Allgemeines Positionsrisiko in zinsbezogenen Instrumenten
§ 208
(1) Kreditinstitute haben das allgemeine Positionsrisiko in zinsbezogenen Instrumenten laufzeitbezogen gemäß Abs. 3 oder anhand der modifizierten Duration gemäß Abs. 4 zu berechnen.
(2) Das Mindesteigenmittelerfordernis ist für jede Währung getrennt zu berechnen.
(3) Wird das allgemeine Positionsrisiko laufzeitbezogen ermittelt, umfasst das Verfahren drei Grundschritte. Zuerst sind alle Positionen entsprechend ihrer Laufzeit gemäß Z 1 zu gewichten. Im zweiten Schritt sind die Positionen auszugleichen, wenn sich innerhalb des gleichen Laufzeitbandes gewichtete Positionen mit entgegengesetzten Vorzeichen gegenüberstehen. Im dritten Schritt findet ein Positionsausgleich in den Zonen statt, wenn die gewichteten Positionen mit entgegengesetzten Vorzeichen in unterschiedliche Laufzeitbänder fallen, wobei der Umfang des Ausgleiches davon abhängt, ob die beiden Positionen in die gleiche Zone (Zone: Gruppe von Laufzeitbändern) oder in verschiedene Zonen fallen. Im Einzelnen haben Kreditinstitute wie folgt vorzugehen:
- 1. Kreditinstitute haben ihre Nettopositionen in die entsprechenden Laufzeitbänder der Tabelle gemäß Z 4 einzuordnen; dabei ist bei zinsfixen zinsbezogenen Instrumenten die Restlaufzeit und bei zinsvariablen zinsbezogenen Instrumenten der Zeitraum bis zur nächsten Zinsfestsetzung zugrunde zu legen; das Kreditinstitut hat weiters zwischen zinsbezogenen Instrumenten mit einem Nominalzinssatz von 3 vH oder mehr und solchen mit einem Nominalzinssatz unter 3 vH zu unterscheiden und diese entsprechend in die zweite oder dritte Spalte der Tabelle gemäß Z 4 einzuordnen; dann multipliziert es jedes zinsbezogene Instrument mit dem in der vierten Spalte der Tabelle gemäß Z 4 für das betreffende Laufzeitband angegebenen Gewicht;
- 2. anschließend haben Kreditinstitute für jedes Laufzeitband die Summe der gewichteten Kaufpositionen sowie die Summe der gewichteten Verkaufspositionen zu ermitteln; die gewichtete Kaufposition, die innerhalb eines gegebenen Laufzeitbandes durch die gewichtete Verkaufsposition ausgeglichen wird, ist in jenem Band die ausgeglichene gewichtete Position, während die verbleibende Kauf- oder Verkaufsposition die nicht ausgeglichene gewichtete Position für das gleiche Laufzeitband darstellt; anschließend ist die Gesamtsumme der ausgeglichenen gewichteten Positionen sämtlicher Laufzeitbänder zu errechnen;
- 3. Berechnung der Positionen in den jeweiligen Zonen:
- a) Kreditinstitute haben die Gesamtbeträge der nicht ausgeglichenen gewichteten Kaufpositionen für jedes Laufzeitband in jeder der Zonen der Tabelle gemäß Z 4 zu berechnen, um die nicht ausgeglichene gewichtete Kaufposition für jede Zone zu erhalten;
- b) Kreditinstitute haben die Gesamtbeträge der nicht ausgeglichenen gewichteten Verkaufspositionen für jedes Laufzeitband in jeder der Zonen der Tabelle gemäß Z 4 zu berechnen, um die nicht ausgeglichene gewichtete Verkaufsposition für jede Zone zu erhalten;
- c) jener Teil der nicht ausgeglichenen gewichteten Kaufpositionen einer Zone, der durch die nicht ausgeglichene gewichtete Verkaufsposition für dieselbe Zone ausgeglichen wird, ist die ausgeglichene gewichtete Position dieser Zone;
