Anlage 2
Anlage 2 (zu § 3 Abs. 10 und § 4 Abs. 5)
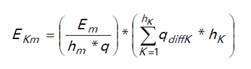
wobei:
- EKm = die Entgeltkürzung pro Monat;
- Em = das Entgelt pro Monat;
- hm = die Gesamtanzahl der Stunden des Monats, in dem die Einschränkung der Transportdienstleistung auftritt;
- Q = die vertraglich vereinbarte Stundenrate am Entnahmepunkt;
- qdiffK =die Differenz zwischen vertraglich vereinbarter Stundenrate am Entnahmepunkt und der am Entnahmepunkt zur Verfügung gestellten Stundenrate je eingeschränkter Stunde;
- hK = die Anzahl der Stunden innerhalb des Leistungsmonats, für deren Dauer die Transportdienstleistung eingeschränkt wird.
Zuletzt aktualisiert am
05.06.2020
Gesetzesnummer
20007992
Dokumentnummer
NOR40142409
Lizenziert vom RIS (ris.bka.gv.at - CC BY 4.0 DEED)
