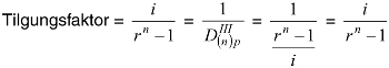
Die „Tilgungsfaktoren“ sind Kehrwerte der Rentenendwertfaktoren!
Wenn mittels Multiplikation eines Jahresrentenbetrages R einer dekursiv gleichförmig fließenden Rente mit dem zugehörigen Tabellenwert aus der Endwert des Rentenstromes errechnet werden kann, dann muss sich mittels Multiplikation des Endwertes eines nachschüssigen Rentenstromes durch den Kehrwert von
der gleichförmige Jahresrentenbetrag errechnen lassen!

