Restlaufzeit für Forderungen an Zentralstaaten und Zentralbanken, Institute und Unternehmen
§ 70
(1) Kreditinstitute haben für Forderungen gemäß § 22b Abs. 2 Z 1 bis 3 BWG eine effektive Restlaufzeit von 2,5 Jahren anzusetzen. Forderungen aus Pensionsgeschäften und Wertpapier- oder Warenleihgeschäften, die unter § 22b Abs. 2 Z 1 bis 3 BWG fallen, sind mit einer effektiven Restlaufzeit von 0,5 Jahren anzusetzen.
(2) Kreditinstitute, die eigene LGD und eigene Umrechnungsfaktoren für Forderungen gemäß § 22b Abs. 2 Z 1 bis 3 BWG verwenden, haben die effektive Restlaufzeit (M) für jede dieser Forderungen gemäß Z 1 bis 6 wie folgt zu ermitteln, wobei der maximale Wert für M fünf Jahre beträgt:
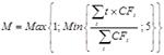
- 1. Bei einem Instrument mit einem festgelegten Zins- und Tilgungsplan ist M nach der folgenden Formel zu berechnen:
wobei CFt den vertraglichen Cash Flow aus Nominalbetrag, Zinsen und Gebühren bezeichnet, die der Schuldner in Periode t zu leisten hat;
- 2. im Fall von Derivaten, die einer Netting-Rahmenvereinbarung unterliegen, ist M die gewichtete durchschnittliche Restlaufzeit der Forderung, wobei M mindestens ein Jahr zu betragen hat; für die Gewichtung der Laufzeit ist der jeweilige Nominalbetrag der einzelnen Transaktion heranzuziehen;
- 3. für Forderungen aus vollständig oder nahezu vollständig bgesicherten Derivatgeschäften gemäß Anlage 2 zu § 22 BWG sowie vollständig oder nahezu vollständig abgesicherten Lombardgeschäften, bei Pensionsgeschäften, Wertpapier- oder Warenleihgeschäften, die einer Netting-Rahmenvereinbarung unterliegen, ist M die gewichtete durchschnittliche Restlaufzeit der Transaktionen, wobei M mindestens 5 Tage beträgt; die einer Netting-Rahmenvereinbarung unterliegen, ist für M die gewichtete durchschnittliche Restlaufzeit der Transaktionen anzusetzen, wobei M mindestens zehn Tage zu betragen hat; für die Gewichtung der Laufzeit ist der jeweilige Nominalbetrag der einzelnen Transaktion heranzuziehen;
- 4. für angekaufte Unternehmensforderungen, bei denen das Kreditinstitut eigene PD-Schätzungen verwendet, ist M bei in Anspruch genommenen Beträgen gleich der gewichteten durchschnittlichen Laufzeit der angekauften Forderungen, wobei M mindestens 90 Tage zu betragen hat; der gleiche Wert von M ist auch für nicht in Anspruch genommene Beträge im Rahmen einer Ankaufszusage zu verwenden, sofern die Fazilität wirksame Vertragsbestandteile, Auslöser für eine vorzeitige Tilgung oder andere Merkmale enthält, die das ankaufende Kreditinstitut über die gesamte Fazilitätslaufzeit gegen wesentliche Qualitätsverschlechterungen zukünftiger Forderungen absichern; fehlen solche wirksamen Absicherungen, so ist M für die ungenutzten Beträge als Summe aus der langfristigsten möglichen Forderung, die unter die Kaufvereinbarung fällt, und der Restlaufzeit der Fazilität zu berechnen, wobei M mindestens 90 Tage zu betragen hat;
- 5. bei Verwendung eines internen Modells gemäß den §§ 242 bis 253 ist für Forderungen, bei denen nach dieser Methode verfahren wird und bei denen die Laufzeit des Vertrags, der von den im Netting-Satz vertretenen die längste Laufzeit hat, mehr als ein Jahr beträgt, M wie folgt zu berechnen:
wobei dfk den risikofreien Abzinsungsfaktor für den künftigen Zeitraum tk, Δtk die Länge des Zeitintervalls tk-1 bis tk, EEk den durchschnittlichen Marktwert gemäß § 243 Abs. 3 Z 2 und EffectiveEEk den maximalen durchschnittlichen Marktwert gemäß § 243 Abs. 3 Z 3 bezeichnet; Kreditinstitute, die zur Berechnung einer einseitigen Anpassung der Kreditbewertung ein internes Modell verwenden, können als M die anhand eines solchen Modells geschätzte effektive Kreditlaufzeit einsetzen; findet Abs. 4 Anwendung, gilt für alle Netting-Sätze, in denen alle Verträge eine Ursprungslaufzeit von höchstens einem Jahr haben, die Formel gemäß Z 1; berechnet ein Kreditinstitut den gewichteten Forderungsbetrag gemäß § 70 Abs. 1 Z 5 ist M die effektive Kreditlaufzeit, zumindest aber ein Jahr und
- 6. bei allen anderen Forderungen gemäß § 22b Abs. 2 Z 1 bis 3 BWG oder wenn ein Kreditinstitut M nicht gemäß Z 1 berechnen kann, ist M gleich der maximalen Zeitspanne in Jahren zu setzen, die dem Schuldner zur vollständigen Erfüllung seiner vertraglichen Pflichten zur Verfügung steht, mindestens jedoch ein Jahr.
(3) Kreditinstitute haben die effektive Restlaufzeit gemäß Abs. 1 zu bestimmen bei Forderungen an:
- 1. Unternehmen mit Sitz in einem Mitgliedstaat sowie einem konsolidierten Jahresumsatz und einer konsolidierten Bilanzsumme von weniger als 500 Millionen Euro und
- 2. Unternehmen mit Sitz in einem Mitgliedstaat, die vorrangig in Immobilien investieren, und einem konsolidierten Jahresumsatz und einer konsolidierten Bilanzsumme von weniger als einer Milliarde Euro.
(4) Kreditinstitute, die eigene LGD-Schätzungen für Forderungen gemäß § 22b Abs. 2 Z 1 bis 3 BWG verwenden, haben M mit mindestens gleich 1 Tag zu setzen für:
- 1. Vollständig oder nahezu vollständig abgesicherte Derivatgeschäfte gemäß Anlage 2 zu § 22 BWG;
- 2. vollständig oder nahezu vollständig abgesicherte Lombardgeschäfte;
- 3. Pensionsgeschäfte, Wertpapier- oder Warenleihgeschäfte;
sofern die Dokumentation tägliche Nachschusszahlungen und eine tägliche Neubewertung vorschreibt und Bestimmungen vereinbart sind, die bei Ausfall oder ausbleibenden Nachschusszahlungen die umgehende Verwertung oder Verrechnung der Sicherheiten ermöglichen.
(5) Kreditinstitute haben Laufzeitinkongruenzen gemäß §§ 151 bis 153 zu berücksichtigen.
Zusatzdokumente: image001, image002
Lizenziert vom RIS (ris.bka.gv.at - CC BY 4.0 DEED)
