Aufsichtlicher Formelansatz
§ 169
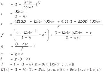
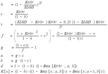
(1) Kreditinstitute haben das Gewicht einer Verbriefungsposition im Rahmen des aufsichtlichen Formelansatzes wie folgt zu berechnen, wobei das Gewicht bei Wiederverbriefungspositionen nicht unter 20 vH, bei allen anderen Verbriefungspositionen nicht unter 7 vH fallen darf:
wobei gilt:
wobei gilt:
wobei gilt:
τ = 1000,
und ω = 20 sind und weiters bedeutet:
Beta [x; a, b] die kumulative Beta-Verteilung mit den Parametern a und b, ausgewertet an der Stelle x;
T das Verhältnis vom Nominalwert der Tranche zur Summe der Forderungsbeträge der Forderungen, die verbrieft wurden. In diesem Sinne ist der Forderungswert eines Derivates gemäß Anlage 2 zu § 22 BWG, bei dem die derzeitigen Wiedereindeckungskosten kein positives Vorzeichen haben, die potenzielle künftige Kreditforderung, so wie sie gemäß den §§ 231 bis 259 berechnet wird;
Kirbr das Verhältnis von Kirb zur Summe der Forderungswerte der Forderungen, die verbrieft wurden. Kirbr wird in Dezimalform ausgedrückt;
L das Verhältnis des Nominalwerts aller Tranchen, die der Tranche, in der die Position gehalten wird, nachrangig sind, zur Summe der Forderungsbeträge der Forderungen, die verbrieft wurden. Kapitalisierte künftige Erträge dürfen nicht in die Berechnung von L einbezogen werden. Von Gegenparteien im Zusammenhang mit Derivaten gemäß Anlage 2 zu § 22 BWG ausstehende Beträge, die im Verhältnis zu der besagten Tranche nachrangigere Tranchen repräsentieren, können bei der Berechnung des Kreditverbesserungsniveaus zu ihren derzeitigen Wiedereindeckungskosten bewertet werden (ohne potenzielle künftige Kreditforderungen);
N die effektive Anzahl der Forderungen gemäß § 166 Abs. 4, wobei das Kreditinstitut bei Wiederverbriefungen auf die Anzahl der Verbriefungspositionen im Pool und nicht auf die Anzahl der zugrunde liegenden Forderungen in den ursprünglichen Pools, aus denen die zugrunde liegenden Verbriefungspositionen stammen, abzustellen hat.
(2) Die forderungsgewichtete durchschnittliche Verlustquote bei Ausfall (ELGD) wird wie folgt berechnet:
wobei LGDi die durchschnittliche LGD repräsentiert, bezogen auf alle Forderungen gegen den i-ten Schuldner und die LGD im Rahmen des auf internen Ratings basierenden Ansatzes zu bestimmen ist. Im Falle einer erneuten Verbriefung einer Verbriefung ist eine LGD von 100 vH auf die verbrieften Positionen anzuwenden. Werden das Ausfall- und das Verwässerungsrisiko für angekaufte Forderungen bei einer Verbriefung auf aggregierte Art und Weise behandelt, ist der LGD-Input als ein gewichteter Durchschnitt von 100 vH der LGD für das Kreditrisiko und 75 vH der LGD für das Verwässerungsrisiko zu berechnen. Die Gewichtungen sind als unabhängiges Mindesteigenmittelerfordernis für das Kredit- und das Verwässerungsrisiko zu behandeln.
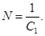
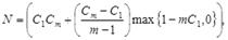
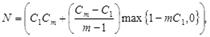
(3) Macht der Forderungswert der größten verbrieften Forderung, C1, nicht mehr als 3 vH der Summe der Forderungsbeträge der verbrieften Forderungen aus, dann kann das Kreditinstitut zum Zwecke des aufsichtlichen Formelansatzes eine LGD von 50 vH ansetzen sowie N gleich setzen mit entweder
oder
Cm ist dabei das Verhältnis aus der Summe der Forderungswerte der höchsten m-Forderungen zur Summe der Forderungsbeträge der verbrieften Forderungen. Die verwendete Höhe von m kann dabei vom Kreditinstitut festgelegt werden. Umfassen die Verbriefungen auch Retail-Forderungen kann h gleich Null und v gleich Null gesetzt werden.
(4) Kreditinstitute können für Verbriefungspositionen im Rahmen des aufsichtlichen Formelansatzes gemäß den §§ 171 und 173 Kreditrisikominderungen zur Anwendung bringen.
Zusatzdokumente: image001, image002, image003, image004, image005, image006
Lizenziert vom RIS (ris.bka.gv.at - CC BY 4.0 DEED)
