im selbständigen Wirkungsbereich der Länder und Gemeinden getroffene Maßnahmen zur Verringerung der Emissionen jener Schadstoffe, für die das Programm erstellt wird, zu verweisen.
(4) Wenn hinsichtlich mehrerer der in Anlage 1 und 2 oder einer Verordnung gemäß § 3 Abs. 5 genannten Schadstoffe eine Grenzwertüberschreitung vorliegt, kann der Landeshauptmann ein integriertes Programm für alle betroffenen Schadstoffe erstellen. Dies gilt sinngemäß für Programme gemäß Abs. 2. Programme für PM10 müssen auch auf die Verringerung der PM2,5-Konzentration abzielen.
(5) Wenn in mehreren Bundesländern Überschreitungen des Grenzwerts des gleichen Schadstoffs aufgetreten sind, ist in Zusammenarbeit der Landeshauptmänner jener Länder, aus deren Gebiet die Emissionen stammen, die maßgeblich zur Überschreitung der Grenzwerte beigetragen haben, ein gemeinsames übergreifendes Programm zu erstellen, das die Einhaltung der Grenzwerte sicherstellt.
(5a) Sind Überschreitungen eines Grenzwerts in einem Bundesland maßgeblich auf Emissionen aus einem anderen Bundesland zurückzuführen, ist in Zusammenarbeit sowohl des Landeshauptmanns, in dessen Gebiet der Immissionsgrenzwert überschritten wurde, als auch des Landeshauptmanns, aus dessen Gebiet ein maßgeblicher Teil der Emissionen stammt, ein gemeinsames übergreifendes Programm zu erstellen, das die Einhaltung der Grenzwerte sicherstellt.
(6) Das Programm ist alle drei Jahre insbesondere in Bezug auf seine Wirksamkeit zur Erreichung der Ziele dieses Bundesgesetzes zu evaluieren und erforderlichenfalls zu überarbeiten.
(7) Sofern gemäß § 8 Abs. 8 der Bundesminister für Land- und Forstwirtschaft, Umwelt und Wasserwirtschaft die Statuserhebung erstellt, hat dieser auch das Programm zu erstellen.
(8) Das Programm ist spätestens 24 Monate nach Ablauf des Jahres, in dem die Grenz- oder Zielwertüberschreitung gemessen oder die Überschreitung des AEI durch den Bundesminister für Land- und Forstwirtschaft, Umwelt und Wasserwirtschaft ausgewiesen wurde, auf der Internetseite des Landes und auf der Internetseite des Bundesministeriums für Land- und Forstwirtschaft, Umwelt und Wasserwirtschaft kundzumachen. Der Landeshauptmann bzw. der Bundesminister für Land- und Forstwirtschaft, Umwelt und Wasserwirtschaft in den Fällen des Abs. 7 hat die Informationen über das Programm gemäß den Bestimmungen der Richtlinie 2008/50/EG zu erstellen. Diese Informationen sind vom Bundesminister für Land- und Forstwirtschaft, Umwelt und Wasserwirtschaft gesammelt gemäß den Bestimmungen der Richtlinie 2008/50/EG an die Europäische Kommission zu übermitteln.
(9) Für Grenzwertüberschreitungen, die vor dem 1. Jänner 2005 gemessen wurden, gelten weiterhin § 8 sowie die §§ 10 bis 16 dieses Bundesgesetzes in der Fassung des Bundesgesetzes BGBl. I Nr. 34/2003.
(10) Überschreitet der Wert eines Luftschadstoffs den Grenz- oder Zielwert gemäß Anlage 1, 2, 5b oder 5c oder einer Verordnung gemäß § 3 Abs. 5 oder den Alarmwert gemäß Anlage 4 infolge der Emissionen in einem anderen Mitgliedstaat der Europäischen Union oder besteht die Gefahr einer solchen Überschreitung, hat der Bundesminister für Land- und Forstwirtschaft, Umwelt und Wasserwirtschaft Konsultationen mit den zuständigen Behörden des anderen Mitgliedstaates einzuleiten mit dem Ziel, das Problem zu beheben. Wenn die Statuserhebung ergibt, dass die Überschreitung eines Grenz- oder Zielwerts ausschließlich durch Emissionen im Ausland verursacht wurde, entfällt die Erstellung eines Programms gemäß Abs. 1 und 4.“
27. In § 9b Z 4 entfällt die Wortfolge „sie unverhältnismäßig sind, vor allem wenn“.
28. In § 9c Abs. 7 wird der Ausdruck „§ 9a Abs. 5“ durch den Ausdruck „§ 9a Abs. 6“ ersetzt.
29. § 10 lautet:
„§ 10. (1) Maßnahmen gemäß den §§ 13 bis 16 sind auf Grundlage des Programms gemäß § 9a vom Landeshauptmann oder Bundesminister für Land- und Forstwirtschaft, Umwelt und Wasserwirtschaft, sofern dieser gemäß § 9a Abs. 7 zuständig ist, spätestens 24 Monate nach Ablauf des Jahres, in dem die Grenzwertüberschreitung festgestellt oder die Überschreitung des AEI durch den Bundesminister für Land- und Forstwirtschaft, Umwelt und Wasserwirtschaft ausgewiesen wurde, mit Verordnung anzuordnen. In der Verordnung ist das Sanierungsgebiet, in dem die jeweilige Maßnahme gilt, festzulegen. Weiters ist anzugeben, ob die Maßnahmen direkt wirken oder von der Behörde (§ 17) mit Bescheid anzuordnen sind. Es können auch über das Programm hinausgehende Maßnahmen angeordnet werden, sofern diese nicht dem Inhalt des Programms widersprechen und nicht unverhältnismäßig in bestehende Rechte eingreifen.
(2) Für Zielwerte gemäß Anlage 5b und 5c gilt Abs. 1 sinngemäß.
(3) Bei Erlassen der Verordnung sind die Grundsätze gemäß § 9b zu berücksichtigen.
(4) Führt eine Evaluierung eines Programms gemäß § 9a Abs. 6 zu einer nicht nur unerheblichen Überarbeitung des Programms, sind erforderlichenfalls geänderte Maßnahmen gemäß Abs. 1 mit Verordnung anzuordnen.“
30. § 10a entfällt.
31. § 13 lautet:
„§ 13. (1) Für Anlagen oder Anlagenkategorien gemäß § 2 Abs. 10 können folgende Maßnahmen angeordnet werden:
- 1. Begrenzung der Emission von Luftschadstoffen nach dem zum Zeitpunkt des Inkrafttretens der Anordnungen gemäß § 10 gültigen Stand der Technik (§ 2 Abs. 8 Z 1 AWG 2002), ausgenommen bei Anlagen, die innerhalb von fünf Jahren vor dem Inkrafttreten der Anordnungen gemäß § 10 nach dem Stand der Luftreinhaltetechnik genehmigt oder saniert worden sind;
- 2. andere emissionsmindernde Maßnahmen, insbesondere
- a) der Einsatz emissionsarmer Brennstoffe, Stoffe, Zubereitungen und Produkte, sofern die Versorgung mit diesen sichergestellt und die Anlage zum Einsatz derselben geeignet ist und der Einsatz nicht zu einer höheren Belastung der Arbeitnehmer oder zu erhöhten Treibhausgasemissionen führt,
- b) die Erstellung von Immissionsschutzplänen,
- c) die Vorschreibung eines maximalen Massenstroms sowie
- d) Beschränkungen oder Verbote des Einsatzes von mobilen technischen Einrichtungen, Maschinen und Geräten gemäß Abs. 3 mit hohen spezifischen Emissionen.
(2) Abs. 1 Z 1 und Z 2 lit. c sind auf Anlagen, die dem für sie in einem Gesetz oder in einer Verordnung, insbesondere gemäß § 82 Gewerbeordnung 1994, BGBl. Nr. 194, § 181 Mineralrohstoffgesetz, BGBl. I Nr. 38/1999, § 4 Emissionsschutzgesetz für Kesselanlagen, BGBl. I Nr. 150/2004, § 65 Abfallwirtschaftsgesetz 2002, BGBl. I Nr. 102 oder in einem Bescheid nach einem Verfahren gemäß §§ 79 ff Gewerbeordnung 1994, § 179 Mineralrohstoffgesetz oder § 23 Emissionsschutzgesetz für Kesselanlagen festgelegten Stand der Luftreinhaltetechnik entsprechen oder die eine gesetzliche Verpflichtung zur wiederkehrenden Anpassung an den Stand der Technik einhalten, nicht anzuwenden.
