Zusatzinformationen | |
|---|---|
Materie: | Steuer |
betroffene Normen: | § 14 BewG 1955, Bewertungsgesetz 1955, BGBl. Nr. 148/1955 |
Schlagworte: | unverzinste Forderungen, niedrig verzinste Forderungen, unverzinste Verbindlichkeiten, niedrig verzinste Verbindlichkeiten, Renten, dauernde Lasten, Forderungsbewertung, Verbindlichkeitsbewertung |
Verweise: | BMF 16.12.2008, SZK-010201/0094-GVB/2008 |
1.3.5 Tilgung, wobei im letzten Jahr Raten in geringerer Anzahl anfallen
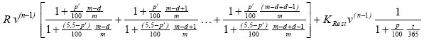
Erfolgen im letzten Jahr nicht Zahlungen in m-facher Anzahl, so ist die Differenz (D) der fehlenden Zahlungen (d) vom nach dem auf Grund der in den Punkten 1.3.2 und 1.3.3 dargestellten Formeln ermittelten Betrag abzuziehen. Bei der Anwendung der in den Punkten 1.3.2 und 1.3.3 dargestellten Formeln sowie in den unten dargestellten Formeln ist dabei das letzte Jahr, in dem Zahlungen nicht in voller m-facher Anzahl geleistet werden, in der Variablen n zu berücksichtigen.
Der abzuziehende Betrag beträgt bei gleichbleibender Kapitaltilgung (siehe Punkt 1.3.2):
- Bei nachschüssiger Zahlungsweise, ohne Abschlusszahlung und bei gleichbleibender Kapitaltilgung:
- Bei vorschüssiger Zahlungsweise, ohne Abschlusszahlung und bei gleichbleibender Kapitaltilgung:
- Bei nachschüssiger Zahlungsweise mit Abschlusszahlung und bei gleichbleibender Kapitaltilgung:
- K 0 bei vorschüssiger Zahlungsweise ohne Abschlusszahlung und bei gleichbleibender Kapitaltilgung:
Der abzuziehende Betrag beträgt bei sich erhöhender Kapitaltilgung (siehe Punkt 1.3.):
- Bei nachschüssiger Zahlungsweise, ohne Abschlusszahlung und sich erhöhender Kapitaltilgung:
- Bei vorschüssiger Zahlungsweise, ohne Abschlusszahlung und sich erhöhender Kapitaltilgung:
- Bei nachschüssiger Zahlungsweise mit Abschlusszahlung und sich erhöhender Kapitaltilgung:
- Bei vorschüssiger Zahlungsweise mit Abschlusszahlung und sich erhöhender Kapitaltilgung:
1.3.6 Tilgungsfreie Zeiten
Hat eine Forderung oder Schuld zwischen Bewertungsstichtag und erster Fälligkeit eine tilgungsfreie Periode, ist der nach den in den Punkten 1.3.2 bis 1.3.5 dargelegten Formeln ermittelte abgezinste Betrag an Hand der in Punkt 1.2 dargestellten Formel nochmals abzuzinsen; dabei können angefangene Jahre bis zu sechs Monaten abgerundet und angefangene Jahre über sechs Monate aufgerundet werden. Der in den Formeln verwendete Zeitraum n ist dabei vom Beginn der ersten Zahlung an zu rechnen.
Zusatzinformationen | |
|---|---|
Materie: | Steuer |
betroffene Normen: | § 14 BewG 1955, Bewertungsgesetz 1955, BGBl. Nr. 148/1955 |
Schlagworte: | unverzinste Forderungen, niedrig verzinste Forderungen, unverzinste Verbindlichkeiten, niedrig verzinste Verbindlichkeiten, Renten, dauernde Lasten, Forderungsbewertung, Verbindlichkeitsbewertung |
Verweise: | BMF 16.12.2008, SZK-010201/0094-GVB/2008 |
