Liebhabereiprüfung bei einem dem Vollanwendungsbereich des MRG unterliegenden Gebäude
European Case Law Identifier: ECLI:AT:BFG:2022:RV.7105015.2017
Entscheidungstext
IM NAMEN DER REPUBLIK
Das Bundesfinanzgericht hat durch den Richter Ri in der Beschwerdesache ***Bf1***, ***Bf1-Adr***, vertreten durch Dr. Kohler und Partner Steuerberatungs GmbH, Schönbrunner Straße 53, 1050 Wien, über die Beschwerden vom 16.8.2016 gegen die Bescheide des Finanzamtes Baden Mödling, nunmehr Finanzamt Österreich, vom 2.6.2016 betreffend Aufhebung gem. § 299 BAO der vorläufigen Feststellungsbescheide gem. § 188 BAO betreffend der Jahre 2013 bis 2015 sowie vom 19.4.2017 gegen die Bescheide betreffend Nichtfeststellung der Einkünfte gem. § 188 BAO vom 27.3.2017 betreffend der Jahre 2005 bis 2015 sowie vom 22.8.2017 gegen die endgültigen Bescheide betreffend Nichtfeststellung der Einkünfte gem. § 188 BAO betreffend der Jahre 2005 bis 2012 vom 31.7.2017, Steuernummer ***123***, nach der am 22.9.2022 in Hintere Zollamtsstraße 2b, 1030 Wien, durchgeführten mündlichen Verhandlung im Beisein der Schriftführerin S
- 1. zu Recht erkannt:
Der Beschwerde vom 22.8.2017 gegen den endgültigen Bescheid betreffend Nichtfeststellung der Einkünfte gem. § 188 BAO betreffend des Jahres 2005 wird Folge gegeben.
Die im Kalenderjahr 2005 erzielten Einkünfte werden gemäß § 188 BAO mit Euro - 79.740,36 festgestellt.
Mag. Miteigentümer1: Anteil Einkünfte: Euro - 39.870,18
Verlassenschaft nach Mag. Miteingentümber2: Anteil Einkünfte Euro - 39.870,18
Der Beschwerde vom 22.8.2017 gegen den endgültigen Bescheid betreffend Nichtfeststellung der Einkünfte gem. § 188 BAO betreffend des Jahres 2006 wird teilweise Folge gegeben.
Die im Kalenderjahr 2006 erzielten Einkünfte werden gemäß § 188 BAO mit Euro - 126.375,89 festgestellt.
Mag. Miteigentümer1: Anteil Einkünfte Euro - 63.187,95
Verlassenschaft nach Mag. Miteingentümber2: Anteil Einkünfte Euro - 63.187,94
Der Beschwerde vom 22.8.2017 gegen den endgültigen Bescheid betreffend Nichtfeststellung der Einkünfte gem. § 188 BAO betreffend des Jahres 2007 wird teilweise Folge gegeben.
Die im Kalenderjahr 2007 erzielten Einkünfte werden gemäß § 188 BAO mit Euro - 53.308,03 festgestellt.
Mag. Miteigentümer1: Anteil Einkünfte Euro - 26.654,02
Verlassenschaft nach Mag. Miteingentümber2: Anteil Einkünfte Euro - 26.654,01
Der Beschwerde vom 22.8.2017 gegen den endgültigen Bescheid betreffend Nichtfeststellung der Einkünfte gem. § 188 BAO betreffend des Jahres 2008 wird teilweise Folge gegeben.
Die im Kalenderjahr 2008 erzielten Einkünfte werden gemäß § 188 BAO mit Euro - 34.337,04 festgestellt.
Mag. Miteigentümer1: Anteil Einkünfte Euro - 17.168,52
Verlassenschaft nach Mag. Miteingentümber2: Anteil Einkünfte Euro - 17.168,52
Der Beschwerde vom 22.8.2017 gegen den endgültigen Bescheid betreffend Nichtfeststellung der Einkünfte gem. § 188 BAO betreffend des Jahres 2009 wird teilweise Folge gegeben.
Die im Kalenderjahr 2009 erzielten Einkünfte werden gemäß § 188 BAO mit Euro - 28.130,03 festgestellt.
Mag. Miteigentümer1: Anteil Einkünfte Euro - 14.065,02
Verlassenschaft nach Mag. Miteingentümber2: Anteil Einkünfte Euro - 14.065,01
Der Beschwerde vom 22.8.2017 gegen den endgültigen Bescheid betreffend Nichtfeststellung der Einkünfte gem. § 188 BAO betreffend des Jahres 20010 wird teilweise Folge gegeben.
Die im Kalenderjahr 2010 erzielten Einkünfte werden gemäß § 188 BAO mit Euro - 31.986,25 festgestellt.
Mag. Miteigentümer1: Anteil Einkünfte Euro - 15.993,13
Verlassenschaft nach Mag. Miteingentümber2: Anteil Einkünfte Euro - 15.993,12
Der Beschwerde vom 22.8.2017 gegen den endgültigen Bescheid betreffend Nichtfeststellung der Einkünfte gem. § 188 BAO betreffend des Jahres 2011 wird teilweise Folge gegeben.
Die im Kalenderjahr 2011 erzielten Einkünfte werden gemäß § 188 BAO mit Euro - 34.090,69 festgestellt.
Mag. Miteigentümer1: Anteil Einkünfte Euro - 17.045,35
Verlassenschaft nach Mag. Miteingentümber2: Anteil Einkünfte Euro - 17.045,34
Der Beschwerde vom 22.8.2017 gegen den endgültigen Bescheid betreffend Nichtfeststellung der Einkünfte gem. § 188 BAO betreffend des Jahres 2012 wird teilweise Folge gegeben.
Die im Kalenderjahr 2012 erzielten Einkünfte werden gemäß § 188 BAO mit Euro - 26.655,80 festgestellt.
Mag. Miteigentümer1: Anteil Einkünfte Euro - 13.329,90
Verlassenschaft nach Mag. Miteingentümber2: Anteil Einkünfte Euro - 13.329,90
Der Beschwerde vom 16.8.2016 gegen die Bescheide vom 2.6.2016 betreffend Aufhebung gem. § 299 BAO der vorläufigen Feststellungsbescheide gem. § 188 BAO betreffend der Jahre 2013, 2014 und 2015 wird als unbegründet abgewiesen.
Der Beschwerde vom 22.8.2017 gegen den endgültigen Bescheid betreffend Nichtfeststellung der Einkünfte gem. § 188 BAO betreffend des Jahres 2013 wird teilweise Folge gegeben.
Die im Kalenderjahr 2013 erzielten Einkünfte werden gemäß § 188 BAO mit Euro - 21.936,88 festgestellt.
Mag. Miteigentümer1: Anteil Einkünfte Euro - 10.968,44
Verlassenschaft nach Mag. Miteingentümber2: Anteil Einkünfte Euro - 10.968,44
Der Beschwerde vom 22.8.2017 gegen den endgültigen Bescheid betreffend Nichtfeststellung der Einkünfte gem. § 188 BAO betreffend des Jahres 2014 wird teilweise Folge gegeben.
Die im Kalenderjahr 2014 erzielten Einkünfte werden gemäß § 188 BAO mit Euro - 15.228,29 festgestellt.
Mag. Miteigentümer1: Anteil Einkünfte Euro - 7.614,15
Verlassenschaft nach Mag. Miteingentümber2: Anteil Einkünfte Euro - 7.614,15
Der Beschwerde vom 22.8.2017 gegen den endgültigen Bescheid betreffend Nichtfeststellung der Einkünfte gem. § 188 BAO betreffend des Jahres 2015 wird teilweise Folge gegeben.
Die im Kalenderjahr 2015 erzielten Einkünfte werden gemäß § 188 BAO mit Euro - 17.419,37 festgestellt.
Mag. Miteigentümer1: Anteil Einkünfte Euro - 8.709,69
Verlassenschaft nach Mag. Miteingentümber2: Anteil Einkünfte Euro - 8.709,68
Die Feststellungsbescheide betreffend der Jahre 2005, 2006, 2007, 2008, 2009, 2010, 2011, 2012, 2013, 2014 sowie 2015 werden gemäß § 200 Abs. 2 BAO für endgültig erklärt.