(2a) Abs. 2 gilt nicht für Anlagen, für die der Stand der Technik in einem Bundesgesetz oder einer Verordnung festgelegt ist, deren Kundmachung zum Zeitpunkt der Anordnung einer Maßnahme gemäß § 10 länger als zehn Jahre zurückliegt, es zu wesentlichen Änderungen des Standes der Technik gekommen ist und soweit diese Anlagen in den letzten 10 Jahren nicht an den zum Zeitpunkt der Sanierung oder Genehmigung der Anlage aktuellen und geänderten Stand der Technik vollständig angepasst oder nach einem solchen genehmigt wurden.
(2b) Maßnahmen gemäß Abs. 1 dürfen den ordnungsgemäßen Flugbetrieb auf Flugplätzen, für die Betriebspflicht besteht, nicht gefährden.
(3) Der Bundesminister für Land- und Forstwirtschaft, Umwelt und Wasserwirtschaft hat im Einvernehmen mit dem Bundesminister für Wirtschaft, Familie und Jugend mit Verordnung Regelungen für die zeitliche und räumliche Verwendung und den Betrieb von mobilen technischen Einrichtungen, Maschinen und Geräten mit mehr als 18 kW in Sanierungsgebieten anzuordnen, die vor und nach der Umsetzung der Richtlinie 97/68/EG zur Angleichung der Rechtsvorschriften der Mitgliedstaaten über Maßnahmen zur Bekämpfung der Emission von gasförmigen Schadstoffen und luftverunreinigenden Partikeln aus Verbrennungsmotoren für mobile Maschinen und Geräte, ABl. Nr. L 59 vom 27. Februar 1998 S. 1, in der Fassung der Richtlinie 2004/26/EG ABl. Nr. L 146 vom 30. April 2004 S. 1, berichtigt durch ABl. Nr. L 225 vom 25. Juni 2004 S. 3 erstmalig in Verkehr gebracht wurden. Mit Inkrafttreten dieser Verordnung treten frühere Bestimmungen der Landeshauptmänner über mobile technische Einrichtungen, Maschinen und Geräte, die auf Grundlage des Abs. 1 erlassen wurden, außer Kraft.“
32. In § 13a Abs. 1 wird vor der Wortfolge „mit Bescheid aufzutragen“ das Wort „erforderlichenfalls“ eingefügt.
33. § 14 samt Überschrift lautet:
„Maßnahmen für Kraftfahrzeuge
§ 14. (1) Für Kraftfahrzeuge im Sinne des § 2 Abs. 1 Z 1 KFG 1967, BGBl. Nr. 267, oder für bestimmte Gruppen von Kraftfahrzeugen können Geschwindigkeitsbeschränkungen und zeitliche und räumliche Beschränkungen des Verkehrs angeordnet werden. Wenn derartige Beschränkungen Autobahnen oder Schnellstraßen betreffen, ist dem Bundesminister für Verkehr, Innovation und Technologie Gelegenheit zur Stellungnahme zu geben. Diese Beschränkungen auf Autobahnen oder Schnellstraßen können für bis zu drei Monate angeordnet werden. Darüber hinaus ist, ausgenommen bei Verordnungen gemäß Abs. 6a, das Einvernehmen mit dem Bundesminister für Verkehr, Innovation und Technologie herzustellen. Als zeitliche und räumliche Beschränkungen gelten insbesondere dauernde oder vorübergehende
- 1. Verbote für bestimmte Kraftfahrzeugklassen sowie Kraftfahrzeuge mit bestimmten Abgasklassen,
- 2. Verbote für Kraftfahrzeuge mit bestimmten Ladungen,
- 3. Fahrverbote für bestimmte Tage oder bestimmte Tageszeiten,
- 4. Anordnungen für den ruhenden Verkehr.
Zur Anordnung von Geschwindigkeitsbeschränkungen für die Dauer erhöhter Neigung zu Grenzwertüberschreitungen sowie zum optimierten Einsatz von temporären Geschwindigkeitsbeschränkungen können flexible Systeme, wie immissionsabhängige Verkehrsbeeinflussungsanlagen, verwendet werden.
(2) Zeitliche und räumliche Beschränkungen sind nicht anzuwenden auf
- 1. die in §§ 26, 26a Abs. 1 und 4 und 27 StVO 1960, BGBl. Nr. 159, genannten Einsatzfahrzeuge, Fahrzeuge im öffentlichen Dienst, Fahrzeuge des Straßendienstes, der Bahnerhaltung, der Wasser- und Energieversorgung, der Kanalwartung und der Müllabfuhr sowie Fahrzeuge im Einsatz im Katastrophenfall und Fahrzeuge der Feuerwehr, des Rettungs- und Krankentransportdienstes in Ausübung ihres Dienstes,
- 2. Fahrzeuge der Land- und Forstwirtschaft in Ausübung einer land- oder forstwirtschaftlichen Haupttätigkeit,
- 3. Fahrzeuge, für deren Benützung im Sanierungsgebiet ein im Einzelfall zu prüfendes überwiegendes öffentliches Interesse besteht und die entsprechend einer Verordnung nach Abs. 4 gekennzeichnet sind, sofern nicht in einer Verordnung gemäß § 10 für Straßenbenützung der betreffenden Art nach Abwägung der Interessen die Erteilung von Ausnahmegenehmigungen für bestimmte Gruppen von Kraftfahrzeugen wegen ihres wesentlichen Emissionsbeitrages ausgeschlossen wird,
- 4. Fahrzeuge der Klassen N1 und N2, die im Werkverkehr gemäß § 10 des Güterbeförderungsgesetzes 1995, BGBl. Nr. 593 in der Fassung des Bundesgesetzes BGBl. I Nr. 153/2006, im Sanierungsgebiet durch Unternehmer, deren Lastkraftwagenflotte maximal 4 Lastkraftwagen umfasst, verwendet werden und die entsprechend einer Verordnung nach Abs. 4 gekennzeichnet sind, wobei die Erfüllung dieser Kriterien im Einzelfall zu prüfen ist,
- 5. Fahrzeuge mit monovalentem Methangasantrieb oder ausschließlich elektrischem Antrieb sowie plug-in-hybrid-elektrische Fahrzeuge, die mit ausschließlich elektrischem Antrieb eine Mindestreichweite von 50 km aufweisen,
- 6. folgende Fahrzeuge, sofern sie den Euroklassen 5, 6 oder höher entsprechen:
- a) Fahrzeuge von Ärzten, Tierärzten, Bestattungsunternehmungen in Ausübung ihres Dienstes,
- b) Kraftfahrzeuge zur Personenbeförderung im Kraftfahrlinien-, Gelegenheits- oder Werkverkehr,
- c) Kraftfahrzeuge, soweit sie zum Zweck einer Ladetätigkeit in Ausübung einer unternehmerischen Tätigkeit benützt werden und sofern der Ausgangs- oder der Zielpunkt ihrer Fahrten in jenem Teil des Sanierungsgebietes liegt, für den Verkehrsbeschränkungen verhängt wurden,
- d) Fahrzeuge des Vor- und Nachlaufs im Kombinierten Verkehr, wenn die Verladestelle für den Kombinierten Verkehr in einem Sanierungsgebiet liegt,
- 7. Fahrzeuge, die zur Aufrechterhaltung des ordnungsgemäßen Betriebs auf Flugplätzen, für die Betriebspflicht besteht, erforderlich sind,
- 8. Fahrzeuge, die von Inhabern eines Ausweises gemäß § 29b StVO 1960 selbst gelenkt oder als Mitfahrer benutzt werden.
