vorheriges Dokument
nächstes Dokument

Anmerkung zu den Beiträgen von Fischer / Greistorfer / Sommersguter-Reichmann: "Turbo-Zertifikate" (ÖBA 12/2002, S. 995-1005) und "Short-Zertifikate" (ÖBA 2/2003, S. 119-128)

AufsätzeUlrich Sonnemann Sascha WilkensÖBA 2003, 946 Heft 12 v. 1.12.2003

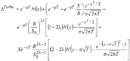
1. Im Beitrag "Turbo-Zertifikate" fehlt in der Formel für das Delta eines Turbo-Zertifikates (S. 999, linke Spalte) in der ersten Zeile vor dem Term der Vorfaktor e-qT. Die Formel muß korrekterweise wie folgt lauten:

Sie möchten den gesamten Inhalt lesen?

Melden Sie sich bei Lexis 360® an.
Anmelden

Sie haben noch keinen Zugang?
Testen Sie Lexis 360® zwei Wochen kostenlos!
Jetzt testen!