- 1. beschlossen:
Die Beschwerde vom 19.4.2017 gegen die Bescheide betreffend Nichtfeststellung der Einkünfte gem. § 188 BAO vom 27.3.2017 soweit diese die Jahre 2005 bis 2012 betrifft, wird gem. § 261 Abs 2 BAO als gegenstandslos erklärt.
Gegen dieses Erkenntnis ist eine Revision an den Verwaltungsgerichtshof nach Art. 133 Abs. 4 Bundes-Verfassungsgesetz (B-VG) nicht zulässig.
Hinweis:
Gemäß § 101 Abs 3 BAO sind schriftliche Ausfertigungen, die in einem Feststellungsverfahren an eine Personenvereinigung (Personengemeinschaft) ohne eigene Rechtspersönlichkeit gerichtet sind (§ 191 Abs 1 lit a und c BAO), einer nach § 81 BAO vertretungsbefugten Person zuzustellen. Mit der Zustellung einer einzigen Ausfertigung an diese Person gilt die Zustellung an alle Mitglieder der Personenvereinigung oder Personengemeinschaft als vollzogen.
Entscheidungsgründe
Die Beschwerdeführerin, in der Folge als Bf. bezeichnet, erzielte im beschwerdegegenständlichen Zeitraum Einkünfte aus Vermietung und Verpachtung der Liegenschaft ***1***. Diese Liegenschaft, ein Mehrfamilienhaus das fünf Wohnungen beinhaltet, wurde im Jahre 2003 von Mag. Miteigentümer1 und Mag. Miteingentümber2 - am 1.1. verstorben - jeweils zur Hälfte im Erbrechtsweg erworben und bereits ab diesem vermietet. Ab dem Jahre 2005 erfolgte eine Totalsanierung des in Rede stehenden Objektes. Diese wurde großteils in den Jahren 2005 und 2006 vorgenommen. Seit dem 1.8.2006 erfolgte die Vermietung einer dieser Wohnungen an den Miteigentümer Mag. Miteigentümer1.
Das Finanzamt erließ die Bescheide über die Feststellung von Einkünften gem. § 188 BAO betreffend der Jahre 2005 bis 2015 gem. § 200 Abs 1 BAO vorläufig am 15.5.2006 (2005), am 23.5.2007 (2006), am 18.6.2008 (2007), am 30.6.2009, am 14.1.2011 (2008), am 14.1.2011 (2009), am 8.10.2012 (2010), am 8.10.2012 (2011), am 25.6.2013 2012), am 22.1.2016 (2013), am 21.1.2016 (2014) und am 10.2.2016 (2015) den Erklärungen der Bf. folgend wobei es in diesen Einkünfte aus Vermietung und Verpachtung in Euro in folgender Höhe feststellte:
2005: -79.740,36, 2006: -130.327,05, 2007: -57.259.19, 2008: - 38.288,20, 2009: 32.081,19, 2010: -35.937,41, 2011: - 38.041,85, 2012: - 30.606,96, 2013: -25.888,04, 2014: -19.179,45 und 2015: -21.370,53.
In einer die Umsatzsteuer sowie die einheitliche Gewinnfeststellung jeweils der Jahre 2005 bis 2015 betreffenden Betriebsprüfung stellte die BP unter Tz 1 des BP-Berichtes fest, dass es sich bei dem vermieteten Projekt um ein um die Jahrhundertwende errichtetes Mehrfamilienhaus handelte. Dieses sei im Jahre 2003 durch Erbschaft übertragen worden. Das Gebäude umfasse fünf Wohnungen, die vermietet werden würden. Eine dieser Wohnungen werde von der Familie bf fremdüblich gemietet. Das steuerliche Ergebnis zeige von 2003 bis 2015 einen Gesamtverlust von Euro 543.629,90. Dieser sei der Liebhabereiprüfung unterzogen worden.
Gem. § 1 Abs 1 LVO lägen Einkünfte bei einer Betätigung vor, die durch die Absicht veranlasst sei, einen Gesamtgewinn oder Gesamtüberschuss der Einnahmen über die Werbungskosten zu erzielen. Eine Betätigung im Zusammenhang mit der entgeltlichen Überlassung von Gebäuden ("große Vermietung") sei ertragsteuerlich als Liebhaberei zu beurteilen, wenn die Absicht des Vermieters, einen Gesamtüberschuss der Einnahmen über die Werbungskosten zu erzielen (Gesamtüberschusserzielungsabsicht), nicht anhand von objektiven Umständen nachvollziehbar sei. Die Einkunftsquelleneigenschaft bei der Gebäudevermietung sei danach zu beurteilen, ob die geprüfte Tätigkeit in der tatsächlich betriebenen Art und Weise objektiv Aussicht habe, sich lohnend zu gestalten. Als objektive Umstände zur Nachvollziehbarkeit der Gesamtüberschusserzielungsabsicht würden bei der großen Vermietung die Angemessenheit der Zeitrelation iSd § 2 Abs 3 LVO sowie die Kriterien des Abs 1 LVO gelten.
Ein Beobachtungszeitraum diene der Gewinnung von Erkenntnissen über die Erfolgsaussichten der Tätigkeit. Innerhalb dieses Zeitraumes müsse die Überschusserzielungsabsicht bzw. -möglichkeit anhand von objektiven Umständen nachvollziehbar sein. Diese sei gesetzlich nicht genau verankert, wobei fünf bis acht Jahre ausreichten, um die objektive Ertragsfähigkeit einer Vermietungstätigkeit zu beurteilen. Da die Vermietung bereits 2003 begonnen habe, erscheine der Beobachtungszeitraum für eine objektive Beurteilung als ausreichend.
Der o.e. Gesamtverlust resultiere aus der Afa sowie den Fremdkapitalzinsen, diese hätten jährlich die erzielten Mieterlöse überschritten.
Der Prüferin lägen zwei Prognoserechnungen aus den Jahren 2010 und 2015 vor. Beide beinhalteten Mängel. Die Prognoserechnung aus 2010 beinhalte unrichtige steuerliche Ergebnisse und baue somit auf falschen Beträgen auf. Die im Februar 2015 vorgelegte Prognoserechnung beinhalte die Jahre ab 2014, die Vorjahr ab 2003 und somit die bis dato erklärten Verluste seien somit außer Acht gelassen worden.
Die BP beurteile die Einkünfte aus Vermietung und Verpachtung des gegenständlichen Gebäudes als Tätigkeit gem. § 1 Abs 1 LVO, da die Erzielung eines Gesamtüberschusses innerhalb von 25 Jahren nicht zu erwarten sei.
Den ab dem Jahre 2005 geltend gemachten Verlusten werde die ertragsteuerliche Anerkennung versagt, es läge keine Einkunftsquelle betreffend der Einkünfte aus Vermietung und Verpachtung vor. Umsatzsteuerlich bleibe die Unternehmereigenschaft weiterhin bestehen.
Mit Bescheiden vom 2.6.2016 hob das Finanzamt die o.a. vorläufigen Bescheide betreffend Feststellung von Einkünften gem. § 188 BAO hinsichtlich der Jahre 2005 bis 2015 gemäß der Bestimmung des § 299 BAO Abs. 1 auf und führte diesbezüglich begründend aus, dass die Abgabenbehörde nach der letztangeführten Gesetzesstelle einen Bescheid aufheben könne, wenn sich der Spruch des Bescheides als nicht richtig erwiese. Da nach dem Gesamtbild der Verhältnisse keine Einkunftsquelle aus Vermietung und Verpachtung vorläge, hätten die o.a. Bescheide nicht ergehen dürfen. Da die inhaltliche Rechtswidrigkeit eine nicht bloß geringfügige Auswirkung habe, sei die Aufhebung dieser Bescheide von Amts wegen zu verfügen gewesen. Weiters werde auf den BP-Bericht vom 1.6.2016 verwiesen.
In der mit Schreiben vom 16.6.2016 gegen die Aufhebungsbescheide vom 2.6.2016 betreffend der Feststellungsbescheide 2005 bis 2015 - die Rechtsmittelfrist wurde bis zum 26.8.2016 verlängert - rechtzeitig eingebrachten Beschwerde führte der steuerliche Vertreter der Bf. zunächst aus, dass die Liebhaberei-Verordnung falsch angewendet bzw. wesentliche Aussagen dieser Verordnung außer Betracht gelassen worden seien.