- d) jener Teil der nicht ausgeglichenen gewichteten Kaufposition oder der nicht ausgeglichenen gewichteten Verkaufsposition einer Zone, der nicht nach lit. c ausgeglichen werden kann, ist die nicht ausgeglichene gewichtete Position dieser Zone;
- 4. folgende Zonen und Laufzeitbänder sind vorzusehen:
Zonen | Laufzeitbänder | Gewicht | Angenommene Zinssatzänderung (in vH) | |||
Nominalzinssatz von 3 vH | Nominalzinssatz geringer als | |||||
Spalte | Spalte | Spalte | Spalte | Spalte | ||
Zone | bis 1 Monat | bis 1 Monat | 0,00 | - | ||
Eins | über 1 | bis 3 Monate | über 1 | bis 3 Monate | 0,20 | 1,00 |
über 3 | bis 6 Monate | über 3 | bis 6 Monate | 0,40 | 1,00 | |
über 6 | bis 12 Monate | über 6 | bis 12 Monate | 0,70 | 1,00 | |
Zone | über 1 | bis 2 Jahre | über 1,0 | bis 1,9 Jahre | 1,25 | 0,90 |
Zwei | über 2 | bis 3 Jahre | über 1,9 | bis 2,8 Jahre | 1,75 | 0,80 |
über 3 | bis 4 Jahre | über 2,8 | bis 3,6 Jahre | 2,25 | 0,75 | |
Zone | über 4 | bis 5 Jahre | über 3,6 | bis 4,3 Jahre | 2,75 | 0,75 |
Drei | über 5 | bis 7 Jahre | über 4,3 | bis 5,7 Jahre | 3,25 | 0,70 |
über 7 | bis 10 Jahre | über 5,7 | bis 7,3 Jahre | 3,75 | 0,65 | |
über 10 | bis 15 Jahre | über 7,3 | bis 9,3 Jahre | 4,50 | 0,60 | |
über 15 | bis 20 Jahre | über 9,3 | bis 10,6 Jahre | 5,25 | 0,60 | |
über 20 Jahre | über 10,6 | bis 12,0 Jahre | 6,00 | 0,60 | ||
über 12,0 | bis 20,0 Jahre | 8,00 | 0,60 | |||
über 20,0 Jahre | 12,50 | 0,60 | ||||
- 5. anschließend ist der Betrag der nicht ausgeglichenen gewichteten Kauf- oder Verkaufsposition in Zone Eins, der durch die nicht ausgeglichene gewichtete Verkaufs- oder Kaufposition in Zone Zwei ausgeglichen wird, zu errechnen; dieser wird gemäß Z 9 als die ausgeglichene gewichtete Position zwischen den Zonen Eins und Zwei bezeichnet; dann wird die gleiche Rechenoperation für jenen Teil der nicht ausgeglichenen gewichteten Position in Zone Zwei, der übrig geblieben ist, und die nicht ausgeglichene gewichtete Position in Zone Drei durchgeführt, um die ausgeglichene gewichtete Position zwischen den Zonen Zwei und Drei zu erhalten;
- 6. Kreditinstitute können die Reihenfolge gemäß Z 5 umkehren und zunächst die ausgeglichene gewichtete Position zwischen Zone Zwei und Drei berechnen, bevor sie die entsprechende Position für die Zonen Eins und Zwei berechnen;
- 7. der Restbetrag der nicht ausgeglichenen gewichteten Position in Zone Eins wird dann mit dem Restbetrag für Zone Drei ausgeglichen, nachdem letztere Zone mit Zone Zwei ausgeglichen wurde, um die ausgeglichene gewichtete Position zwischen den Zonen Eins und Drei zu ermitteln;
- 8. die Restpositionen aus den drei gesonderten Ausgleichsrechnungen unter den Z 5 bis 7 werden addiert;
- 9. das Mindesteigenmittelerfordernis errechnet sich als die Summe der Positionen gemäß lit. a bis g:
- a) 10 vH der Summe der ausgeglichenen gewichteten Positionen in sämtlichen Laufzeitbändern,
- b) 40 vH der ausgeglichenen gewichteten Position in Zone Eins,
- c) 30 vH der ausgeglichenen gewichteten Position in Zone Zwei,
- d) 30 vH der ausgeglichenen gewichteten Position in Zone Drei,
- e) 40 vH der ausgeglichenen gewichteten Positionen zwischen den Zonen Eins und Zwei und zwischen den Zonen Zwei und Drei (gemäß Z 5),
- f) 150 vH der ausgeglichenen gewichteten Position zwischen den Zonen Eins und Drei und
- g) 100 vH des Restbetrages der nicht ausgeglichenen gewichteten Positionen.