Geschwindigkeitsbeschränkungen sind auf Einsatzfahrzeuge gemäß § 2 Abs. 1 Z 25 StVO 1960 und Fahrzeuge des öffentlichen Sicherheitsdienstes bei Fahrten, die für die ordnungsgemäße Ausübung des Dienstes erforderlich sind, nicht anzuwenden.
(2a) Die Ausnahmen gemäß Abs. 2 Z 6 gelten für Lastkraftwagen der Klasse N und Omnibusse bis 1. August 2011 auch für die Euroklassen 3 und 4, bis 31. Dezember 2015 auch für die Euroklasse 4.
(3) Ob ein überwiegendes öffentliches Interesse im Sinne des Abs. 2 Z 3 oder ob die Kriterien des Abs. 2 Z 4 vorliegen, ist auf Antrag des Zulassungsbesitzers von der Bezirksverwaltungsbehörde zu prüfen. Zuständig ist jene Bezirksverwaltungsbehörde, in deren Sprengel die erstmalige Einfahrt in das Sanierungsgebiet erfolgt. Wird die erstmalige Fahrt innerhalb des Sanierungsgebietes angetreten, so ist jene Bezirksverwaltungsbehörde zuständig, in deren Sprengel die Fahrt angetreten wird oder sich der Hauptwohnsitz oder die Niederlassung des Zulassungsbesitzers befindet. Der Antragsteller gemäß Abs. 2 Z 3 hat glaubhaft zu machen, dass die Fahrt weder durch organisatorische Maßnahmen noch durch die Wahl eines anderen Verkehrsmittels vermieden werden kann. Bei Vorliegen dieser Bedingungen ist das Kraftfahrzeug gegen Ersatz der Gestehungskosten gemäß Abs. 4 zu kennzeichnen. Die Ausnahme ist von der Behörde befristet, für Fahrzeuge gemäß Abs. 2 Z 3 höchstens für 36 Monate ab Erteilung der Ausnahme zu gewähren. Für Fahrzeuge gemäß Abs. 2 Z 4 ist die Ausnahme für Fahrzeuge der Euroklasse 0 bis 36 Monate nach Inkrafttreten dieses Bundesgesetzes und für Fahrzeuge der Euroklasse 1 und höher für jeweils 36 Monate ab Erteilung der Ausnahme zu gewähren. Wenn das Vorliegen eines Interesses nur für einen bestimmten Teil des Sanierungsgebietes nachgewiesen wird, so ist die Ausnahmegenehmigung auf diesen Teil des Sanierungsgebietes zu beschränken. Stellt die Verwaltungsbehörde fest, dass kein solches Interesse besteht oder die Kriterien des Abs. 2 Z 4 nicht erfüllt werden, so ist die Ablehnung des Antrags mit Bescheid auszusprechen.
(4) Der Bundesminister für Land- und Forstwirtschaft, Umwelt und Wasserwirtschaft hat mit Verordnung nähere Bestimmungen über die Kennzeichnung von Kraftfahrzeugen im Sinne des Abs. 2 Z 3 und 4 festzusetzen, wobei insbesondere die Beschaffenheit und das Aussehen der Kennzeichnung sowie deren Anbringung am Fahrzeug zu regeln sind.
(5) Die Organe der Straßenaufsicht und der Bundespolizei haben den zur Vollziehung der Maßnahmen nach Abs. 1 zuständigen Behörden und Organen über deren Ersuchen im Rahmen ihres gesetzmäßigen Wirkungsbereichs Hilfe zu leisten und bei der Überwachung der Einhaltung dieser Maßnahmen gemäß § 97 StVO 1960 vorzugehen.
(6) Anordnungen gemäß Abs. 1 sind, soweit dies möglich ist, durch Straßenverkehrszeichen gemäß § 52 StVO 1960 kundzumachen; die Zeichen sind mit einer Zusatztafel mit dem Wortlaut „Immissionsschutzgesetz-Luft“ oder „IG-L“ zu versehen. Für die Kundmachung, Aufstellung und Beschaffenheit der Zeichen gelten § 44 Abs. 1, 1a, 2 und 4 sowie §§ 48, 51 und 54 StVO 1960 sinngemäß mit der Maßgabe, dass beim Einsatz eines flexiblen Systems, wie zB einer Verkehrsbeeinflussungsanlage, die Zusatztafel auch an anderer Stelle des Anzeigenquerschnitts, gegebenenfalls in Verbindung mit einem Zeichen gemäß § 50 Z 16 StVO 1960, angebracht werden kann. Der jeweilige Straßenerhalter hat für die Kundmachung zu sorgen. Anordnungen gemäß Abs. 1, die flächenhaft für ein bestimmtes Gebiet gelten und nur mit unverhältnismäßig hohem Aufwand mit Straßenverkehrszeichen gemäß § 52 StVO 1960 kundgemacht werden können, können im Landesgesetzblatt kundgemacht werden. Der Inhalt dieser Anordnungen ist auf der Internetseite des Landes für jedermann zugänglich zu machen. Anordnungen des Bundesministers für Land- und Forstwirtschaft, Umwelt und Wasserwirtschaft, die im gesamten Bundesgebiet gelten, können durch Kundmachung im Bundesgesetzblatt kundgemacht werden. Der Inhalt dieser Anordnungen ist auf der Internetseite des Bundesministeriums für Land- und Forstwirtschaft, Umwelt und Wasserwirtschaft für jedermann zugänglich zu machen. Auf den Inhalt von solchen Anordnungen, die ausschließlich im Landes- oder Bundesgesetzblatt kundgemacht werden, ist jedenfalls mittels Hinweisschildern ausreichend aufmerksam zu machen.
(6a) Der Landeshauptmann kann für bestimmte Streckenabschnitte im hochrangigen Straßennetz (Autobahnen und Schnellstraßen), die bereits mit einem Verkehrsbeeinflussungssystem gemäß § 44 Abs. 1a StVO 1960 ausgestattet sind, für den Fall zu erwartender Überschreitungen von Grenzwerten gemäß Anlage 1 und 2 oder einer Verordnung gemäß § 3 Abs. 5 durch Verordnung Geschwindigkeitsbeschränkungen festlegen, die auf Grund der örtlichen, topographischen, meteorologischen und luftschadstoffrelevanten Gegebenheiten zur Hintanhaltung der Grenzwertüberschreitungen notwendig sind; in diesem Fall sind die Kosten der Adaptierung des Verkehrsbeeinflussungssystems und zusätzliche Betriebskosten dem Bund (Bundesstraßenverwaltung) vom Land zu ersetzen. Der Landeshauptmann kann eine derartige Verordnung auch für Streckenabschnitte im hochrangigen Straßennetz, die nicht mit einem Verkehrsbeeinflussungssystem gemäß § 44 Abs. 1a StVO 1960 ausgestattet sind, erlassen; diesfalls sind die Errichtungs- und Betriebskosten des Verkehrsbeeinflussungssystems anteilsmäßig zwischen Bund (Bundesstraßenverwaltung) und dem Land gemäß dem voraussichtlichen Verwendungszweck der Verkehrsbeeinflussungsanlage aufzuteilen.
(6b) In der Verordnung gemäß Abs. 6a sind festzusetzen:
- 1. der Streckenabschnitt, auf dem die Geschwindigkeitsbeschränkungen gelten sollen,
- 2. die Höhe der Geschwindigkeitsbeschränkungen, die bei zu erwartenden Grenzwertüberschreitungen jeweils gelten sollen, und
- 3. die Parameter für die In- und Außerkraftsetzung der Geschwindigkeitsbeschränkungen.
(6c) Die Kundmachung von Verordnungen gemäß Abs. 6a erfolgt mittels eines Verkehrsbeeinflussungssystems (§ 44 Abs. 1a StVO 1960). Der örtliche und zeitliche Umfang der von der Behörde verordneten Geschwindigkeitsbeschränkungen wird dabei durch die Anzeige der betreffenden Straßenverkehrszeichen mit der Wirkung bestimmt, als ob der örtliche und zeitliche Umfang von der Behörde bestimmt worden wäre.