Die Betriebsprüfung habe das gegenständliche Mietobjekt zwar richtig unter die "Große Vermietung" des § 1 Abs. 1 LVO subsumiert, aber dann anscheinend den Beobachtungszeitraum mit dem Gesamtüberschusszeitraum verwechselt bzw. keine Adaptierung der Mieteinnahmen und der steuerlich begünstigten Herstellungsmaßnahmen vorgenommen.
Objektdaten:
Das Mietobjekt sei um die Jahrhundertwende errichtet worden und unterliege als Mietgebäude mit fünf Wohnungen voll dem MRG. Dieses Objekt habe sich in einem sehr schlechten Zustand befunden und nur über Substandwohnungen verfügt. Es sei durch Erbschaft im Jahr 2003 von der nunmehrigen Miteigentümergemeinschaft unentgeltlich übernommen worden. Damit beginne der Gesamtüberschusszeitraum für die Bf. im Jahre 2003.
Nach der unentgeltlichen Übernahme des Gebäudes sei von der Bf. eine Totalsanierung mit Fördermitteln nach dem Wohnhaussanierungsgesetz begonnen worden. Bei sämtlichen Wohnungen, außer bei der Top 5, die erst mit Auszug des Altmieters ab 2011 saniert habe werden können, seien die Kategorien angehoben worden. Damit sei ein Aufwand getätigt worden, der in Summe als Herstellungsaufwand iS des § 28 Abs. 3 EStG auf 10 bis 15 Jahre - je nach Förderungsdauer- begünstigt abzuschreiben sei.
Die bisher vorgenommene Aufteilung in Instandsetzung und Herstellung sei willkürlich erfolgt und nicht nachvollziehbar. Es seien sämtliche Maßnahmen als Herstellungsaufwand iS des § 28 Abs. 3 EStG zu werten, auch wenn diese auf Grund einer kürzeren Förderungsdauer nur auf 10 Jahre verteilt abgeschrieben worden seien.
Das Gebäude hat eine Nutzfläche von rund 368 m2 und sei auf Grund der Vollanwendung des MRG zum Richtwert fremdüblich vermietet. Die Marktmiete wäre bei allen Wohnungen entsprechend höher. In der Anfangsphase sei ein Großteil der Wohnungen noch zum Kategoriemietzins vermietet gewesen.
Begründung:
Tätigkeiten mit Einkunftsquellenvermutung:
Bei dem gegenständlichen Mietobjekt handelte es sich um eine Betätigung nach § 1 Abs. 1 LVO, bei der die Einkunftsquellenvermutung bestehe. Aus diesem Grund sei auch keine Änderung der Umsatzsteuerbescheide erfolgt, weil es bei einem solchen Objekt keine Liebhaberei für die Umsatzsteuer gebe. Wie die Betriebsprüfung festgestellt habe, seien alle Wohnungen fremdüblich vermietet.
Die Vermietung eines Mietobjektes durch eine Miteigentümergemeinschaft erfülle die Kriterien der so genannten "Großen Vermietung" nach § 1 Abs. 1 der Liebhabereiverordnung. Nach dieser sei für den Bereich der entgeltlichen Überlassung von Immobilien im Rahmen der "Großen Vermietung" die Erzielung eines Gesamtüberschusses an Hand der Ergebnisse von 25 Jahren ab der Vermietung der Immobilie zu beurteilen. Nach § 2 Abs. 3 Liebhabereiverordnung gelte als absehbarer Zeitraum ein Zeitraum von 25 Jahren ab Beginn der entgeltlichen Überlassung, höchstens 28 Jahre ab dem erstmaligen Anfallen von Aufwendungen (Ausgaben).
Bei der Schenkung des desolaten Gebäudes im Jahr 2003 habe es noch einige Altmieter gegeben. Diese seien sukzessive abgesiedelt worden, damit die Wohnungen und auch das gesamte Gebäude saniert werden habe können. Ende 2003 sei mit der Sanierung begonnen worden. Diese sei Ende 2005 beendet worden. Erst mit 2006 die Neuvermietung der sanierten Wohnungen erfolgt; damit sei dieser Zeitpunkt auch als Beginn der Vermietung anzusehen. Damit sei der durch Verzögerungen im Bau- und Förderungsverfahren zulässige Sanierungszeitraum (Anlaufphase) von drei Jahren ausgenützt worden.
Art der Tätigkeit:
Da im vorliegenden Fall ein Mietobjekt mit mehreren Wohneinheiten vermietet werde, falle die Vermietung durch die Bf. unter die "Einkunftsquellenvermutung" des § 1 Abs. 1 der Liebhabereiverordnung. Da das Objekt zur Gänze dem MRG und daher dem Richtwert unterliege, ist von mietrechtlichen Beschränkungen im Bereich der Mietzinsbildung auszugehen, so dass Liebhaberei bei Ausnützen der möglichen Höchstmieten nicht vorliegen könne. Denn bei Objekten, die nicht nur dem Kündigungsschutz (Teilanwendung) sondern den Beschränkungen in der Miethöhe (Vollanwendung des MRG) unterlägen, sei nach der Rechtsprechung des VwGH die Frage, ob durch die Vermietung eine Einkunftsquelle begründet werde oder Liebhaberei vorliege (ausnahmsweise) nicht nach der objektiven Möglichkeit zur Erzielung eines tatsächlichen Ertrages innerhalb eines absehbaren Zeitraumes zu lösen. Von ausschlaggebender Bedeutung sei vielmehr die objektive Ertragsmöglichkeit unter Ausblendung der gesetzlichen Mietzinsbeschränkung. So habe der VwGH judiziert, dass die Prognoserechnung unter Heranziehung der fiktiven Marktmieten zu erstellen sei, soweit der Vermieter den durch preisrechtliche Zwangsvorschriften vorgegebenen Rahmen ausgeschöpft habe (VwGH 25.11.1999, 97/15/0144 und 16.2.2006, 2004/14/0082). Dies erfolge bei der gegenständlichen Vermietung.
Im Fall gesetzlicher Mietzinsbeschränkungen sei die Prognose über die Erzielung eines wirtschaftlichen Gesamterfolges immer unter Heranziehung fiktiver marktkonformer Miete zu erstellen. Dies gelte selbst dann, wenn die Investitionen in ein "ertrag gehemmtes Objekt"
mit atypisch hohen Fremdfinanzierungskosten eingegangen sei (VwGH 30.3.2011, 2005/13/0148). Dieser Umstand liege aber im gegenständlichen Fall nicht vor, weil das Objekt ja durch Schenkung erworben worden sei.
Die Liebhabereirichtlinien 2012 führten in RZ 62 Folgendes aus:
Angemessenheit der Zeitrelation sei anzunehmen, wenn sich innerhalb des absehbaren Zeitraumes voraussichtlich ein Gesamtgewinn (Gesamtüberschuss) ergeben werde oder sich lediglich deshalb nicht ergebe, weil von Sonderabschreibungen (z.B. § 28 Abs. 3 EStG 1988) Gebrauch gemacht werde oder der Steuerpflichtige wegen gesetzlicher Einnahmenbeschränkungen nur ein begrenztes Bestandsentgelt - das allerdings dem Markt entsprechend voll auszuschöpfen sei - verlangen könne (VwGH 30.3.2011, 2005/13/0148; VwGH 16.2.2006, 2004/14/0082). Dies sei vor allem bei den so genannten Kategoriemietzinsen, den Richtwertmietzinsen und den landesgesetzlich begrenzten Mietzinsen (vor allem im Zusammenhang mit Wohnbauförderungsmaßnahmen) der Fall.
Beispiele:
angemessene Mietzinse nach § 16 Abs 1 MRG. Eine gesetzliche Einnahmenbeschränkung liege nur vor, wenn glaubhaft gemacht werde, dass die Rahmenbedingungen voll ausgeschöpft seien sowie
Mietzinsbeschränkungen im Zusammenhang mit landesgesetzlichen Wohnbauförderungsmaßnahmen.
