Berechnung des Garantiebetrages
§ 4
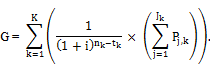
(1) Der Garantiebetrag G zum Bilanzstichtag, zu dem die zusätzliche Rückstellung zu bilden ist, wird jeweils aus der abgezinsten Summe der bisherigen Prämieneinzahlungen ermittelt, wobei Jk die Anzahl der bisherigen Prämieneinzahlungen von Vertrag k und K die Gesamtanzahl der Verträge der prämienbegünstigten Zukunftsvorsorge angeben:
(2) Zusätzliche Garantiebeträge bzw. während der Laufzeit zugeteilte Gewinnanteile sind dem Garantiebetrag gemäß Abs. 1 hinzuzurechnen, wobei der Zeitpunkt des Entstehens des Anspruchs auf die jeweilige Leistung zu berücksichtigen ist.
Zusatzdokumente: image001
Lizenziert vom RIS (ris.bka.gv.at - CC BY 4.0 DEED)