(6d) Der Bundesminister für Land- und Forstwirtschaft, Umwelt und Wasserwirtschaft hat im Einvernehmen mit dem Bundesminister für Verkehr, Innovation und Technologie durch Verordnung die allgemeinen Kriterien festzulegen, auf deren Basis der Landeshauptmann die Parameter gemäß Abs. 6b Z 3 anordnet.
(7) Die Organe der Straßenaufsicht sind berechtigt, Personen, die gegen zeitliche und räumliche Beschränkungen verstoßen, am Lenken und an der Inbetriebnahme des Fahrzeuges zu hindern. Zu diesem Zweck sind, falls erforderlich, Zwangsmaßnahmen wie die Abnahme der Fahrzeugschlüssel, das Absperren oder die Einstellung des Fahrzeuges, das Anlegen technischer Sperren, die Abnahme des Führerscheines und dergleichen anzuwenden.
(8) Die in den §§ 98a, 98b, 98e StVO 1960, BGBl. Nr. 159 in der Fassung des Bundesgesetzes BGBl. I Nr. 93/2009 sowie in § 134 Abs. 3b und Abs. 4a KFG 1967, BGBl. Nr. 267 in der Fassung des Bundesgesetzes BGBl. I Nr. 149/2009, vorgesehenen Bestimmungen und technischen Einrichtungen zur Verkehrsüberwachung können auch zur Überwachung von Geschwindigkeitsbeschränkungen und von zeitlichen und räumlichen Beschränkungen des Verkehrs nach diesem Bundesgesetz herangezogen werden.“
34. Nach § 14 wird folgender § 14a samt Überschrift eingefügt:
„Kennzeichnung der Kraftfahrzeuge nach Abgasklassen
§ 14a. (1) An Kraftfahrzeugen, die aufgrund ihrer Einstufung in eine Abgasklasse von allfälligen Beschränkungen und Fahrverboten gemäß § 14 ausgenommen sind oder ausgenommen werden können, ist eine von außen erkennbare Kennzeichnung anzubringen, aus der ersichtlich ist, in welche Abgasklasse das jeweilige Fahrzeug fällt. Diese Abgasklassen-Kennzeichnung ist in Form eines Aufklebers bei Fahrzeugen mit Windschutzscheibe an der Innenseite der Windschutzscheibe dauerhaft und von außen gut lesbar anzubringen, bei Fahrzeugen ohne Windschutzscheibe in unmittelbarer Nähe der Begutachtungsplakette. Aus der Abgasklassen-Kennzeichnung muss eine Identifizierung des Fahrzeuges möglich sein.
(2) Die Abgasklassen-Kennzeichnung ist vom Erzeuger des Fahrzeuges oder seinem inländischen Bevollmächtigten gemäß § 29 Abs. 2 KFG 1967 beim Inverkehrbringen neuer Fahrzeuge anzubringen oder von gemäß § 57a KFG 1967 ermächtigten Stellen anzubringen oder auszufolgen, wenn entsprechende Nachweise erbracht werden, in welche Abgasklasse das Fahrzeug fällt. Kann nicht eindeutig belegt werden, in welche Abgasklasse das Fahrzeug fällt, so ist die Kennzeichnung für die niedrigere Klasse zu vergeben oder, wenn unklar ist, ob das Fahrzeug überhaupt in eine Abgasklasse fällt, die Ausfolgung oder Anbringung der Kennzeichnung zu versagen.
(3) Zur Herstellung der Abgasklassen-Kennzeichnungen werden die zur Herstellung von Begutachtungsplaketten gemäß § 57a Abs. 7 KFG 1967 berechtigten Hersteller ermächtigt. Die Hersteller der Abgasklassen-Kennzeichnung haben auf Grundlage der ihnen zur Verfügung gestellten Information für die korrekte Einstufung eines Kraftfahrzeuges in die entsprechende Abgasklasse Sorge zu tragen und diese Einstufung den für die Ausfolgung und Anbringung ermächtigten Stellen auf geeignete Weise zur Verfügung zu stellen. Die Abgasklassen-Kennzeichnungen dürfen nur an die zur Ausfolgung und Anbringung ermächtigten Stellen gemäß Abs. 2 geliefert werden.
(4) Der Bundesminister für Land- und Forstwirtschaft, Umwelt und Wasserwirtschaft hat durch Verordnung die näheren Bestimmungen festzulegen, insbesondere über
- 1. Aussehen, Abmessungen und Beschaffenheit des Materials der Kennzeichnungen für die einzelnen Abgasklassen,
- 2. Art der Identifizierung des Fahrzeuges (Zuordnung der Kennzeichnung zu einem bestimmten Fahrzeug),
- 3. Preis der Kennzeichnungen und
- 4. Anbringungsort am Fahrzeug.“
35. In § 15 wird nach der Wortfolge „Anlagen gemäß § 2 Abs. 10 Z 3“ das Wort „und“ eingefügt.
36. § 15a lautet:
„§ 15a. Ausnahmen vom Verbot des Verbrennens von Materialien außerhalb von Anlagen gemäß dem Bundesluftreinhaltegesetz, BGBl. I Nr. 77/2010, können eingeschränkt oder aufgehoben werden, sofern die Ausnahmen nicht das Verbrennen von schädlingsbefallenen biogenen Materialien betreffen.“
37. § 16 lautet:
„§ 16. (1) Bei Überschreitungen des Jahresmittelwerts für Stickstoffdioxid gemäß Anlage 1a um mehr als 10 µg/m3 oder bei mehr als 35 Überschreitungen des Tagesmittelwerts für PM10 gemäß Anlage 1a und wenn zu erwarten ist, dass trotz Anordnung und Umsetzung von Maßnahmen gemäß §§ 13 bis 15 in der Fassung dieses Bundesgesetzes BGBl. I Nr. 77/2010 weitere Überschreitungen des Jahresmittelwerts für Stickstoffdioxid gemäß Anlage 1a um mehr als 10 µg/m3 oder mehr als 35 Überschreitungen des Tagesmittelwerts für PM10 gemäß Anlage 1a auftreten, sind unter Beachtung der Grundsätze des § 9b Maßnahmen anzuordnen. Dabei kommen unter anderem folgende Maßnahmen in Betracht:
- 1. Festlegung niedrigerer Emissionsgrenzwerte und/oder geringerer Massenströme als die in den anzuwendenden Verwaltungsvorschriften oder darauf beruhenden behördlichen Anordnungen festgelegten. Diese Anordnungen müssen technisch möglich und verhältnismäßig sein;
- 2. Festlegung von Emissionsgrenzwerten und Massenströmen für Luftschadstoffe, deren Emissionen nach den jeweils anzuwendenden Verwaltungsvorschriften nicht begrenzt sind;
- 3. Beschränkungen oder Verwendungsverbote für bestimmte Brennstoffe oder Produktionsmittel mit besonders hohen spezifischen Emissionen, sofern die Versorgung mit Brennstoffen oder Produktionsmitteln mit geringen spezifischen Emissionen sichergestellt sowie der Einsatz prozesstechnisch möglich ist und nicht zu einer höheren Belastung der Arbeitnehmer führt;
- 4. zeitliche und räumliche Beschränkungen für Kraftfahrzeuge, ausgenommen die in Abs. 2 genannten Fahrzeuge; sowie
- 5. Verbote für Stoffe, Zubereitungen und Produkte, soweit dadurch die Sicherheit und Gesundheit der Arbeitnehmer nicht beeinträchtigt wird.
Unter den selben Voraussetzungen wie bei Überschreitungen des Jahresmittelwerts für Stickstoffdioxid gemäß Anlage 1a um mehr als 10 µg/m3 oder bei mehr als 35 Überschreitungen des Tagesmittelwerts für PM10 gemäß Anlage 1a sind bei Überschreitung der anderen in Anlage 1, 2 und 5 sowie einer Verordnung gemäß § 3 Abs. 5 enthaltenen Immissionsgrenz- bzw. -zielwerte um mehr als 50 v.H. in mehr als einem Beurteilungszeitraum zusätzlich zu den in §§ 13 bis 15 vorgesehenen Maßnahmen die in Z 1 bis 5 vorgesehenen Maßnahmen anzuordnen.