Nach RZ 63 der Liebhabereirichtlinien 2012 habe die Ermittlung fiktiver marktkonformer Mietzinse beispielsweise anhand der Mietenspiegel der Wirtschaftskammer Österreich oder anhand von "Vergleichsvermietungen" (z.B. Internetseiten von Immobilienmaklern) zu erfolgen. Auf Grund der Lage des Gebäudes in der Hinterbrühl in einem totalen Ruhegebiet sei von einem Marktzins von mindestens Euro 12,00 auszugehen.
Prognoserechnung:
Die auf Grund der bisherigen Ergebnisse 2003 bis 2015 und der hochgerechneten Ergebnisse für die Zeit danach erstellte Ertragsberechnung zeige, dass bei dem durch die LVO gebotenen Ansatz fiktiver Mieten und der Umrechnung der begünstigten Absetzungen auf eine Normalabschreibung bereits im Jahr 2020, also innerhalb von 15 Jahren, mit einem Gesamtüberschuss zu rechnen sei.
Für die Liebhabereiberechnung sei für das gesamte Gebäude von einem fiktiven Marktzinssatz auszugehen. Als Miete sei im Konzept ab der geplanten Vollvermietung die marktübliche freie Miete angesetzt worden. Die Leerstandkosten und Reparaturkosten würden jährlich mit 8 % der Mieten angesetzt werden. Auf Grund der Prognoserechnung sei mit einem fiktiven Gesamtüberschuss sogar innerhalb von 15 Jahren ab Vermietung zu rechnen. Damit sei nicht nur nach den in Geltung stehenden Liebhabereidurchführungsrichtlinien, sondern auch nach der Rechtsprechung des VwGH und VfGH von Anfang an von einer Einkunftsquelle auszugehen.
Auf Grund der Erzielung eines Gesamtüberschusses innerhalb von 15 Jahren ab Fertigstellung (dies seien 18 Jahre ab dem Erwerb) habe die Finanzverwaltung nach der Liebhabereiverordnung und den dazu ergangenen Richtlinien die Tätigkeit der Bf. auch ertragssteuerlich als Einkunftsquelle anzusehen und damit die Feststellungsbescheide endgültig zu erlassen.
Zusammenfassung:
Zusammenfassend sei festzustellen, dass die gegenständliche Vermietungsgemeinschaft als große Vermietung unter § 1 Abs. 1 LVO falle. Das gegenständliche Objekt falle in vollem Umfang unter die mietzinsrechtlichen Beschränkungen. Daher sei die Rentabilitätsberechnung mit den tatsächlichen Ergebnissen auf der Einnahmenseite um die Differenz auf die die fiktive Marktmieten zu erhöhen (siehe Beilage 2) und auf der Ausgabenseite seien die nach § 28 Abs. 3 EStG auf 10 bis 15 Jahre begünstigten Abschreibungen wieder hinzurechnen und dafür die normale Abschreibung von 1,5% anzusetzen. Wie aus den Rentabilitätsberechnungen ersichtlich, werde bereits ab 2020, also ab 15 Jahre ab Vollvermietung nach erfolgter Sanierung, ein Gesamtüberschuss erzielt.
Beschwerdeantrag und Antrag auf Durchführung einer mündlichen Verhandlung:
Auf Grund des Vorliegens einer eindeutigen Einkunftsquelle werde der Antrag auf Aufhebung der Aufhebungsbescheide nach § 299 BAO gestellt. Für den gegenteiligen Fall werde der Antrag auf Durchführung einer mündlichen Verhandlung vor dem BFG gestellt.
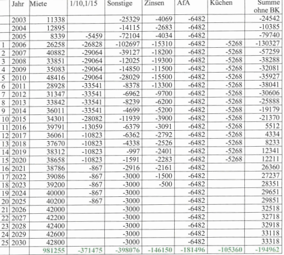
In Beilage 1 zu seiner Beschwerde erstellte der Bf. eine Gesamtüberschussberechnung mit den tatsächlich entstandenen Beträgen hinsichtlich der Mieteinnahmen der 1/10 und 1/15-Abschreibungen, der sonstigen Werbungskosten der Zinsen sowie der AfA betreffend des in Rede stehenden Gebäudes, soweit sich diese auf die Jahre 2003 bis 2015 bezog. Hinsichtlich der Jahre 2016 bis 2030 brachte der Bf. in dieser Berechnung Mieteinnahmen von jährlich Euro 35.000 in Ansatz. Die sonstigen Werbungskosten wurde in dieser hinsichtlich der letztangeführten Jahren mit insgesamt Euro 63.000, die in diesen anfallenden Zinsen mit insgesamt Euro 17.000 und die restlichen 1/10 und 1/15-Abschreibungen mit insgesamt Euro 60.686 zum Ansatz gebracht. Auf diese Weise wurde in dieser Überschussrechnung hinsichtlich der Jahre 2003 bis 2030 die Summe der Mieteinnahmen mit Euro 906.491 und jene der 1/10 und 1/15-Abschreibungen mit Euro 371.475 verzeichnet. Der Gesamtverlust wurde in dieser Rechnung mit Euro 309.229 ermittelt.
In Beilage 1 schloss die Bf. ihrem o.a. Beschwerdeschreiben folgende, mit den Worten "MFG bf Hinterbrühl Gesamtüberschussrechnung tatsächlich" sowie "MFG bf Hinterbrühl Aufstellung 1/10 und 1/15 lt Erklärungen Beilage 1" übertitelten Tabellen an:
In Beilage 2 zur o.a. Beschwerde führte der steuerliche Vertreter hinsichtlich der fiktiven und die 1/15-Absetzung nicht berücksichtigende Gesamtüberschussberechnung einleitend aus, dass an Mieten die fiktive Miete zum Ansatz gebracht werde und dass die Herstellungsaufwendungen auf die Nutzungsdauer von 67 Jahren verteilt werden würden. Die Miete würde ohne Richtwert in dieser Gegend mit Euro 12,00 anzusetzen sein, dies ergebe einen jährlichen Betrag von 368*12*12 = Euro 52.992 und damit eine jährlich Differenz zur tatsächlichen Miete von Euro 17.992(52.992-35000). Die gesamte Sanierung sei als Herstellungsaufwand anzusehen. Damit seien die gesamten als 1/10 und 1/15 Absetzungen bis 2025 geltend gemachten Aufwendungen hinzuzurechnen und mit der Normalabschreibung von 2% abzuziehen.
1. Berechnung für das Jahr 2020:
Die Differenz von 17.992 werde für die Jahre ab 2006 angesetzt mit 15*17.992. Der Herstellungsaufwand bis 2020 betrage 367.140.
2. Berechnung für das Jahr 2025:
Die Differenz von 17.992 werde für die Jahre ab 2006 angesetzt mit 10*17.992. Der Herstellungsaufwand bis 2020 betrage 371.475.
3. Berechnung für das Jahr 2030:
Die Differenz von 17.992 werde für die Jahre ab 2006 angesetzt mit 25*17.992. Der Herstellungsaufwand bis 2020 betrage 371.475.
Abschließend führte der steuerliche Vertreter der Bf. aus, dass sich damit ein nach der LVO adaptierter Gesamtüberschuss von rund Euro 355.000 innerhalb von 25 Jahren ab Vermietung ergäbe und dass damit keine Liebhaberei vorliege.
Am 27.3.2017 erließ das Finanzamt Nichtfeststellungsbescheide betreffend der Jahre 2005 bis 2015. Begründend führte das Finanzamt aus, dass auf Grund des Gesamtbildes der Verhältnisse keine Einkunftsquelle aus Vermietung und Verpachtung vorliege. Daher habe eine Feststellung dieser Einkünfte gem. § 188 BAO zu unterbleiben. Auf den BP-Bericht vom 1.6.2016 werde verwiesen.
Mit Beschwerdevorentscheidung vom 10.4.2017 gab das Finanzamt der o.a. Beschwerde - soweit dies die angefochtenen Bescheide der Jahre 2005 bis 2012 betraf - Folge mit der Begründung, dass die angefochtenen Aufhebungsbescheide betreffend der vorläufigen Feststellung von Einkünften aus Vermietung und Verpachtung hinsichtlich dieser Jahre laut Aktenlage eindeutig außerhalb eines Jahres nach Bekanntgabe der vorläufigen Erstbescheide ergangen und daher wegen Rechtswidrigkeit spruchgemäß aufzuheben gewesen seien.
