Technische Vorschriften für Fahrzeuge der Kategorie 2 (§ 3 Abs. 2 Z 1) auf Gewässern der Zonen 1, 2, 3 und 4
TEIL I
KAPITEL 1
Artikel 1.01
Örtlicher Geltungsbereich
Die Bestimmungen dieser Anlage gelten auf Gewässern, einschließlich Wasserstraßen, der Zonen 1, 2, 3 oder 4 gemäß Anlage 1.
KAPITEL 2
Artikel 2.01
Sachlicher Geltungsbereich
Die Bestimmungen dieser Anlage gelten für Fahrzeuge der Kategorie 2, ausgenommen Sportfahrzeuge.
Artikel 2.02
Fahrzeuge mit CE-Kennzeichnung
(1) Für Fahrzeuge, deren Übereinstimmung mit den grundlegenden Sicherheitsanforderungen der Sportboot- Richtlinie durch eine CE-Kennzeichnung und eine Konformitätserklärung nachgewiesen wird, sind nur die folgenden Bestimmungen der Anlage 2 anzuwenden:
- a) Artikel 6.08, falls ein Wendeanzeiger vorhanden ist;
- b) Artikel 7.01 Abs. 2, Artikel 7.02, Artikel 7.03 Abs. 1 und Artikel 7.13, falls ein Radareinmannsteuerstand vorhanden ist;
- c) Artikel 8.01 Abs. 2, Artikel 8.02 Abs. 1, Artikel 8.03 Abs. 3, Artikel 8.05 Abs. 5, Artikel 8.08 Abs. 2, Artikel 8.10 Abs. 1 und 3;
- d) Artikel 10.03, Artikel 10.05 Abs. 1, zweiter Satz, Abs. 2 und 3;
- e) Kapitel 13;
- f) aus Kapitel 14:
- aa) Artikel 14.12;
- bb) Artikel 14.13, wobei die Abnahme nach Inbetriebnahme der Flüssiggasanlage nach Maßgabe der Anforderungen Sportboot-Richtlinie erfolgt und der zuständigen Behörde hierüber ein Abnahmebericht vorzulegen ist;
- cc) Artikel 14.14 und 14.15 mit der Maßgabe, dass die Flüssiggasanlage den Anforderungen der Sportboot-Richtlinie entsprechen muss;
- dd) Kapitel 14 vollständig, wenn die Flüssiggasanlage nach Inverkehrbringen des Fahrzeuges eingebaut wird.
- g) Artikel 16.01 Abs. 1, 3 und 4, Artikel 16.02, Artikel 16.03, Artikel 16.04, Artikel 16.05.
(2) Für Fahrzeuge gemäß Abs. 1 gelten darüber hinaus die folgenden Bestimmungen dieser Anlage:
- a) Artikel 6.02 und Artikel 6.03;
- b) Artikel 10.02 und Artikel 10.03;
- b) Artikel 15.02
Artikel 2.03
Anwendung von harmonisierten Normen
Anstelle der Bestimmungen dieser Anlage können auch harmonisierte Normen gemäß Anhang XIX der Sportboot-Richtlinie angewendet werden. Die Übereinstimmung mit den gewählten harmonisierten Normen sowie eine Bestätigung, welche der Bestimmungen dieser Anlage dadurch ersetzt werden, ist durch ein Gutachten einer anerkannten Klassifikationsgesellschaft oder eines Ingenieurkonsulenten für Maschinenbau-Schiffstechnik nachzuweisen.
