Anhang I
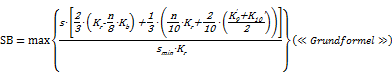
Berechnung des Steuerbetrages
wobei
____________________________________________________________________________________
Um Negativsteuern zu verhindern, gilt:
Falls , wird diese Größe gleich null gesetzt.
Der erhöhte Steuerbetrag SB' errechnet sich wie folgt:
Falls sl ≥ 0.30 (d.h. 30 %) und:
falls 2 Mio. ≤ Kr < 4 Mio., | dann gilt sl' = 0.32 |
falls 4 Mio. ≤ Kr < 6 Mio., | dann gilt sl' = 0.34 |
falls 6 Mio. ≤ Kr < 8 Mio., | dann gilt sl' = 0.36 |
falls 8 Mio. ≤ Kr, | dann gilt sl' = 0.38 |
Es gilt SB' = sl'Kr .
Artikel 7 Absatz 5 legt fest, dass die Einmalzahlung in Euro berechnet wird. Alle Beträge in diesem Anhang sind somit in Euro.
SB | Steuerbetrag |
SB' | Erhöhter Steuerbetrag |
s | Steuersatz (30 %) |
sl | Steuerbelastung |
sl' | Erhöhte Steuerbelastung |
Kr | Relevantes Kapital |
n | Anzahl Jahre der Bankbeziehung vor dem 31.12.2010, 0 ≤ n ≤ 8 |
Kb | Kapitalbestand am Ende des Jahres, in dem die Bankbeziehung eröffnet wurde. Für Bankbeziehungen, die vor dem 01.01.2003 eröffnet wurden, ist der Kapitalbestand am 31.12.2002 maßgebend. |
i | Jahr i, 1 ≤ i ≤ 10, wobei das Jahr 1 am 01.01.2003 beginnt |
Ki | Kapitalbestand am Ende des Jahres i |
K8 | Kapitalbestand am Ende des achten Jahres (31.12.2010) |
K10 | Kapitalbestand am Ende des zehnten Jahres (31.12.2012) |
K9', K10' | Fiktives Kapital am Ende des neunten (31.12.2011), resp. des zehnten Jahres (31.12.2012) |
R | Rendite (3 % per annum) |
Smin | Minimalsteuersatz (15 %) |
Rückflüsse | Zuflüsse in den Jahren 9 und 10, welche Abflüsse in den Jahren 1–8 kompensieren |
Zusatzdokumente: image001, image002, image003, image004, image005, image006, image007
Lizenziert vom RIS (ris.bka.gv.at - CC BY 4.0 DEED)