Mit Schreiben vom 19.4.2017, bezeichnet als "Beschwerde gegen die Erlassung neuer Feststellungsbescheide von 2005 bis 2015 ohne Rechtsgrundlage" führte die Bf. aus, dass sich diese gegen die Feststellungen richtete. Gegen die Aufhebungsbescheide betreffend der Feststellungsbescheide 2005 bis 2015 sei innerhalb offener Frist am 16.8.2016 das Rechtsmittel der Beschwerde erhoben worden. Dieser Beschwerde sei hinsichtlich der Aufhebungsbescheide 2005 bis 2012 mit BVE vom 10.4.2017 aus formalen Gründen stattgegeben worden. Offen sei damit noch die Beschwerde gegen die Aufhebungsbescheide 2012 bis 2015. Durch die BP sei die LVO völlig falsch angewendet worden, bzw. seien wesentliche Aussagen dieser Verordnung außer Betracht gelassen worden.
Weiters führte die Bf. in diesem Schreiben aus, dass sie Beschwerde gegen die neuen Feststellungsbescheide 2005 bis 2015 erhebe. Am 27.3.2017 seien neue Feststellungsbescheide, die jeder Rechtsgrundlage entbehrt hätten und damit an sich als Nichtbescheide zu beurteilen seien, ergangen. Die Veranlagung habe, ohne auf die Beschwerde einzugehen und trotz des Rechtsbestandes von bekämpften Aufhebungs- bzw. Feststellungsbescheiden, ganz einfach neue Feststellungsbescheide erlassen.
Diese Vorgangsweise sei als Betriebsunfall zu bezeichnen. In diesen Nichtbescheiden werde außerdem auf den BP-Bericht verwiesen, so als ob es noch keine Bescheide vorher gegeben hätte.
Da die neuen Feststellungsbescheide ohne Rechtsgrundlage erlassen worden seien bzw. durch die Beschwerdevorentscheidung vom 10.4.2017 die alten Feststellungsbescheide der Jahre 2006, gemeint wohl 2005, bis 2012 wieder in Rechtskraft erwachsen seien, werde der Antrag gestellt, die Bescheide vom 27.3.2017 ersatzlos zu streichen.
Nicht einmal für die Jahre 2013 bis 2015 könnten diese Feststellungsbescheide eine Wirkung haben, denn für diese Jahre seien die nach § 299 BAO erlassenen Aufhebungsbescheide nicht aufgehoben worden, sodass die mittels Beschwerde bekämpften alten Nichtfeststellungsbescheide noch in Geltung seien. Außerdem seien sämtliche Bescheide zeitlich vor der Beschwerdevorentscheidung erlassen worden und damit in jedem Fall Nichtbescheide.
Abschließend beantragte die Bf. für den Fall der Nichterlassung aufhebender Beschwerdevorentscheidungen die Durchführung einer mündlichen Verhandlung vor dem BFG.
Mit Beschwerdevorentscheidung vom 28.7.2017 wies das Finanzamt die Beschwerde vom 19.4.2017 gegen die Bescheide vom 27.3.2017 betreffend Nichtfeststellung der Einkünfte aus Vermietung und Verpachtung hinsichtlich der Jahre 2005 bis 2012 gemäß § 260 BAO zurück.
Begründend führte das Finanzamt diesbezüglich aus, dass mit Bescheiden vom 2.6.2017 im Anschluss an eine Betriebsprüfung über den Zeitraum 2005 bis 2015 die vorläufig festgestellten Einkünfte aus Vermietung und Verpachtung gemäß § 299 BAO aufgehoben worden seien. Dadurch seien ab diesem Zeitpunkt die Abgabenerklärungen wiederum unerledigt gewesen.
Mit Bescheiden vom 27.3.2017 seien daher entsprechend dem Ergebnis der BP neue Erstbescheide über das Unterbleiben der einheitlichen und gesonderten Feststellung der Einkünfte aus Vermietung und Verpachtung 2005 (Nichtfeststellungsbescheide) erlassen worden.
Mit BVE vom 10.4.2017 seien die Bescheide gem. § 299 BAO betr. 2005 bis 2012 wegen Rechtswidrigkeit aufgehoben worden.
Durch die Aufhebung des Aufhebungsbescheides trete das Verfahren in die Lage zurück, in der es sich vor der Aufhebung befunden habe. Bei untrennbarem rechtlichen Zusammenhang beseitige die Aufhebung des Aufhebungsbescheides von diesem zwingend abgeleitete Bescheide.
Da die gegenständlich angefochtenen Nichtfeststellungsbescheide 2005 bis 2012 vom 27.3.2017 in untrennbarem rechtlichen und zwingendem Zusammenhang (wenn auch zeitlich getrennt) zu den - sich erst nachträgliche als rechtswidrig herausgestellten - Aufhebungsbescheiden gem. § 299 BAO vom 2.6.2016 stünden, seien diese ebenfalls durch die nachfolgende aufhebende Beschwerdevorentscheidung vom 10.4.2017 aus dem Rechtsbestand beseitigt worden.
Mit BVE vom 28.7.2017 wies das Finanzamt die Beschwerde vom 16.8.2016 gegen die Aufhebungsbescheide gem. § 299 BAO vom 2.6.2016 betreffend die vorläufigen Feststellungsbescheide 2013, 2014 und 2015 sowie die Beschwerde vom 19.4.2017 gegen die gegen die Bescheide vom 27.3.2017 betreffend Nichtfeststellung der Einkünfte aus Vermietung und Verpachtung 2013, 2014 und 2015 als unbegründet ab.
Begründend führte das Finanzamt aus, dass das Mietobjekt, ein um Jahrhundertwende errichtetes Mehrfamilienhaus, 2003 durch Erbschaft erworben und anschließendsukzessive saniert und renoviert worden sei. Es umfasse fünf vermietete Wohneinheiten.
Im Zeitraum 2003 -2015 sei ein steuerlicher Gesamtverlust in Höhe von Euro 543.629,90 erklärt worden.
Bei der Betriebsprüfung sei an Hand von vorliegenden Prognoserechnungen aus den Jahren 2010 und 2015 festgestellt worden, dass es sich bei der Vermietungstätigkeit um Liebhaberei gem.§ 1 Abs. 1 LVO handelte und in der Folge die Bescheide 2005-2015 mit welchen die erklärten Verluste vorläufig anerkannt worden seien, gem. § 299 BAO aufgehoben worden.
Im Zusammenhang damit sei mit Bescheiden vom 27.3.2017 festgestellt worden, dass die einheitliche und gesonderte Feststellung der Einkünfte aus Vermietung und Verpachtung 2005-2015 unterbleibe (Nichtfeststellungsbescheide).
Sowohl die Aufhebungsbescheide als auch die Nichtfestellungsbescheide seien mit Beschwerden vom 16.8.2016 und vom 19.4.2017 angefochten worden.
Gegenständlich seien die Beschwerden betreffend der Jahre 2012-2015 und die rechtliche Beurteilung als Liebhaberei gem. § 1 Abs 1 LVO:
Der angemessene Zeitraum für die Liebhabereibeurteilung im Zusammenhang mit der "großen Vermietung" betrage gemäß § 2 Abs. 3 LVO 25 Jahre ab Beginn der entgeltlichen Überlassung, höchstens 28 Jahre ab dem erstmaligen Anfallen von Aufwendungen. Da sowohl Einnahmen als auch Ausgaben ab 2003 angefallen und erklärt worden seien, sei der Beurteilung, ob Liebhaberei vorliege, eine Prognoserechnung ab dem Jahr 2003 bis 2027 zugrunde zu legen.
Nach der Rechtsprechung (RZ 62 LRL) sei Liebhaberei dann nicht anzunehmen, wenn - auch bei voller Ausschöpfung der Rahmenbedingungen - lediglich wegen gesetzlicher Mietzinsbeschränkungen (Altmietverträge, Richtwertmietzinse) kein Gesamtüberschuss
erzielt werden könne, wohl aber bei marktgerechter Vermietung (vgl. zuletzt VwGH 30.3.2011, 2005/13/0148). Der marktgerechte Mietzins könne zB aus dem Mietenspiegel der Wirtschaftskammer oder aus den Internetseiten von Immobilienmaklern abgeleitet werden.
