vgl. § 103
VIII. Verbraucherbestimmungen Verbraucherkreditverträge
§ 33.
(1) Verbraucherkredite sind Kredite im Sinne des § 1 Abs. 1 Z 3 und 12 an Verbraucher im Sinne des § 1 Abs. 1 Z 2 KSchG.
(2) Unbeschadet der Wirksamkeit des Rechtsgeschäftes bedürfen Verbraucherkreditverträge der Schriftform. Das Kreditinstitut hat bei Abschluß eines Verbraucherkreditvertrages dem Verbraucher eine in deutscher Sprache abgefaßte Ausfertigung des Vertrages auszuhändigen. Auf Verlangen des Kreditwerbers hat das Kreditinstitut diesem einen Entwurf des in Aussicht genommenen Vertrages auszuhändigen. Der Verbraucherkreditvertrag hat zumindest folgende Angaben zu enthalten:
- 1. Jeweils in Form absoluter Beträge
- a) die Gesamtbelastung gemäß Abs. 7,
- b) die Summen der gemäß Abs. 7 Z 2 lit. c und d auszunehmenden Kostenelemente und
- c) die Summe aus den gemäß lit. a und b anzugebenden Beträgen,
- 2. den effektiven Jahreszinssatz in arabischen Ziffern an auffallender Stelle des Vertrages,
- 3. einen Hinweis auf den Aushang des geltenden fiktiven Jahreszinssatzes für den Zahlungsverzug gemäß § 35 Abs. 1 Z 1 lit. d,
- 4. eine allfällige Zinsgleitklausel, die an objektive Maßstäbe zu binden ist (§ 6 Abs. 1 Z 5 KSchG bleibt unberührt) und
- 5. die Anzahl, die Höhe und die Fälligkeitszeitpunkte der rückzuzahlenden Teilbeträge der Gesamtbelastung;
- 6. einen Hinweis auf die Sparkomponente, wenn zum Zwecke der Kreditbesicherung mit dem Verbraucherkreditvertrag eine Erlebensversicherung oder Er- und Ablebensversicherung abgeschlossen werden soll, sowie einen Hinweis für den Fall, daß die Versicherungssumme höher als die Gesamtbelastung oder die Laufzeit der Versicherung länger als jene des Kredites ist.
(3) Für den Verbraucherkreditvertrag von revolvierenden Kontokorrentkrediten gelten Abs. 2 erster bis dritter Satz, die Vertragsinhalte gemäß Abs. 2 Z 1, 3 und 4 unter den Tilgungsannahmen des Abs. 5 sowie die Bedingungen zur Zinssatzänderung gemäß Abs. 6. Das Kreditinstitut hat den fiktiven Jahreszinssatz anzugeben und gemäß Abs. 5 zu berechnen. Revolvierende Kontokorrentkredite im Sinne dieser Bestimmung sind Kredite in laufender Verrechnung, bei denen der Verbraucher im Rahmen der vereinbarten Laufzeit über den Kreditbetrag oder Teile davon frei und wiederholt verfügen kann. Die Bestimmungen dieses Absatzes sind nicht anzuwenden auf
- 1. den Zahlungsverzug bei Verbraucherkrediten und
- 2. die Überziehung von Verbrauchergirokonten.
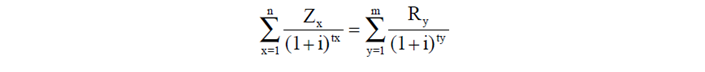
(4) Der effektive Jahreszinssatz ist jener ganzjährige, dekursive Hundertsatz, der rechnerische Gleichheit zwischen dem ausbezahlten Kreditbetrag und der Gesamtbelastung des Verbrauchers herstellt. Er drückt die Kreditkosten gemäß Abs. 7 Z 2 im Verhältnis zum ausbezahlten Kreditbetrag aus, ist aus folgender finanzmathematischer Formel zu errechnen und unter Anwendung kaufmännischer Rundungsregeln auf zumindest eine Dezimalstelle anzugeben:
Hiebei ist:
- Zx der Teil des Kreditbetrages mit Nummer 1 bis n, der dem Verbraucher ausbezahlt wird, tx der in Jahren oder Jahresbruchteilen ausgedrückte Zeitabstand zwischen dem Zeitpunkt der Auszahlung des ersten Teiles des Kreditbetrages und dem Zeitpunkt der späteren Auszahlungen Z2 bis Zn, wobei t1=0 gilt,
- i der effektive Jahreszinssatz,
- Ry der jeweils rückzuzahlende Teilbetrag der Gesamtbelastung mit Nummer 1 bis m,
- ty der in Jahren oder Jahresbruchteilen ausgedrückte Zeitabstand zwischen dem Zeitpunkt, in dem der Kreditbetrag Z1 dem Verbraucher ausbezahlt wird, und dem jeweiligen Rückzahlungszeitpunkt der Teilbeträge R1 bis Rn. Für tx und ty ist das Jahr mit 365 Tagen, in Schaltjahren 366 Tagen, 52 Wochen oder 12 gleichlangen Monaten zu jeweils 30,41666 Tagen zu rechnen. Anstelle der gesonderten Berücksichtigung von Schaltjahren kann das Jahr auch stetig zu 365,25 Tagen berechnet werden, jedoch muss die einmal gewählte Methode mindestens vier Jahre beibehalten werden.