(2) Ausgenommen von einem Fahrverbot gemäß Abs. 1 Z 4 sind jedenfalls Fahrzeuge gemäß § 14 Abs. 2 Z 1 und 5 sowie Fahrzeuge, die
- 1. der unternehmerischen Versorgung mit zur Befriedigung der notwendigen Bedürfnisse des täglichen Lebens dienenden verderblichen Waren,
- 2. der unaufschiebbaren landwirtschaftlichen Tätigkeit für eine gesicherte Nahrungsmittelproduktion oder
- 3. der Versorgung mit mobilen Hilfsdiensten
dienen. Weitere Ausnahmen sind erforderlichenfalls vom Landeshauptmann festzulegen.
(3) Für die Kundmachung von Maßnahmen gemäß Abs. 1 Z 4 gilt § 14 Abs. 6.“
38. Nach § 18 wird folgender 5a. Abschnitt samt Überschrift eingefügt:
„5a. Abschnitt
Nationales Ziel für die Reduzierung des AEI
Programm für die Erreichung des nationalen Ziels für die Reduzierung des AEI
§ 19. (1) Die Bundesregierung hat ein Programm zur fortschreitenden Verminderung der nationalen Emissionen von PM2,5 bis 31. Dezember 2013 derart zu erstellen und umzusetzen, dass das nationale Ziel zur Reduzierung des AEI im Sinne des § 3b erreicht wird. Dieses Programm hat insbesondere auch Maßnahmen zu enthalten, die dazu beitragen, dass die Verpflichtung in Bezug auf den AEI gemäß § 3a eingehalten werden kann. Im Rahmen dieses Programms sind alle erforderlichen Maßnahmen festzulegen, die keine unverhältnismäßigen Kosten verursachen. Der Bundesminister für Land- und Forstwirtschaft, Umwelt und Wasserwirtschaft führt die Koordinierung durch.
(2) Die Bundesregierung hat bis spätestens 31. Dezember 2017 das Programm gemäß Abs. 1 zu aktualisieren und zu überarbeiten. Der Bundesminister für Land- und Forstwirtschaft, Umwelt und Wasserwirtschaft führt die Koordinierung durch.“
39. § 20 lautet:
„§ 20. (1) Anlagen, die nach den anzuwendenden Verwaltungsvorschriften des Bundes einer Genehmigungspflicht unterliegen, und der Neubau einer straßenrechtlich genehmigungspflichtigen Straße oder eines Straßenabschnittes bedürfen keiner gesonderten luftreinhalterechtlichen Genehmigung und es gelten die Bestimmungen der Abs. 2 und 3 als zusätzliche Genehmigungsvoraussetzungen.
(2) Emissionen von Luftschadstoffen sind nach dem Stand der Technik (§ 2 Abs. 8 Z 1 AWG 2002) zu begrenzen.
(3) Sofern in dem Gebiet, in dem eine neue Anlage oder eine emissionserhöhende Anlagenerweiterung oder ein Neubau einer straßenrechtlich genehmigungspflichtigen Straße oder eines Straßenabschnittes genehmigt werden soll, bereits mehr als 35 Überschreitungen des Tagesmittelwertes für PM10 gemäß Anlage 1a oder eine Überschreitung
- des um 10 µg/m3 erhöhten Jahresmittelwertes für Stickstoffdioxid gemäß Anlage 1a,
- des Jahresmittelwertes für PM10 gemäß Anlage 1a,
- des Jahresmittelwertes für PM2,5 gemäß Anlage 1b,
- eines in einer Verordnung gemäß § 3 Abs. 5 festgelegten Immissionsgrenzwertes,
- des Halbstundenmittelwertes für Schwefeldioxid gemäß Anlage 1a,
- des Tagesmittelwertes für Schwefeldioxid gemäß Anlage 1a,
- des Halbstundenmittelwertes für Stickstoffdioxid gemäß Anlage 1a,
- des Grenzwertes für Blei in PM10 gemäß Anlage 1a oder
- eines Grenzwertes gemäß Anlage 5b
vorliegt oder durch die Genehmigung zu erwarten ist, ist die Genehmigung nur dann zu erteilen, wenn
- 1. die Emissionen keinen relevanten Beitrag zur Immissionsbelastung leisten oder
- 2. der zusätzliche Beitrag durch emissionsbegrenzende Auflagen im technisch möglichen und wirtschaftlich zumutbaren Ausmaß beschränkt wird und die zusätzlichen Emissionen erforderlichenfalls durch Maßnahmen zur Senkung der Immissionsbelastung, insbesondere auf Grund eines Programms gemäß § 9a oder eines Maßnahmenkatalogs gemäß § 10 dieses Bundesgesetzes in der Fassung des Bundesgesetzes BGBl. I Nr. 34/2003, ausreichend kompensiert werden, so dass in einem realistischen Szenario langfristig keine weiteren Überschreitungen der in diesem Absatz angeführten Werte anzunehmen sind, sobald diese Maßnahmen wirksam geworden sind.
(4) Die Bestimmungen der Abs. 1 bis 3 gelten nicht für
- 1. Anlagen, die der Gewerbeordnung 1994, dem Emissionsschutzgesetz für Kesselanlagen oder dem Mineralrohstoffgesetz unterliegen,
- 2. mobile technische Einrichtungen, Maschinen und Geräte im Sinne des § 2 Abs. 10 Z 2.
(5) Für Anlagen, die gemäß Abs. 3 genehmigt wurden, sind innerhalb von 5 Jahren ab dem Zeitpunkt der Genehmigung keine Maßnahmen gemäß § 16 anzuordnen.“
40. § 21 Abs. 2 lautet:
„(2) Der Bundesminister für Land- und Forstwirtschaft, Umwelt und Wasserwirtschaft kann mit Verordnung bestimmte Kategorien von Anlagen, die gemäß Abs. 1 genehmigungspflichtig sind, hinsichtlich ihrer Art, Produktionskapazität, thermischen Leistung oder Massenströme festlegen. In der Verordnung können auch Genehmigungsvoraussetzungen, insbesondere der Stand der Technik (§ 2 Abs. 8 Z 1 AWG 2002), für die genehmigungspflichtigen Anlagen oder Anlagenteile, insbesondere für Biogasanlagen, festgelegt werden. Bei der Erlassung dieser Verordnung ist von den Grundsätzen des § 9b auszugehen.“
41. Die Überschrift von § 21a lautet:
„Genehmigung für IPPC-Anlagen“
42. § 21a Abs. 1 lautet:
„(1) Anlagen, die in Anhang I der Richtlinie 2008/1/EG über die integrierte Vermeidung und Verminderung der Umweltverschmutzung (IPPC-Richtlinie), ABl. Nr. L 24 vom 15. Jänner 2008 S. 8, genannt sind und keiner bundesgesetzlichen Genehmigungspflicht hinsichtlich der Luftreinhaltung unterliegen, bedürfen bei Errichtung oder wesentlicher Änderung einer Genehmigung nach diesem Bundesgesetz. Die zuständige Behörde ist die Bezirksverwaltungsbehörde.“
43. § 23 lautet:
„§ 23. (1) Der Bundesminister für Land- und Forstwirtschaft, Umwelt und Wasserwirtschaft hat alle drei Jahre, erstmals 2000, dem Nationalrat einen schriftlichen Bericht über
- 1. den Zustand, die Entwicklung und die Prognose der Immissionen von Luftschadstoffen, für die in den Anlagen 1, 2 und 5b oder in einer Verordnung nach § 3 Abs. 5 Immissionsgrenz- oder -zielwerte festgelegt sind,
- 2. den Zustand, die Entwicklung und die Prognose der Emissionen, die nach diesem Bundesgesetz erhoben werden, und
- 3. den Erfolg der nach diesem Bundesgesetz getroffenen Maßnahmen
vorzulegen.
(2) Der Bundesminister für Land- und Forstwirtschaft, Umwelt und Wasserwirtschaft hat der Europäischen Kommission Berichte gemäß Art. 27 der Richtlinie 2008/50/EG und gemäß Art. 5 der Richtlinie 2004/107/EG über Arsen, Kadmium, Quecksilber, Nickel und polyzyklische aromatische Kohlenwasserstoffe in der Luft, ABl. Nr. L 23 vom 26. Jänner 2005 S. 3, zu übermitteln.