Laut Hausverwaltung seien bei der Betriebsprüfung fiktive bzw. marktkonform erzielbare Mieten wie folgt dargelegt worden:
Berechnung der fiktiv freien Zinsbildung
Gebäude, vor Sanierung 2003 bis 2005
Berechnung der fiktiv freien Zinsbildung
Gebäude, ab 2006
Weiters führte das Finanzamt aus, dass laut weiteren vorgelegten Unterlagen seit mindestens 2007 zwei Wohnungen (Top 2 = Praxis/Geschäftsräumlichkeit und Top 4/Vermietung an Miteigentümer) zu einem angemessenen Mietzins vermietet worden seien. Da sich der angemessene Mietzins nach dem ortsüblichen Mietzins für vergleichbare Objekte richte, sei insoweit eine fiktive Anpassung für Prognosezwecke nach den LRL nicht vorgesehen. Die Mietenanpassung für die steuerliche Beurteilung ab 2015 werde daher wie folgt ermittelt:
Eine pauschale Annahme von Euro 12/m2 ab 2006 als marktkonform, wie in der Beschwerde ausgeführt, sei nicht nachvollziehbar:
Die geschätzten Anpassungen der Miete für die Liebhabereibeurteilung seien daher wie folgt zu berechnen:
2003-2005: 18.194/Jahr
2006-2014 37.939/Jahr
2015-2027: 39.757/Jahr.
Dies ergäbe hinsichtlich der Jahre 2003 bis 2027 eine Differenz zu den erklärten Mieten iHv 102.451.
Die in der beschwerdegegenständlichen Prognoserechnung für die Jahre 2016 bis 2027 geschätzten sonstigen Werbungskosten seien in Anbetracht der bis zum Jahre 2016 tatsächlich erklärten Kosten unglaubwürdig, zumal auch weiterhin laufende Instandhaltungskosten einzukalkulieren seien.
Die mittleren sonstigen Kosten 2011 bis 2015 seien mit ca. Euro 8.040 geschätzt worden. Dies ergäbe eine Differenz zu den von der Bf. geschätzten sonstigen Kosten iHv Euro 42.440 (2017-2027: bisher 46.000; lt Schätzung Finanzamt 8040*11=88.440).
Die Berechnung für das Jahr 2027 ergäbe daher folgendes Bild:
Somit habe die Erzielung eines Gesamtüberschusses innerhalb eines absehbaren Zeitraumes nicht nachgewiesen werden können. Daher seien die Beschwerde spruchgemäß abzuweisen gewesen.
Am 31.7.2017 erließ das Finanzamt endgültige Nichtfeststellungsbescheide betreffend der Jahre 2005 bis 2012.
In der Begründung wies das Finanzamt zunächst auf die o.e. vorläufigen Feststellungsbescheide betreffend der Jahre 2005 bis 2012 hin. Mit Bescheiden vom 2.6.2016 seien im Anschluss an eine BP die vorläufig ergangenen Feststellungsbescheide betreffend der Jahre 2005 bis 2015 gem. § 299 BAO aufgehoben worden.
Mit BVE´s vom 10.4.2017 seien die Bescheide gem. § 399 BAO betreffend 2005 bis 2012 wegen Rechtswidrigkeit aufgehoben worden. Dadurch seien die Verfahren in die Lage zurückgetreten, in der sich diese vor der Aufhebung befunden hätten.
Auf Grundlage der abgeschlossenen BP sowie der Ergebnisse der Beschwerdeverfahren habe gem. § 200 Abs 2 BAO die Feststellung der Einkünfte aus Vermietung und Verpachtung gem. § 188 BAO für die Jahre 2005 bis 2012 endgültig zu unterbleiben. Auf die Ausführungen in den BVE´s vom 28.7.2017 werde verwiesen.
Mit Schreiben vom 22.8.2017 beantragte die Bf. die Vorlage gegen die beiden Beschwerdevorentscheidungen vom 28.7.2017 betreffend der Feststellungsbescheide 2005 bis 2012 sowie der Feststellungsbescheide 2013 bis 2015.
Die Bf. führte diesbezüglich zunächst aus, dass das gegenständliche Mietobjekt hinsichtlich der Umsatzsteuer richtig unter die große Vermietung des § 1 Abs 1 LVO subsumiert worden sei. Bei der Rentabilitätsrechnung für die Einkommensteuer sei das Finanzamt jedoch von völlig falschen Zahlen auf Grund einer falschen rechtlichen Beurteilung ausgegangen.
Weiters erhob die Bf. mit gleichem Schreiben Beschwerde gegen die endgültigen Nichtfeststellungsbescheide vom 31.7.2017 betreffend der Jahre 2005 bis 2012 und führte diesbezüglich wiederum zunächst aus, dass das gegenständliche Mietobjekt hinsichtlich der Umsatzsteuer richtig unter die große Vermietung des § 1 Abs 1 LVO subsumiert worden sei.
Bei der Rentabilitätsrechnung für die Einkommensteuer sei das Finanzamt jedoch von völlig falschen Zahlen auf Grund einer falschen rechtlichen Beurteilung ausgegangen.
1. Kein konstruiertes Verlustmodell:
Festzuhalten sei, dass es sich beim in Rede stehenden Objekt nicht um den Kauf eines Altgebäudes in Sanierungsabsicht und mit der Erwartung entsprechender Verlustzuweisungen gehandelt habe. Die beiden Brüder hätten das erhaltungswürdige Objekt geschenkt erhalten und seien auf Grund des schlechten Zustandes zur Totalsanierung gezwungen gewesen. Die komplette Sanierung sei zu einem sehr günstigen Preis von Euro 890 je m2 (371.500/417= 890,89) erfolgt. Daraus ersehe man, dass auch bei der Sanierung keinesfalls der Versuch einer "Verlustoptimierung" vorgenommen worden sei. Bei einer Rentabilitätsrechnung mit den auf Grund der Rechtsprechung und Verwaltungspraxis anzusetzenden Zahlen komme es bereits ab 2022 (das sei das 17. Jahr ab Vollvermietung) zu einem Gesamtüberschuss.
2. Keine freie Wohnungsmiete möglich
Das gegenständliche Mietobjekt unterliege nach § 1 Abs. 1 MRG zur Gänze den einschränkenden Bestimmungen des Mietrechtsgesetzes. Daher könne eine Vermietung zu Wohnzwecken in diesem Gebäude immer nur zum Kategoriemietzins oder zum Richtwert erfolgen.
Wenn das Finanzamt nun der Meinung sei, dass die Wohnung Top 4 zu einem angemessenen Mietzins vermietet worden sei, dann sei dies rechtlich falsch. Der Mietvertrag sei von der vorigen Hausverwaltung unrichtig und damit hinsichtlich der Miethöhe und der Wertsicherung rechtsunwirksam abgeschlossen worden.
Mietobjekte in Gebäuden, die dem vollen Anwendungsbereich des MRG unterlägen, könnten entsprechend der Kategorie nur nach § 15a MRG zum jeweiligen Kategoriemietzins oder bei Neuvermietungen ab dem 1.4.2009 zum Richtwertzins vermietet werden. Eine jährliche Valorisierung sei dabei ausgeschlossen, eine Mieterhöhung ist nur dann möglich, wenn die Kategoriemieten oder Richtwertmieten durch Verordnung erhöht werden würden. Der Mietvertrag über die Top 4 nehme weder auf den Richtwert noch auf die Erhöhung entsprechend dem Richtwertgesetz Bezug. Damit könne die Miete der Top 4 nicht als angemessene bzw. frei vereinbarte Miete und damit auch nicht als Marktmiete angesehen werden.
3. Vermietung zu Geschäftszwecken
Werde eine Wohnung in einem dem Vollanwendungsbereich des MRG unterliegenden Objekt zu Geschäftszwecken vermietet, dann könne bei diesem Objekt nach § 16 Abs. 1 MRG die Miete mit einem "angemessenen Betrag" vereinbart werden. Allerdings sei auch diese Miete der Höhe nach beschränkt, weil auch der angemessene Mietzins der Überprüfung durch die Schlichtungsstellen und Gerichte unterliege und damit mit einer freien Marktmiete nicht vergleichbar sei. Bei der freien Marktmiete sei die Begrenzung nur durch den "Wucher" gegeben, die freie Marktmiete dürfe also nicht doppelt so hoch als üblich vereinbart werden.