(5) Der fiktive Jahreszinssatz ist jener ganzjährige, dekursive Hundertsatz, der rechnerische Gleichheit zwischen dem ausbezahlten Kreditbetrag - unabhängig vom tatsächlichen Zeitpunkt der Auszahlung - und der Gesamtbelastung des Verbrauchers herstellt. Er drückt die Kreditkosten gemäß Abs. 7 Z 2 im Verhältnis zum verfügbaren Kreditbetrag aus. Für diese Berechnung ist anzunehmen, daß der dem Verbraucher zur freien Verfügung stehende Kreditbetrag zur Gänze in Anspruch genommen und in einer Tranche nach einem Jahr ab dem ersten Tag der Verfügbarkeit zurückbezahlt wird. Der fiktive Jahreszinssatz ist aus folgender finanzmathematischer Formel zu errechnen und unter Anwendung kaufmännischer Rundungsregeln auf eine Dezimalstelle anzugeben:
| R |
Z = | ___ |
| 1 + i |
Hiebei ist:
- Z der Kreditbetrag, über den der Verbraucher verfügen kann,
- R der rückzuzahlende Betrag der Gesamtbelastung,
- i der fiktive Jahreszinssatz.
(6) Das Kreditinstitut hat dem Verbraucher jede Änderung des effektiven Jahreszinssatzes gemäß Abs. 4 und des fiktiven Jahreszinssatzes gemäß Abs. 5 vor Wirksamwerden der Änderung schriftlich bekanntzugeben. Diese Mitteilung hat Angaben über die Höhe der Änderung, den Zeitpunkt ihres Wirksamwerdens und den neuen Zinssatz zu enthalten. Für den Zahlungsverzug des Verbrauchers oder die Überziehung von Verbrauchergirokonten kann das Kreditinstitut diese Angaben im Aushang gemäß § 35 Abs. 1 Z 1 vor Wirksamwerden der Änderung bekanntgeben, sofern gleichzeitig der Verbraucher auf diese Vorgangsweise schriftlich hingewiesen wird. Bei Verbraucherkrediten ist im Falle einer Änderung des Zinssatzes die Höhe der Rate jeweils so anzupassen, daß die Rückzahlung innerhalb der ursprünglich vereinbarten Laufzeit möglich ist. Eine abweichende Vereinbarung ist zulässig, wenn sie im einzelnen ausgehandelt wird.
(7) Die Gesamtbelastung ist die Summe der Leistungen, die das Kreditinstitut im Zusammenhang mit der Kreditgewährung vom Verbraucher verlangt. Zur Gesamtbelastung zählen:
- 1. Der ausbezahlte Kreditbetrag und
- 2. die Kreditkosten mit Ausnahme jener Kosten, die dem Verbraucher erwachsen durch:
- a) Nichterfüllung seiner Verpflichtungen,
- b) Überweisung der rückzuzahlenden Teilbeträge oder Führung eines Kontos, sofern diese Kosten nicht höher sind, als jene für Verbrauchergirokonten,
- c) Zahlungen öffentlicher Abgaben und
- d) Zahlungen für Versicherungen oder Sicherheiten, soweit sie bei Tod, Invalidität, Krankheit oder Arbeitslosigkeit des Verbrauchers die Rückzahlung eines die Gesamtbelastung übersteigenden Betrages an das Kreditinstitut sichern und die Zahlung vom Kreditinstitut nicht zwingend als Bedingung für die Kreditgewährung vorgeschrieben wird.
(8) Der Verbraucher ist berechtigt, seine Verbindlichkeiten aus einem Verbraucherkreditvertrag ganz oder teilweise vorzeitig zu erfüllen. In diesem Fall hat das Kreditinstitut die Gesamtbelastung um jenen Betrag an Zinsen und laufzeitabhängigen Kosten zu vermindern, der bei kontokorrentmäßiger Abrechnung des vorzeitig zurückgezahlten Betrages nicht anfällt. Die Vereinbarung oder Verrechnung darüber hinausgehender Entgelte für den Fall vorzeitiger Rückzahlung ist außer in Fällen der Z 1 und Z 2 nicht zulässig. Für die vorzeitige Rückzahlung kann eine Kündigungsfrist vereinbart werden im Ausmaß
- 1. von höchstens sechs Monaten bei Krediten, die nachweislich zur Schaffung oder Sanierung von Gebäuden bestimmt sind und eine Laufzeit von zumindest zehn Jahren aufweisen, sowie bei hypothekarisch besicherten Krediten (§ 18 Hypothekenbankgesetz bleibt unberührt), oder
- 2. der allfällig vereinbarten Festzinsperiode bei Krediten nach Z 1.
(9) Das Kreditinstitut hat dem Verbraucher im ersten Quartal jedes Jahres eine Kontomitteilung mit dem Stichtag 31. Dezember des Vorjahres auszuhändigen, in der zumindest die Summe der geleisteten Zahlungen, die Summe der Belastungen sowie die aushaftenden Salden enthalten sind.
(10) Bei im Rahmen der Ausgabe und Verwaltung von Zahlungsmitteln im Sinne § 1 Abs. 1 Z 6 gewährten Krediten an Verbraucher im Sinne des § 1 Abs. 1 Z 2 KSchG hat das kreditgewährende Kreditinstitut dem Verbraucher bei Vertragsabschluß den fiktiven Jahreszinssatz gemäß § 33 Abs. 5 mitzuteilen. Für die Änderung dieses Zinssatzes gilt Abs. 6.
Lizenziert vom RIS (ris.bka.gv.at - CC BY 4.0 DEED)