TEIL II
KAPITEL 3
SCHIFFBAULICHE ANFORDERUNGEN
Artikel 3.01
Anwendung der Vorschriften der Anlage 2
Für Fahrzeuge gemäß Artikel 2.01 gelten folgende Bestimmungen der Anlage 2:
Artikel 3.01
Artikel 3.02
Artikel 3.03
Artikel 3.04 Abs. 1, sowie 3 bis 6
KAPITEL 4
SICHERHEITSABSTAND, FREIBORD UND TIEFGANGSANZEIGER
Artikel 4.01
Anwendung der Vorschriften der Anlage 2
Für Fahrzeuge gemäß Artikel 2.01 gelten folgende Bestimmungen der Anlage 2:
Artikel 4.01
Artikel 4.02
Artikel 4.04
KAPITEL 5
MANÖVRIEREIGENSCHAFTEN
Artikel 5.01
Anwendung der Vorschriften der Anlage 2
Für Fahrzeuge gemäß Artikel 2.01 gelten folgende Bestimmungen der Anlage 2:
Artikel 5.07
Artikel 5.08
KAPITEL 6
STEUEREINRICHTUNGEN
Artikel 6.01
Anwendung der Vorschriften der Anlage 2
Für Fahrzeuge gemäß Artikel 2.01 gelten folgende Bestimmungen der Anlage 2:
Artikel 6.01
Artikel 6.07
Artikel 6.02
Pinnensteuerung
(1) Außenbordmotoren, bei denen die Drehzahlregelung über einen Drehgriff an der Steuerpinne erfolgt, müssen mit einer Notstopp-Vorrichtung (Zündunterbrechungsleine, Quickstop) ausgestattet sein.
(2) Die Nennleistung von Außenbordmotoren gemäß Abs. 1 darf folgende Werte nicht übersteigen:
- a) bei Schlauchbooten ohne festen Rumpf: 23 kW
- b) bei Zillen, Schlauchbooten mit festem Rumpf und offenen
Sportbooten mit einer Länge von nicht mehr als 7 m: 30 kW
- c) bei Zillen, Schlauchbooten mit festem Rumpf und offenen
Sportbooten mit einer Länge von 7 m und mehr: 41 kW
Artikel 6.03
Seilzuglenkung
Eine Seilzuglenkung mit Fernsteuerung ist nur zulässig, wenn die gesamte Nennleistung der Antriebsmaschinen 41 kW nicht übersteigt.
KAPITEL 7
STEUERHAUS
Artikel 7.01
Anwendung der Vorschriften der Anlage 2
Für Fahrzeuge gemäß Artikel 2.01 gelten folgende Bestimmungen der Anlage 2:
Artikel 7.01 Abs. 2
Artikel 7.02 Abs. 1
Artikel 7.04 Abs. 1, 2, 8
Artikel 7.05
Artikel 7.12
Artikel 7.13
KAPITEL 8
MASCHINENBAULICHE ANFORDERUNGEN
Artikel 8.01
Anwendung der Vorschriften der Anlage 2
Für Fahrzeuge gemäß Artikel 2.01 gelten folgende Bestimmungen der Anlage 2:
Artikel 8.01 Abs. 1
Artikel 8.02 Abs. 1, 3
Artikel 8.03 Abs. 1
Artikel 8.04
Artikel 8.05 Abs. 1, 2, 4, 5, 6, 7, 8, 9
Artikel 8.08 Abs. 10 Artikel 8.10 Abs. 2
KAPITEL 8a
EMISSION VON GASFÖRMIGEN SCHADSTOFFEN UND LUFTVERUNREINIGENDEN PARTIKELN VON DIESELMOTOREN
Artikel 8a.01
Anwendung der Vorschriften der Anlage 2
Für Fahrzeuge gemäß Artikel 2.01 gelten folgende Bestimmungen der Anlage 2:
Artikel 8a.02 Abs. 1 bis 3
Artikel 8a.03
Motoren, die den Bestimmungen der Sportboot-Richtlinie entsprechen, gelten als gleichwertig.
KAPITEL 9
ELEKTRISCHE ANLAGEN
Artikel 9.01
Anwendung der Vorschriften der Anlage 2
Für Fahrzeuge gemäß Artikel 2.01 gelten folgende Bestimmungen der Anlage 2:
Artikel 9.05
Artikel 9.06 Abs. 1, 2
Artikel 9.07
Artikel 9.10
Artikel 9.11
Artikel 9.12, Abs. 2, 4
Artikel 9.15
Artikel 9.16 Abs. 1,2
KAPITEL 10
AUSRÜSTUNG
Artikel 10.01
Anwendung der Vorschriften der Anlage 2
Für Fahrzeuge gemäß Artikel 2.01 gelten folgende Bestimmungen der Anlage 2:
Artikel 10.03
Artikel 10.04, ausgenommen, wenn das Fahrzeug so ausreichend manövrierfähig ist, dass eine über Bord gegangene Person in angemessener Zeit erreicht werden kann und an beiden Seiten des Fahrzeugs die Möglichkeit besteht, eine über Bord gegangene Person wieder aufzunehmen.