Daher gingen die Liebhabereirichtlinien in der RZ 62 davon aus, dass auch der angemessene Mietzins nach § 16 Abs. 1 MRG eine entsprechende Begrenzung darstelle.
"62
Bei der Planung sind objektive Maßstäbe (realistische Annahmen) anzulegen. Angemessenheit der Zeitrelation ist anzunehmen, wenn sich innerhalb des absehbaren Zeitraumes voraussichtlich ein Gesamtgewinn (Gesamtüberschuss) ergeben wird oder sich lediglich deshalb nicht ergibt, weil von Sonderabschreibungen (z.B. § 8 Abs. 2 EStG 1988, § 28 Abs. 3 EStG 1988) Gebrauch gemacht wird oder der Steuerpflichtige wegen gesetzlicher Einnahmenbeschränkungen nur ein begrenztes Bestandsentgelt - das allerdings dem Markt entsprechend voll auszuschöpfen ist - verlangen kann (VwGH 30.3.2011, 2005/13/0148; VwGH 16.2.2006, 2004/14/0082). Dies ist vor allem bei den so genannten Kategoriemietzinsen, den Richtwertmietzinsen und den landesgesetzlich begrenzten Mietzinsen (vor allem im Zusammenhang mit Wohnbauförderungsmaßnahmen) der Fall.
Beispiele:
□ Angemessene Mietzinse nach § 16 Abs. 1 Mietrechtsgesetz (eine gesetzliche Einnahmenbeschränkung liegt nur dann vor, wenn glaubhaft gemacht wird, dass die Rahmenbedingungen voll ausgeschöpft wurden)
□ Mietzinsbeschränkung gemäß § 20 Abs. 1 Z 3 lit. A Wohnungsgemeinnützigkeitsgesetz
□ Mietzinsbeschränkungen im Zusammenhang mit landesgesetzlichen Wohnbauförderungsmaßnahmen (z.B. gemäß dem Wiener Wohnbauförderungs- und Wohnhaussanierungsgesetz oder dem Vlbg. Landesgesetz über die Förderung der Errichtung und der Erneuerung von Wohnraum sowie die Gewährung von Wohnbeihilfen)"
Daher könne auch die Miete der Top 2 nicht als freie Zinsbildung angesehen werden. Siehe dazu auch bei Kohler- Wakounigg-Berger, Steuerleitfaden zur Vermietung, Seite 66 ff.
Hinsichtlich der Höhe der fiktiven Marktmiete sei anhand der Liebhabereirichtlinien wie folgt vorzugehen:
"63
Die Ermittlung fiktiver marktkonformer Mietzinse kann beispielsweise anhand der Mietenspiegel der Wirtschaftskammer Österreich oder anhand von "Vergleichsvermietungen" (z.B. Internetseiten von Immobilienmaklern) erfolgen."
4. Die Rentabilitätsberechnung sei unrichtig erstellt worden:
Damit sei das Finanzamt bei der "amtlichen Rentabilitätsberechnung" von einer falschen Höhe der freien Marktmiete ausgegangen.
Weiters habe das Finanzamt die Wohnung 5 als Kategorie C Wohnung behandelt, was nicht der Fall sei, denn auch diese Wohnung sei komplett renoviert und als Kategorie A Wohnung vermietet. Beim Studium der in der Hinterbrühl angebotenen Wohnungen sei in der Beschwerde von einer Miete von Euro 12,00 ausgegangen worden, auf Grund des "halbamtlichen Mietpreisspiegels", auf den auch die Liebhabereirichtlinien (siehe oben) verwiesen, komme man auf jeden Fall auf eine Miete von Euro 10,50, und somit etwas höher als mit 10,00 Euro wie dies vom Finanzamt anerkannt worden sei.
Die freie Marktmiete von Euro 12,00 sei in der Beschwerde deshalb zum Ansatz gebracht worden, weil die Mieter auch noch einen Garten von etwa 200 m2 und eine Hoffläche von 100 m2 nutzten. Unterstelle man nun, dass eine Miete von Euro 10,50 die freie Marktmiete wäre, dann wäre bei einer freien Vermietung in dieser absoluten Ruhelage für den Garten mit Waldrandlage (mit Ausgang direkt in den Föhrenwald) ein Betrag von mindestens Euro 1,5 und für die Hoffläche von Euro 1,00 erzielbar. Damit ergebe sich folgende Berechnung:
Die von der Bf. erstellte Rentabilitätsberechnung stimme sonst mit der vom Finanzamt in der Beschwerdevorentscheidung herangezogenen Berechnung überein. Eine Differenz ergäbe sich nur durch die Höhe der fiktiven Marktmiete einerseits und andererseits durch die Nichtanerkennung von drei Jahren Sanierungsphase, denn die Vollvermietung habe erst nach Abschluss der Sanierung mit 2006 erfolgen können. Bei der Schenkung des desolaten Gebäudes im Jahr 2003 habe es noch einige Altmieter gegeben. Diese seien sukzessive abgesiedelt worden, damit die Wohnungen und auch das gesamte Gebäude saniert habe werden können. Ende 2003 sei mit der Sanierung begonnen worden. Ende 2005 sei diese beendet gewesen. Erst mit Anfang 2006 sei die Neuvermietung der sanierten Wohnungen erfolgt; damit sei dieser Zeitpunkt auch als Beginn der Vermietung anzusehen. Damit sei der durch Verzögerungen im Bau- und Förderungsverfahren zulässige Sanierungszeitraum (Anlaufphase) von drei Jahren ausgenützt worden.
Somit sei von einer durch die Richtlinien anerkannten Sanierungsphase von drei Jahren auszugehen, sodass der Beobachtungszeitraum erst mit 2030 auslaufe.
Die laufenden Kosten seien von der Bf. mit 7 bis 10% der Mieten angesetzt worden. Bei einem komplett sanierten Gebäude seien Kosten von Euro 8.040, also von 23% (8040/35000%= 22,97), wie vom Finanzamt zum Ansatz gebracht, völlig überzogen und entsprächen weder der Verwaltungspraxis noch der Rechtsprechung des BFG bzw. VwGH. Daher habe keine Adaptierung der Berechnung der Bf. zu erfolgen. Die laufenden Kosten seien in den Vorjahren nur deshalb höher gewesen, weil die Vorverwaltung ein wesentlich höheres Verwaltungshonorar als nach dem MRG verrechenbar gewesen sei, verlangt habe und auch bei den sonstigen Ausgaben, wie Anwaltskosten etc., nicht gespart hätte. Daher könnten Vorjahre nicht als Vergleich herangezogen werden.
Die Mieten seien nicht valorisiert worden, auch wenn der Richtwert alle zwei Jahre angehoben werden würde. Insofern bestehe noch eine Differenz zu Gunsten des Stpfl.
Da die neuen Nichtfeststellungsbescheide auf Grund einer unrichtigen Rentabilitätsrechnung - ausgehend von falschen rechtlichen und tatsächlichen Annahmen - erlassen worden seien, beantrage die Bf. die Aufhebung der Nichtfeststellungsbescheide 2005 bis 2015 sowie die erklärungsgemäße Feststellung der Einkünfte aus Vermietung und Verpachtung sowie die Abhaltung einer mündlichen Verhandlung.
In Beilage 1 zum o.e. Schreiben vom 22.8.2017 legte die Bf. die nachstehende, mit den Worten "MFG bf Hinterbrühl Gesamtüberschussrechnung tatsächlich Beilage 1" bezeichnete, Überschussrechnung vor:
In Beilage 2 zum o.a. Schreiben vom 22.8.2017 erstellte die Bf. fiktive Gesamtüberschussberechnungen ohne Berücksichtigung der 1/15 Absetzung und führte diesbezüglich zunächst aus, dass an Mieten die fiktive Miete angesetzt werde und dass die Herstellungsaufwendungen auf die Nutzungsdauer von 67 Jahren verteilt werden würden. Die Miete würde ohne Richtwert in dieser Gegend mit der Garten- und Hofnutzung in absoluter Ruhelage mit Euro 10,50 bis 12,00 anzusetzen sein, dies ergäbe einen jährlichen Betrag von mindestens Euro 51.146 und damit eine jährlich Differenz zur tatsächlichen Miete von mindestens Euro 14.879. Die gesamte Sanierung sei als Herstellungsaufwand anzusehen. Damit seien die gesamten als 1/10 und 1/15 Absetzungen bis 2025 geltend gemachten Aufwendungen hinzuzurechnen und mit der Normalabschreibung von 2% abzuziehen.
