286. Verordnung des Bundesministers für Verkehr, Innovation und Technologie, mit der die Binnenschifffahrtsfunkverordnung geändert wird
Auf Grund der §§ 53 und 73 Abs. 3 des Telekommunikationsgesetzes, BGBl. I Nr. 70/2003, zuletzt geändert durch das Bundesgesetz BGBl. I Nr. 178/2004, auf Grund von § 3 Abs. 3 des Bundesgesetzes über Funkanlagen und Telekommunikationsendeinrichtungen, BGBl. I Nr. 134/2001, zuletzt geändert durch das Bundesgesetz BGBl. I Nr. 25/2002, sowie auf Grund von § 8 Abs. 1 des Bundesgesetzes betreffend Funker-Zeugnisse, BGBl. I Nr. 26/1999, zuletzt geändert durch das Bundesgesetz BGBl. I Nr. 32/2002, wird verordnet:
Die Binnenschifffahrtsfunkverordnung-BSFV, BGBl. II Nr. 320/2002, wird wie folgt geändert:
1. Im Inhaltsverzeichnis wird die Zeile: „§ 8. Äquivalente Strahlungsleistung (ERP) bei tragbaren Funkanlagen“ ersetzt durch die Zeile „§ 8. Ausgangsleistung bei tragbaren Funkanlagen“.
2. Im Inhaltsverzeichnis wird nach der Zeile „§ 13. Verweisungen“ die Zeile „§ 14. Verlautbarungen“ angefügt.
3. In § 1 Abs. 2 wird folgender Satz angefügt:
„Sie sind bei dessen Ausübung einzuhalten.“
4. In § 2 Z 1 werden nach dem Wort „Sprechfunkdienst“ die Worte „und das Automatic Identification System (AIS)“ eingefügt.
5. In § 2 entfällt die Z 10.
6. § 3 samt Überschrift lautet:
„Formvorschriften
§ 3. Anträge auf Bewilligung zur Errichtung und zum Betrieb einer Schiffsfunkstelle sind schriftlich bei der Fernmeldebehörde einzubringen und haben jedenfalls die in Anlage 1 angeführten Angaben zu enthalten. Die in Anlage 1 genannten Dokumente sind dem Antrag anzuschließen.“
7. § 5 Abs. 2 entfällt.
8. In § 7 Abs. 2 wird nach dem Wort „Ausgangsleistung“ das Wort „automatisch“ eingefügt.
9. § 8. samt Überschrift lautet:
„Ausgangsleistung bei tragbaren Funkanlagen
§ 8. Bei tragbaren Funkanlagen muss die Ausgangsleistung auf einen Wert zwischen 0,5 Watt und 6 Watt eingestellt sein.“
10. In § 11 Abs. 1 und 2 wird nach dem Wort „Wasserstraßen“ das Wort „nur“ eingefügt.
11. In § 12 wird nach dem Abs. 1 folgender Abs. 1a eingefügt:
„(1a) Zum Zeitpunkt des In-Kraft-Tretens dieser Verordnung in der Fassung BGBl. II Nr. 286/2005 bestehende Bewilligungen bleiben im bestehenden Umfang aufrecht.“
12. Nach § 13 wird nachstehender § 14 samt Überschrift angefügt:
„Verlautbarungen
§ 14. Die in Anlage 4 zitierten Unterlagen mit technischem Inhalt liegen beim Bundesministerium für Verkehr, Innovation und Technologie, Sektion III, sowie bei den Fernmeldebüros während der Amtsstunden zur Einsicht auf.“
13. Anlage 1 lautet:
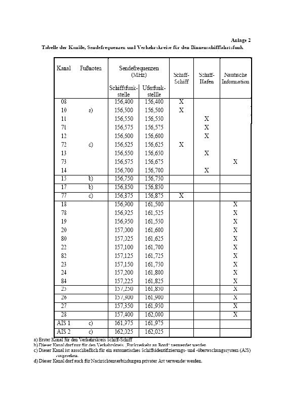
14. Anlage 2 lautet:
15. In Anlage 3 lauten die Z 1 lit. d) und e):
„d) Die Durchführung zeitlich abwechselnder Hörbereitschaft auf zwei oder mehreren Kanälen (Dual watch, Tripple watch, Scannen) ist nicht zulässig.
e) Die Verwendung des digitalen Selektivrufes (DSC), der für den beweglichen Seefunkdienst vorgesehen ist, ist im Binnenschifffahrtsfunk nicht zulässig.“
16. In Anlage 4 lautet die Z 1 zweiter Satz:
„Ein Ausdruck des Allgemeinen Teils und des für das jeweilige Fahrtgebiet relevanten Teiles des „Handbuches für den Binnenschifffahrtsfunk“, welches jährlich von der Zentralkommission für die Rheinschifffahrt gemeinsam mit der Donaukommission herausgegeben wird, ist in der jeweils aktuellen Fassung mitzuführen.“
17. In Anlage 4 lautet die Z 2.2 samt Überschrift:
„2.2 Schiffsfunkstellen
Schiffsfunkstellen müssen in den Verkehrskreisen „Schiff-Schiff“, „Nautische Information“ und „Schiff-Hafen“ senden und empfangen können.“
18. In Anlage 4 lautet die Z 2.3 samt Überschrift:
„2.3 Inhalt der Meldungen
In den Verkehrskreisen „Schiff-Schiff“, „Funkverkehr an Bord“, „Nautische Information“ und „Schiff-Hafen“ dürfen nur Nachrichten übermittelt werden, die sich ausschließlich auf den Schutz des menschlichen Lebens, die Fahrt und die Sicherheit von Schiffen beziehen, es sei denn, aus Anlage 2 ergibt sich anderes.“
Gorbach
Lizenziert vom RIS (ris.bka.gv.at - CC BY 4.0 DEED)