(3) Werden im Rahmen der Berichtspflichten der Abs. 1 und 2 Informationen, insbesondere über Pläne, Programme und Maßnahmen, benötigt, so hat der Landeshauptmann diese in geeigneter Weise dem Bundesminister für Land- und Forstwirtschaft, Umwelt und Wasserwirtschaft zur Verfügung zu stellen.“
44. § 27 lautet:
„§ 27. Die Begrenzung der Emissionen aus Heizungsanlagen (§ 2 Abs. 12) zur Erreichung der Ziele dieses Bundesgesetzes (§ 1) erfolgt durch landesrechtlich festzulegende Maßnahmen.“
45. § 30 Abs. 1 lautet:
„(1) Sofern die Tat nicht den Tatbestand einer mit gerichtlicher Strafe bedrohten Handlung bildet, begeht eine Verwaltungsübertretung und ist zu bestrafen
- 1. mit Geldstrafe bis zu 36 340 Euro, wer einen gemäß § 13a Abs. 2 erteilten Auftrag nicht oder nicht fristgerecht befolgt oder eine Anlage gemäß § 21a Abs. 1 oder eine Anlage gemäß einer Verordnung nach § 21 ohne Genehmigung errichtet oder eine wesentliche Änderung vornimmt;
- 2. mit Geldstrafe bis zu 7 270 Euro, wer einer Anordnung in einer Verordnung nach § 10, ausgenommen Anordnungen gemäß §§ 14 und 16 Abs. 1 Z 4, oder nach § 13 Abs. 3, den Bestimmungen des § 21a Abs. 4 und 6 oder einer Anordnung gemäß § 26b Abs. 2 zuwiderhandelt oder wer zur Erlangung einer Ausnahmegenehmigung gemäß § 14 Abs. 2 Z 4 falsche Angaben macht oder eine Kennzeichnung gemäß § 14 Abs. 4 oder § 14a Abs. 4 missbräuchlich verwendet;
- 3. mit Geldstrafe bis zu 3 630 Euro, wer
- a) einem Auftrag der Behörde zur Vorlage eines Sanierungskonzepts gemäß § 13a Abs. 1 nicht oder nicht fristgerecht nachkommt,
- b) die Erteilung von Auskünften gemäß §§ 9 Abs. 3 und 25 verweigert oder die Auskünfte nicht fristgerecht erteilt,
- c) eine gemäß § 25 vorgesehene Emissionserklärung nicht oder nicht fristgerecht abgibt,
- d) die Organe der zuständigen Behörden an der Ausübung der in § 26 vorgesehenen Kontrollbefugnisse hindert,
- e) einer Aufzeichnungs- oder Meldepflicht gemäß § 21a Abs. 5 nicht nachkommt,
- f) einer Genehmigungsvoraussetzung gemäß § 21 Abs. 2 zuwiderhandelt;
- 4. mit Geldstrafe bis zu 2 180 Euro, wer einer gemäß §§ 14 und 16 Abs. 1 Z 4 erlassenen und entsprechend kundgemachten Anordnung gemäß § 10 zuwiderhandelt.
Bei einer Verwaltungsübertretung im Sinne der Z 4 kann im Fall von Überschreitungen einer Geschwindigkeitsbeschränkung eine Organstrafverfügung (§ 50 VStG) in Höhe von 50 Euro verhängt werden, sofern die Überschreitung nicht mehr als 30 km/h beträgt. Im Fall von Übertretungen von zeitlichen und räumlichen Beschränkungen kann eine Organstrafverfügung in Höhe von 70 Euro verhängt werden.“
46. Nach § 31 wird folgender § 31a samt Überschrift eingefügt:
„Amtsbeschwerde
§ 31a. Der Landeshauptmann ist berechtigt, gegen Bescheide des Unabhängigen Verwaltungssenats in Berufungsverfahren gegen Bescheide gemäß § 30 Beschwerde wegen Rechtswidrigkeit an den Verwaltungsgerichtshof zu erheben.“
47. § 33 lautet:
„§ 33. Mit der Vollziehung dieses Bundesgesetzes ist betraut:
- 1. hinsichtlich der §§ 19, 22, 28 und 29 die Bundesregierung,
- 2. hinsichtlich der § 3 Abs. 6, § 13 Abs. 3 und Anlage 1a der Bundesminister für Land- und Forstwirtschaft, Umwelt und Wasserwirtschaft im Einvernehmen mit dem Bundesminister für Wirtschaft, Familie und Jugend,
- 3. hinsichtlich des § 14 Abs. 1 und 6d der Bundesminister für Land- und Forstwirtschaft, Umwelt und Wasserwirtschaft im Einvernehmen mit dem Bundesminister für Verkehr, Innovation und Technik, und
- 4. im Übrigen der Bundesminister für Land- und Forstwirtschaft, Umwelt und Wasserwirtschaft.“
48. In § 34 werden nach den Worten „Kohlenmonoxid in der Luft“ die Worte „umgesetzt, sofern und solange sie nicht durch die RL 2008/50/EG aufgehoben wurden. Darüber hinaus werden durch dieses Bundesgesetz“ und nach den Worten „Pläne und Programme“ die Worte „sowie die Richtlinie 2008/50/EG “ eingefügt.
49. Nach Artikel VII Abs. 6 wird folgender Abs. 7 angefügt:
„(7) Das Inhaltsverzeichnis zu Art. I, Art. I § 1 Abs. 1, § 2, § 3 samt Überschrift, § 3a samt Überschrift, § 3b samt Überschrift, § 4, § 5 Abs. 1 und 2, § 7, § 8, § 9 Abs. 3, § 9a, § 9b Z 4, § 9c Abs. 7, § 10, § 13, § 13a Abs. 1, § 14 samt Überschrift, § 14a samt Überschrift, § 15, § 15a, § 16, 5a. Abschnitt, § 20, § 21 Abs. 2, die Überschrift zu § 21a, § 21a Abs. 1, § 22, § 23, § 24, § 27, § 28 Abs.1, § 30 Abs. 1, § 31a samt Überschrift, § 33 und § 34 sowie die Anlagen 1, 4, 5 und 8 in der Fassung des Bundesgesetzes BGBl. I Nr. 77/2010 treten mit Ablauf des Tages der Kundmachung des genannten Bundesgesetzes in Kraft; gleichzeitig tritt § 10a samt Überschrift außer Kraft.“
50. Nach der Überschrift „Anlage 1: Konzentration“ wird die Überschrift „Anlage 1a: Immissionsgrenzwerte“ eingefügt.
51. In Anlage 1a lautet die Fußnote *2:
„*2) Der Immissionsgrenzwert von 30 µg/m3 ist ab 1. Jänner 2012 einzuhalten. Die Toleranzmarge beträgt 30 µg/m3 bei Inkrafttreten dieses Bundesgesetzes und wird am 1. Jänner jedes Jahres bis 1. Jänner 2005 um 5 µg/m3 verringert. Die Toleranzmarge von 10 µg/m3 gilt gleich bleibend ab 1. Jänner 2005 bis 31. Dezember 2009. Die Toleranzmarge von 5 µg/m3 gilt gleich bleibend ab 1. Jänner 2010. Im Jahr 2012 ist eine Evaluierung der Wirkung der Toleranzmarge für die Jahre 2010 und 2011 durchzuführen. Auf Grundlage dieser Evaluierung hat der Bundesminister für Land- und Forstwirtschaft, Umwelt und Wasserwirtschaft im Einvernehmen mit dem Bundesminister für Wirtschaft, Familie und Jugend gegebenenfalls den Entfall der Toleranzmarge mit Verordnung anzuordnen.“
52. Nach dem Text der bisherigen Anlage 1 wird folgende Anlage 1b samt Überschrift angefügt:
„Anlage 1b: Immissionsgrenzwert für PM2,5
zu § 3 Abs. 1
Als Immissionsgrenzwert der Konzentration von PM2,5 gilt der Wert von 25 µg/m3 als Mittelwert während eines Kalenderjahres (Jahresmittelwert). Der Immissionsgrenzwert von 25 µg/m3 ist ab dem 1. Jänner 2015 einzuhalten. Die Toleranzmarge von 20% für diesen Grenzwert wird ausgehend vom 11. Juni 2008 am folgenden 1. Jänner und danach alle 12 Monate um einen jährlich gleichen Prozentsatz bis auf 0% am 1. Jänner 2015 reduziert.“
53. In der Überschrift zu Anlage 4 wird der Ausdruck „Abs. 2a“ durch den Ausdruck „Abs. 2“ ersetzt.
54. In der Überschrift zu Anlage 5 wird der Ausdruck „Abs. 2b“ durch den Ausdruck „Abs. 3“ ersetzt.
55. In Anlage 5a wird nach dem Ausdruck „Anlage 5a:“ die Überschrift „Zielwert für Stickstoffdioxid“ angefügt. Z 1 und die Bezeichnung „2.“ entfallen.