Artikel 10.05, Abs. 1, zweiter Satz
Artikel 10.02
Ankerausrüstung
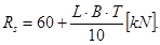
(1) Fahrzeuge müssen mit Ankern ausgerüstet sein, deren Gesamtmasse P nach folgender Formel zu berechnen ist:
(1) Fahrzeuge müssen mit Ankern ausgerüstet sein, deren Gesamtmasse P nach folgender Formel zu berechnen ist:
In dieser Formel bezeichnet
- k den Koeffizienten, der das Verhältnis von L und B sowie die Art des Fahrzeugs berücksichtigt:
- c die Erfahrungszahl nach folgender Tabelle:
Erfahrungszahl c | |
Fahrzeuge, die für den Einsatz auf Wasserstraßen bestimmt sind | 35 |
Fahrzeuge auf anderen Gewässern als Wasserstraßen | 20 |
Die Behörde kann zulassen, dass auf Schiffen mit einer Verdrängung von nicht mehr als 400 t, die wegen ihrer Bauart und Zweckbestimmung nur auf kurzen bestimmten Strecken eingesetzt werden, für Anker nur 2/3 der Gesamtmasse P erforderlich sind.
(2) Die gemäß Abs. 1 ermittelte Ankermasse darf bei Spezialankern gemäß Anhang II der Anlage 2, Durchführungsbestimmung Nr. 7, vermindert werden.
(3) Die für Anker vorgeschriebene Gesamtmasse P kann auf einen oder zwei Anker verteilt werden. Sie darf um 15% vermindert werden, wenn das Schiff mit nur einem Buganker ausgerüstet ist und die Ankerklüse in der Mittellängsebene angeordnet ist.
Die Masse des leichteren Ankers darf nicht weniger als 45% dieser Gesamtmasse betragen.
(4) Anker aus Gusseisen sind nicht zulässig.
(5) Anker müssen mit ihrer Masse in erhabener Schrift dauerhaft gekennzeichnet sein.
(6) Für Anker mit einer Masse von mehr als 50 kg müssen Ankerwinden vorhanden sein.
(7) Ankerketten müssen eine Mindestlänge von L tief OA + 10 m, jedoch nicht weniger als 20 m haben.
(8) Die Mindestbruchkraft R einer Ankerkette ist nach folgender Formel zu berechnen:
In dieser Formel bezeichnet
P` die theoretische, nach den Abs. 1 bis 3 ermittelte Masse des einzelnen Ankers.
Die Bruchkraft der Ankerketten ist den in einem Mitgliedstaat geltenden Normen zu entnehmen.
Werden schwerere Anker gewählt als sich aus den Abs. 1 bis 3 ergibt, ist die Mindestbruchkraft der Ankerkette nach der vorhandenen größeren Masse zu ermitteln.
(9) Verbindungsteile (Wirbel) zwischen Anker und Kette müssen einer Zugkraft standhalten, die 20% höher als die Bruchkraft der entsprechenden Kette ist.
(10) Seile anstelle der Ankerketten sind zulässig. Sie müssen die gleiche Bruchfestigkeit wie die vorgeschriebenen Ankerketten haben, jedoch muss entweder ihre Länge 20% größer sein oder ein Kettenvorlauf mit einer Länge von 0,5 L tief OA vorhanden sein.
Artikel 10.03
Sonstige Ausrüstung
(1) Folgende Ausrüstungsgegenstände müssen mindestens vorhanden sein:
- a) Geräte und Vorrichtungen, die zum Geben der vorgeschriebenen Sicht- und Schallzeichen sowie zur Bezeichnung der Schiffe gemäß WVO bzw. Seen- und Flussverkehrsordnung erforderlich sind;
- b) vom Bordnetz unabhängige Ersatzlichter für die vorgeschriebenen Lichter für das Stillliegen;
- c) ein gekennzeichneter feuerbeständiger Behälter mit Deckel zur Aufnahme ölhaltiger Putzlappen.