(4) Wird das allgemeine Positionsrisiko in zinsbezogenen Instrumenten nach einem auf der Duration aufbauenden System ermittelt, haben Kreditinstitute einheitlich wie folgt vorzugehen:
- 1. Kreditinstitute haben unter Zugrundelegung des Marktpreises der einzelnen Instrumente mit fixer Verzinsung deren Endfälligkeitsrendite zu berechnen, die zugleich dem internen Zinsfuß des Instruments entspricht; bei Instrumenten mit variabler Verzinsung ist unter Zugrundelegung des Marktpreises jedes Instruments dessen Rendite unter der Annahme zu berechnen, dass das Kapital fällig wird, sobald der Zinssatz für den darauf folgenden Zeitraum geändert werden darf;
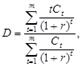
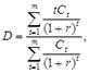
- 2. anschließend haben Kreditinstitute für jedes Instrument die modifizierte Duration nach folgender Formel zu berechnen:
Duration (D):
wobei bedeutet:
r die Endfälligkeitsrendite (gemäß Z 1)
Ct die Barzahlungen im Zeitraum t
m die gesamte Restlaufzeit (gemäß Z 1);
- 3. danach sind diese Instrumente jeweils der entsprechenden Zone der nachfolgenden Tabelle zuzuordnen; dabei legen sie die modifizierte Duration der Instrumente zugrunde:
Zone | Modifizierte Duration | Angenommene Zinssatzänderung (in vH) |
1 | 0 - 1,0 | 1,0 |
2 | über 1,0 - 3,6 | 0,85 |
3 | über 3,6 | 0,7 |
- 4. anschließend ist die durationsgewichtete Position jedes Instruments durch Multiplikation seines Marktpreises mit der modifizierten Duration sowie mit der für die jeweilige Zone angenommenen Zinssatzänderung zu ermitteln;
- 5. Kreditinstitute ermitteln ihre durationsgewichteten Kaufpositionen und ihre durationsgewichteten Verkaufspositionen innerhalb jeder Zone; der Betrag der durationsgewichteten Kaufpositionen, der gegen den Betrag der durationsgewichteten Verkaufspositionen innerhalb jeder Zone aufzurechnen ist, ist die ausgeglichene durationsgewichtete Position für diese Zone; sodann ist die nicht ausgeglichene durationsgewichtete Position für jede Zone zu berechnen; anschließend wird das Verfahren für nicht ausgeglichene gewichtete Positionen gemäß Abs. 3 Z 5 bis 8 angewandt;
- 6. das Mindesteigenmittelerfordernis errechnet sich als die Summe der Positionen gemäß lit. a bis d:
- a) 2 vH der ausgeglichenen durationsgewichteten Position für jede Zone,
- b) 40 vH der ausgeglichenen durationsgewichteten Positionen zwischen Zone Eins und Zone Zwei sowie zwischen Zone Zwei und Zone Drei,
- c) 150 vH der ausgeglichenen durationsgewichteten Position zwischen Zone Eins und Zone Drei und
- d) 100 vH des Restbetrages der nicht ausgeglichenen durationsgewichteten Positionen.
Zusatzdokumente: image001, image002
Lizenziert vom RIS (ris.bka.gv.at - CC BY 4.0 DEED)