56. Nach Anlage 5b wird folgende Anlage 5c samt Überschrift angefügt:
„Anlage 5c: Zielwert für PM2,5
Als Zielwert der Konzentration von PM2,5 gilt der Wert von 25 µg/m3 als Mittelwert während eines Kalenderjahres (Jahresmittelwert).“
57. Nach Anlage 7 wird folgende Anlage 8 angefügt:
„Anlage 8: Verpflichtung in Bezug auf den AEI
zu § 3 Abs. 4, § 3a, § 7 Abs. 2 und § 9a Abs. 2
Als Verpflichtung in Bezug auf den AEI (§ 2 Abs. 23) gilt der Wert von 20 µg/m3. Der AEI wird berechnet als Durchschnittswert über alle Jahresmittelwerte der Messstellen, die gemäß der Verordnung gemäß § 4 zur Berechnung des AEI herangezogen werden.
Die Ausweisung der Überschreitung nach § 7 Abs. 2 wird für die folgenden Jahre geprüft und durchgeführt (die erste Prüfung wird ausnahmsweise nicht über einen Drei-, sondern über einen Zweijahreszeitraum durchgeführt):
- 1. 2009, 2010
- 2. 2009, 2010, 2011
- 3. 2010, 2011, 2012
- 4. 2011, 2012, 2013
- 5. 2012, 2013, 2014
- 6. 2013, 2014, 2015
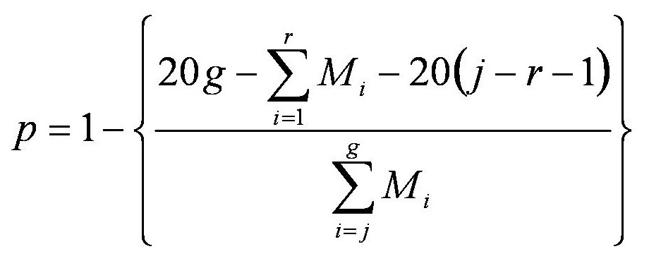
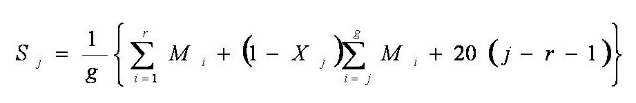
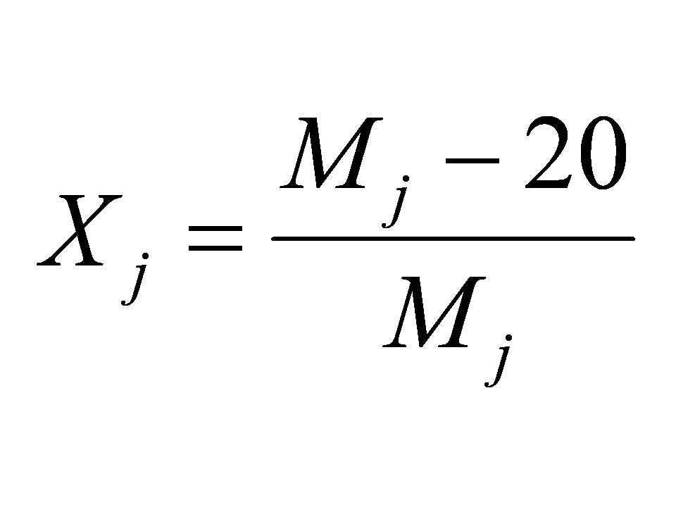
Zur Berechnung der einzelnen Verpflichtungen wird folgender Algorithmus herangezogen:
(1) Die Durchschnittsmesswerte - berechnet über die jeweiligen Jahre - werden für alle Messstationen aufsteigend angeordnet. Die Zahl der Messstellen insgesamt ist g, die Zahl der Messstellen mit einem Durchschnittswert von maximal 20 µg/m³ ist r.
(2) Beginnend mit der Messstelle mit dem niedrigsten Durchschnittsmesswert über 20 µg/m³ wird für jedes j
j = r+1, r+2, …, g
der Reihe nach folgende Berechung durchgeführt:
Mj … Durchschnittsmesswert über die jeweiligen Jahre an der Station j
(3) Nach jeder einzelnen Berechnung wird eine Fallunterscheidung durchgeführt:
(a) Sj < 20. In diesem Fall können die zu erreichenden Durchschnittswerte für 2013, 2014 und 2015 durch Senken der berechneten Durchschnittswerte der Messstationen von über 20 µg/m³ um den gleichen %-Satz derart verringert werden, dass der Durchschnitt 2013, 2014 und 2015 über alle Messstationen 20 µg/m³ beträgt:
Die zu erreichenden Durchschnittswerte für 2013, 2014 und 2015 sind dann um je 100p % geringer als die jeweiligen Durchschnittswerte im Zeitraum der Überschreitung.
(b) Sj = 20. In diesem Fall sollen die zu erreichenden Durchschnittswerte für 2013, 2014 und 2015 um 100 Xj % unter die jeweiligen Durchschnittswerte im Zeitraum der Überschreitung gesenkt werden.
(c) Sj > 20. In diesem Fall beträgt der für die Messstelle j zu erreichende Durchschnittswert für 2013, 2014 und 2015 20 µg/m³ und die Berechnung wird für die nächste Messstelle (j+1) nochmals durchgeführt.“
Artikel II
Änderung des Bundesluftreinhaltegesetzes und Aufhebung des Bundesgesetzes über das Verbot des Verbrennens biogener Materialien außerhalb von Anlagen
Das Bundesluftreinhaltegesetz, BGBl. I Nr. 137/2002, zuletzt geändert durch die SPG-Novelle 2005, BGBl. I Nr. 151/2004, wird wie folgt geändert:
1. Der Titel lautet:
„Bundesgesetz über das Verbrennen von Materialien außerhalb von Anlagen (Bundesluftreinhaltegesetz - BLRG)“
2. Nach § 1 wird folgender § 1a samt Überschrift eingefügt:
„Begriffsbestimmungen
§ 1a. (1) Materialien im Sinne dieses Bundesgesetzes sind sowohl biogene als auch nicht biogene unbehandelte Materialien, wobei
- 1. Biogene Materialien im Sinne dieses Bundesgesetzes unbehandelte Materialien pflanzlicher Herkunft, insbesondere Stroh, Holz, Rebholz, Schilf, Baumschnitt, Grasschnitt und Laub und
- 2. nicht biogene Materialien im Sinne dieses Bundesgesetzes insbesondere Altreifen, Gummi, Kunststoffe, Lacke, synthetische Materialien, nicht naturbelassenes (behandeltes) Holz, Verbundstoffe und sonstige Stoffe, deren Verbrennung außerhalb dafür bestimmter Anlagen die Luft verunreinigt,
sind.
(2) Eine Anlage im Sinne dieses Bundesgesetzes ist jede technische oder bauliche Einrichtung, die für die Verbrennung der jeweiligen Materialien bestimmt und rechtlich zugelassen ist und dabei eine Reduktion der Luftschadstoffe im Vergleich zum offenen Verbrennen bewirkt.
(3) Lagerfeuer, und Grillfeuer im Sinne dieses Bundesgesetzes sind Feuer, die ausschließlich mit trockenem unbehandelten Holz oder mittels Holzkohle beschickt werden.