(2) Darüber hinaus müssen mindestens vorhanden sein:
- a) Seile zum Festmachen
Schiffe müssen mit zwei Seilen zum Festmachen ausgerüstet sein.
Ihre Mindestlänge muss betragen:
- Erstes Seil: L + 10 m, jedoch nicht mehr als 25 m,
- Zweites Seil: 2/3 des ersten Seils,
Diese Seile müssen für eine Mindestbruchkraft R tief S ausgelegt sein, die nach folgender Formel zu berechnen ist:
- b) eine Wurfleine;
- c) ein Bootshaken;
- d) ein geeigneter Verbandskasten mit einem Inhalt entsprechend ÖNORM Z 1020:2006. Der Verbandskasten muss in der Wohnung oder im Steuerhaus aufbewahrt und so untergebracht sein, dass er im Bedarfsfall leicht und sicher erreicht werden kann. Sind Verbandkästen verdeckt aufgestellt, muss die Abdeckung durch ein Symbol für Verbandskasten gemäß Bild 8 des Anhangs I der Anlage 2 mit einer Kantenlänge von mindestens 10 cm gekennzeichnet sein;
- e) ein Doppelglas, 7 x 50 oder größerer Linsendurchmesser; f) ein Plakat mit Hinweisen zur Rettung und Wiederbelebung Ertrinkender.
(3) eine Einstiegshilfe, wenn das Fahrzeug nicht mit einer fest eingebauten Einstiegshilfe versehen ist.
KAPITEL 11
SICHERHEIT IM ARBEITSBEREICH
Artikel 11.01
Anwendung der Vorschriften der Anlage 2
Für Fahrzeuge gemäß Artikel 2.01 gelten folgende Bestimmungen der Anlage 2:
Kapitel 11 zur Gänze
KAPITEL 12
WOHNUNGEN
Artikel 12.01
Anwendung der Vorschriften der Anlage 2
Für Fahrzeuge gemäß Artikel 2.01 gelten folgende Bestimmungen der Anlage 2:
Artikel 12.01
Artikel 12.02
Artikel 12.05
Artikel 12.07 Abs. 3
KAPITEL 13
HEIZ-, KOCH- UND KÜHLEINRICHTUNGEN, DIE MIT BRENNSTOFFEN BETRIEBEN WERDEN
Artikel 13.01
Anwendung der Vorschriften der Anlage 2
Für Fahrzeuge gemäß Artikel 2.01 gelten folgende Bestimmungen der Anlage 2:
Kapitel 13 vollständig, wenn sich Heiz- Koch- und Kühleinrichtungen, die mit Brennstoffen betrieben werden, an Bord befinden.
KAPITEL 14
FLÜSSIGGASANLAGEN FÜR HAUSHALTSZWECKE
Artikel 14.01
Anwendung der Vorschriften der Anlage 2
Für Fahrzeuge gemäß Artikel 2.01 gelten folgende Bestimmungen der Anlage 2:
Kapitel 14 vollständig, wenn sich Flüssiggasanlagen für Haushaltszwecke an Bord befinden.
KAPITEL 15
SONDERBESTIMMUNGEN FÜR FAHRZEUGE DER KATEGORIE 2, DIE ZUR BEFÖRDERUNG VON FAHRGÄSTEN BESTIMMT SIND
Artikel 15.01
Anwendung der Vorschriften der Anlage 2
Für Fahrzeuge gemäß Artikel 2.01 gelten folgende Bestimmungen der Anlage 2:
Artikel 15.01, Abs. 1 bis 3
Artikel 15.02, Abs. 1
Artikel 15.06, Abs. 1 bis 7, 10, 11 und 14 bis 17
Artikel 15.08, Abs. 2, 4 und 7 bis 9
Artikel 15.09, Abs. 1, 2, sowie 4 bis 9
Artikel 15.10
Artikel 15.11, Abs. 3, 4, 6, 7, 15, 17
Artikel 15.12, Abs. 1 und 9
Artikel 15.13 Artikel 15.14 Artikel 15.15 Abs. 1, 2 und 7 bis 10
Artikel 15.02
Höchstzulässige Personenzahl
(1) Die höchstzulässige Personenzahl an Bord, einschließlich der Besatzung, ist so festzulegen, dass für alle Personen, einschließlich der Besatzung, unter Anwendung der in Artikel 15.03 Abs. 4 der Anlage 2 angegebenen Abmessungen Sitz- oder Stehplätze vorhanden sind.
