Anlage 2
Anlage 2 (zu § 3 Abs. 10 und § 4 Abs. 5)
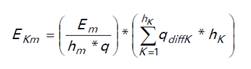
wobei:
EKm = die Entgeltkürzung pro Monat;
Em = das Entgelt pro Monat;
hm = die Gesamtanzahl der Stunden des Monats, in dem die Einschränkung der Transportdienstleistung auftritt;
q = die vertraglich vereinbarte Stundenrate am Ein- bzw. Ausspeisepunkt;
qdiffK = die Differenz zwischen nominierter Stundenrate am Ein- bzw. Ausspeisepunkt und der am selben Punkt zur Verfügung gestellten Stundenrate je eingeschränkter Stunde, sofern diese Differenz positiv ist;
hK = die Anzahl der Stunden innerhalb des Leistungsmonats, für deren Dauer die Transportdienstleistung eingeschränkt wird.
Zuletzt aktualisiert am
05.06.2020
Gesetzesnummer
20007992
Dokumentnummer
NOR40223693
Lizenziert vom RIS (ris.bka.gv.at - CC BY 4.0 DEED)