(4) Feuer im Rahmen von Brauchtumsveranstaltungen im Sinne dieses Bundesgesetzes sind Feuer, die ausschließlich mit biogenen Materialien beschickt werden.
(5) Abflammen im Sinne dieses Bundesgesetzes ist eine Hitzebehandlung von bewachsenen oder unbewachsenen Böden, wobei Schadorganismen zerstört werden, ohne dabei zu verbrennen.
(6) Räuchern im Sinne dieses Bundesgesetzes ist das Abbrennen von stark rauchendem Rebholz oder Stroh zur direkten Frostbekämpfung im Obst- oder Weingarten.“
3. In § 2 Abs. 2 wird die Wortfolge „durch üble Gerüche“ durch die Wortfolge „ durch Rauch und üble Gerüche“ und die Wortfolge „Bloß geringfügige Geruchsentwicklung“ durch die Wortfolge „Bloß geringfügige Geruchs- und Rauchentwicklung“ ersetzt.
4. § 3 samt Überschrift lautet:
„Verbrennen von Materialien außerhalb von Anlagen
§ 3. (1) Sowohl das punktuelle als auch das flächenhafte Verbrennen von biogenen Materialien sowie das Verbrennen nicht biogener Materialien außerhalb dafür bestimmter Anlagen ist verboten.
(2) Im Falle des Verstoßes gegen Abs. 1 hat die Bezirksverwaltungsbehörde dem Verpflichteten das unverzügliche Löschen des Feuers aufzutragen und bei Nichtbefolgung des Auftrags die Löschung gegen Ersatz der Kosten durch den Verpflichteten nötigenfalls unverzüglich durchführen zu lassen.
(3) Vom Verbot des Abs. 1 ausgenommen sind
- 1. das Verbrennen im Freien im Rahmen von Übungen zur Brand- und Katastrophenbekämpfung des Bundesheeres und der Feuerwehren sowie der von den Feuerwehren durchgeführten Selbstschutzausbildung von Zivilpersonen,
- 2. Lagerfeuer,
- 3. Grillfeuer,
- 4. das Abflammen im Sinne des § 1a Abs. 5 im Rahmen der integrierten Produktion bzw. biologischen Wirtschaftsweise und
- 5. das punktuelle Verbrennen von geschwendetem Material in schwer zugänglichen alpinen Lagen zur Verhinderung der Verbuschung.
(4) Der Landeshauptmann kann mit Verordnung zeitliche und räumliche Ausnahmen vom Verbot des Verbrennens biogener Materialien für
- 1. das Verbrennen von schädlings- und krankheitsbefallenen Materialien, wenn dies zur wirksamen Bekämpfung von Schädlingen und Krankheiten unbedingt erforderlich und keine andere ökologisch verträgliche Methode anwendbar ist,
- 2. das Räuchern im Obst- und Weingartenbereich als Maßnahme des Frostschutzes,
- 3. Feuer im Rahmen von Brauchtumsveranstaltungen,
- 4. das Abbrennen von Stroh auf Stoppelfeldern, wenn dies zum Anbau von Wintergetreide oder Raps unbedingt erforderlich ist, sofern eine Verrottung des Strohs im Boden auf Grund von Trockenheit nicht zu erwarten ist,
- 5. das Verbrennen von Rebholz in schwer zugänglichen Lagen im Monat April und
- 6. das punktuelle Verbrennen biogener Materialien, das auf Grund von Lawinenabgängen die Nutzbarkeit von Weideflächen in schwer zugänglichen alpinen Lagen beeinträchtigt,
zulassen.
(5) Sofern keine Verordnung gemäß Abs. 4 besteht, kann die Bezirksverwaltungsbehörde auf Antrag mit Bescheid zeitliche und räumliche Ausnahmen vom Verbot gemäß § 3 Abs. 1 für das Verbrennen von biogenen Materialien gemäß Abs. 4 Z 1 und das Verbrennen von Rebholz in schwer zugänglichen Lagen zulassen.
(6) Der Landeshauptmann und die Bezirksverwaltungsbehörde haben bei Anordnungen gemäß Abs. 4 bzw. 5 Sicherheitsvorkehrungen vorzusehen, die eine Gefährdung oder unzumutbare Belästigung der Bevölkerung hintanhalten.“
5. § 4 Abs. 2 entfällt.
6. § 7 samt Überschrift lautet:
„Verhältnis zu anderen Rechtsvorschriften
§ 7. (1) Die in anderen bundes- und landesrechtlichen Vorschriften enthaltenen Bestimmungen über die Reinhaltung der Luft und feuerpolizeiliche Bestimmungen werden durch dieses Gesetz nicht berührt; insbesondere bleiben Verordnungen des Landeshauptmannes, die auf Grund des Bundesgesetzes über das Verbot des Verbrennens biogener Materialien außerhalb von Anlagen, BGBl. Nr. 405/1993, erlassen wurden, für die Dauer von drei Jahren ab Inkrafttreten des Bundesgesetzes BGBl. I Nr. 77/2010 weiterhin in Geltung.
(2) Bei Einsätzen des Bundesheeres gemäß § 2 Abs. 1 des Wehrgesetzes 2001, BGBl. I Nr. 146, in der jeweils geltenden Fassung, bei der unmittelbaren Vorbereitung solcher Einsätze sowie bei einsatzähnlichen Übungen des Bundesheeres sind Luftverunreinigungen tunlichst zu vermeiden. Im Übrigen unterliegen solche Einsätze und deren unmittelbare Vorbereitung sowie solche einsatzähnlichen Übungen nicht diesem Bundesgesetz.
(3) Die §§ 40 bis 45 des Forstgesetzes 1975, BGBl. Nr. 440, in der jeweils geltenden Fassung, sowie die auf Grund dieser Bestimmungen ergangenen Verordnungen werden durch dieses Bundesgesetz nicht berührt.
(4) Ausnahmen, welche gemäß § 3 Abs. 4 und 5 gewährt wurden, gelten nicht:
- 1. in einem Ozonüberwachungsgebiet im Sinne des § 1 des Ozongesetzes, BGBl. I Nr. 34/2003, in der jeweils geltenden Fassung, im Fall der Überschreitung der Ozon-Informations- oder Alarmschwelle. Der Zeitraum der Überschreitung wird durch die Verlautbarung durch den Landeshauptmann nach § 8 des Ozongesetzes und die Verlautbarung der Entwarnung nach § 10 des Ozongesetzes bestimmt.
- 2. in einem Gebiet, in dem Alarmwerte gemäß Anlage 4 des Immissionsschutzgesetzes-Luft überschritten sind.“
7. In § 8 Abs. 1 Z 2 wird die Wortfolge „nicht biogene Materialien“ durch die Wortfolge “biogene oder nicht biogene Materialien“ ersetzt.
8. In § 8 Abs. 1 wird der Punkt am Ende der Z 3 durch einen Strichpunkt ersetzt; folgende Z 4 wird angefügt:
- „4. einer Anordnung gemäß § 3 Abs. 4 und 5 zuwiderhandelt.“
9. Die Überschrift zu § 10 lautet:
„Inkrafttreten; Außerkrafttreten“
10. Dem bisherigen Text des § 10 wird die Absatzbezeichnung „(1)“ vorangestellt; folgender Abs. 2 wird angefügt:
„(2) Der Titel, § 1a samt Überschrift, § 2 Abs. 2, die §§ 3 und 7 samt Überschriften, § 8 Abs. 1 Z 2 bis 4, die Überschrift zu § 10 sowie § 10 Abs. 1 in der Fassung des Bundesgesetzes BGBl. I Nr. 77/2010 treten mit Ablauf des Tages der Kundmachung des genannten Bundesgesetzes in Kraft; gleichzeitig treten § 4 Abs. 2 sowie das Bundesgesetz über das Verbot des Verbrennens biogener Materialien außerhalb von Anlagen, BGBl. Nr. 405/1993, außer Kraft.“
Fischer
Faymann
Lizenziert vom RIS (ris.bka.gv.at - CC BY 4.0 DEED)