(2) Stehplätze sind nur zulässig, wenn ein festes Schanzkleid oder ein Geländer gemäß Artikel 15.06 Abs. 10 lit. a der Anlage 2 vorhanden ist.
(3) Auf den Auftriebsschläuchen von aufblasbaren Fahrzeugen oder auf der Oberkante der Bordwand von Fahrzeugen mit festem Rumpf dürfen keine Sitzplätze ausgewiesen werden.
(4) Beträgt der Abstand zwischen dem Fahrzeugboden und der niedrigsten Stelle der Bordwand im Bereich, der für Fahrgäste vorgesehen ist, weniger als 40 cm beträgt, sind für jeden Sitzplatz zwei Haltegriffe vorzusehen.
(5) Sollen Sitzplätze mit einer Sitzhöhe von weniger als 30 cm über dem Fahrzeugboden ausgewiesen werden, ist dafür die Sitzschablone gemäß EN ISO 6185-1:2001, Anhang A, Tabelle A.2, Type A anzuwenden.
KAPITEL 16
SONDERBESTIMMUNGEN FÜR FAHRZEUGE, DIE ZUR VERWENDUNG ALS TEIL EINES SCHUBVERBANDES, EINES SCHLEPPVERBANDES ODER EINES KOPPELVERBANDES BESTIMMT SIND
Artikel 16.01
Anwendung der Vorschriften der Anlage 2
Für Fahrzeuge gemäß Artikel 2.01 gelten folgende Bestimmungen der Anlage 2:
Artikel 16.01 Abs. 1, 3 und 4
Artikel 16.02
Artikel 16.03
Artikel 16.04
Artikel 16.05
KAPITEL 17
(Ohne Inhalt)
KAPITEL 18
SONDERBESTIMMUNGEN FÜR BAUSTELLENFAHRZEUGE
Artikel 18.01
Anwendung der Vorschriften der Anlage 2
Für Fahrzeuge gemäß Artikel 2.01 gelten folgende Bestimmungen der Anlage 2:
Kapitel 18 vollständig
KAPITEL 19
(Ohne Inhalt)
KAPITEL 19a
(Ohne Inhalt)
KAPITEL 19b
SONDERBESTIMMUNGEN FÜR FAHRZEUGE, DIE AUF GEWÄSSERN DER ZONE 4 VERKEHREN
Artikel 19b.01
Anwendung von Kapitel 4
(1) Abweichend von Artikel 4.01 Nummern 1 und 2 wird der Sicherheitsabstand für Schiffe, die auf Gewässern der Zone 4 verkehren, für Türen und andere Öffnungen als die Luken der Laderäume wie folgt verringert:
- a) wenn sie sprühwasser- und wetterdicht abgeschlossen werden können auf 150 mm;
- b) wenn sie nicht sprühwasser- und wetterdicht abgeschlossen werden können auf 200 mm.
(2) Abweichend von Artikel 4.02 beträgt der Mindestfreibord für Schiffe, die auf Gewässern der Zone 4 verkehren, 0 mm, sofern der Sicherheitsabstand nach Nummer 1 eingehalten wird.
KAPITEL 20
(Ohne Inhalt)
KAPITEL 21
(Ohne Inhalt)
KAPITEL 22a
(Ohne Inhalt)
KAPITEL 22b
(Ohne Inhalt)
TEIL III
KAPITEL 23
(Ohne Inhalt)
TEIL IV
KAPITEL 24
ÜBERGANGSBESTIMMUNGEN
Artikel 24.01
Anwendung der Vorschriften der Anlage 2
Für alle Bestimmungen, die auf die Anlage 2 verweisen, gelten die diesbezüglichen Übergangsbestimmungen des Kapitels 24a der Anlage 2.
Lizenziert vom RIS (ris.bka.gv.at - CC BY 4.0 DEED)