Berechnung für das Jahr 2022:
Die Differenz von 14.879 werde für die Jahre ab 2006 angesetzt mit 17*14.879. Der Herstellungsaufwand bis 2020 betrage 371.475.
Berechnung für das Jahr 2025:
Die Differenz von 14.879 werde für die Jahre ab 2006 angesetzt mit 20*14.879. Der Herstellungsaufwand bis 2020 betrage 371.475.
Berechnung für das Jahr 2026:
Die Differenz von 14.879 werde für die Jahre ab 2006 angesetzt mit 21*10.319. Der Herstellungsaufwand bis 2020 betrage 371.475.
Berechnung für das Jahr 2027:
Die Differenz von 14.879 werde für die Jahre ab 2006 angesetzt mit 22*10.319. Der Herstellungsaufwand bis 2020 betrage 371.475.
Berechnung für das Jahr 2030:
Die Differenz von 14.879 werde für die Jahre ab 2006 angesetzt. Der Herstellungsaufwand bis 2020 betrage 371.475.
Mit Vorlagebericht vom 24.10.2017 legte das Finanzamt die Beschwerde der Bf., soweit diese die o.e. Aufhebungsbescheide gem. § 299 BAO vom 2.6.2016 hinsichtlich der Jahre 2013 bis 2015 sowie die o.e. Nichtfeststellungsbescheide betreffend der Jahre 2005 bis 2015 vom 27.3.2017 betraf, dem BFG zur Entscheidung vor und beantragte in diesem unter Verweis auf die Beschwerdevorentscheidungen deren Abweisung.
In der diesbezüglichen Stellungnahme führte das Finanzamt weiters aus, dass vorsorglich festgehalten werde, dass eine Wohnung im Mietobjekt (Top 4 - 112,41 m²) seit 2006 von dem Miteigentümer Hrn Mag. Miteigentümer1, der zu 50% Miteigentümer sei, gemietet sei. Gemäß EStRL 6529 sei, für den Fall, dass keine Liebhaberei vorliege, der selbstgenutzte Gebäudeteil nur bei dem anderen Miteigentümer entsprechend des Ausmaßes dessen Miteigentumsanteiles Bestandteil der Einkunftsquelle.
Mit BVE vom 28.7.2017 wies das Finanzamt die Beschwerde vom 12.8.2017 gegen die endgültigen Nichtfeststellungsbescheide vom 31.7.2017 betreffend der Jahre 2005 bis 2012 als unbegründet ab und führte begründend aus, dass bei der o.e. Betriebsprüfung festgestellt worden sei, dass es sich bei der gegenständlichen Vermietungstätigkeit um Liebhaberei gem. § 1 Abs. 1 LVO handelte.
Auf Grundlage der abgabenbehördlichen Prüfung sowie dem bisherigen Vorbringen seien die beschwerdegegenständlichen Bescheide 2005-2012, mit welchen gemäß § 200 Abs 2 BAO endgültig festgestellt worden sei, dass die Feststellung der Einkünfte aus Vermietung und Verpachtung gem. § 188 BAO unterbleibe, ergangen.
Zur Begründung sei auf die Ausführungen im Zusammenhang mit der Beurteilung der Vermietungstätigkeit als Liebhaberei gemäß § 1 Abs 1 LVO in der BVE vom 28.7.2017 betreffend die Nichtfestellung der Einkünfte aus V+V 2013-2015 verwiesen. Die diesbezügliche Beschwerde sei bereits dem Bundesfinanzgericht zur Beurteilung vorgelegt worden und sei dg. unter ZI. RV/7105015/2017 anhängig.
Einer Aussetzung der gegenständlichen Beschwerde gemäß § 271 Abs 1 BAO bis zur Entscheidung des Bundesfinanzgerichtes betreffend der Folgejahre 2013-2015 sei seitens der Bf. nicht zugestimmt worden.
Von der bisherigen Beurteilung der Vermietungstätigkeit als Liebhaberei werde nicht abgegangen und auf die Begründung in der BVE vom 28.7.2017 verwiesen.
Im dagegen mit Schreiben vom 11.1.2018 eingebrachten Vorlageantrag führte die Bf. zunächst aus, dass das Finanzamt bei der Rentabilitätsrechnung für die Einkommensteuer von völlig falschen Zahlen auf Grund einer falschen rechtlichen Beurteilung ausgegangen sei und damit Liebhaberei angenommen habe. Es werde daher der Antrag gestellt, diese Bescheide wieder aufzuheben, wie dies bereits mit Beschwerdevorentscheidung vom 10.4.2017 erfolgt sei.
1. Falsche rechtliche Würdigung und grobe Verfahrensmängel:
Im letzten Vorlagebericht vom 24.10.2017 habe das Finanzamt zugegeben, dass der Sachverhalt seitens der Betriebsprüfung nicht vollständig bzw. richtig erhoben worden sei. Es sei nicht darauf Rücksicht genommen worden, dass der eine Miteigentümer im Objekt in der Top 4 wohne. Diese Wohnung habe eine Fläche von 110,55 m2 und damit 30% (110,55/367,83) der Wohnnutzfläche. Damit wären 15% der Ausgaben ertragsteuerlich der Privatnutzung zuzurechnen und damit ergebe sich ein völlig anderes Ergebnis. Wie der Berechnung in Beilage 2 zu entnehmen sei, ergäbe sich ein Gesamtüberschuss im 9. Jahr von Euro 160.000. Damit könne keine Liebhaberei vorliegen.
2. Begründung:
Hinsichtlich der weiteren Begründung und der Berechnung der fiktiven Mietzinse etc. werde auf den Vorlageantrag vom 22.8.2017 verwiesen.
3. Vorlageantrag:
Da die Feststellungsbescheide auf Grund einer unrichtigen Rentabilitätsberechnung (ausgehend von falschen rechtlichen und tatsächlichen Annahmen) erlassen worden seien, werde der Antrag gestellt, die Nichtfestellungsbescheide 2005 bis 2015 aufzuheben und das Ergebnis aus Vermietung und Verpachtung entsprechend den eingereichten Erklärungen bzw. adaptiert um die "Eigennutzung von 15%" festzustellen.
In der o.a. Beilage erstellte die Bf. unter der Bezeichnung "MEG bf Hinterbrühl Gesamtüberschussberechnung tatsächlich mit Abzug der Privatnutzung der Wohnung zu 15% der Gesamtfläche" folgende Tabelle:
Berechnung für das Jahr 2014:
Die Differenz von Euro 14.879 werde für die Jahre ab 2006 angesetzt mit 9*14.879. Die Miete werde jährlich um Euro 550 gekürzt und die Kosten um 15%. Der Herstellungsaufwand bis 2018 betrage Euro 282.707.
Damit ergebe sich bei richtiger Korrektur der Mieten und der Aufwendungen um die 15% ein nach der Liebhaberei-Verordnung adaptierter Gesamtüberschuss bereits von Euro 162.000 im Jahr 2014 (Jahr 9 ab Vermietung) und damit keine Liebhaberei. Dies auch dann, wenn die gesetzlich beschränkten Mieten nicht auf eine fiktive Marktmarktmieter aufgewertet werden würden.
Außerdem erstellte die Bf. unter der Bezeichnung "MEG bf Hinterbrühl Gesamtüberschussberechnung tatsächlich mit Abzug der Privatnutzung der Wohnung zu 15% der Gesamtfläche" folgende weitere Tabelle:
Berechnung für das Jahr 2018:
Die Differenz von Euro 14.879 werde für die Jahre ab 2006 angesetzt mit 13*14.879. Die Miete werde jährlich um Euro 550 gekürzt und die Kosten um 15%. Der Herstellungsaufwand bis 2018 betrage Euro 345.494.
Abschließend erstellte die Bf. unter der Bezeichnung "MEG bf Hinterbrühl Gesamtüberschussberechnung tatsächlich mit Abzug der Privatnutzung der Wohnung zu 15% der Gesamtfläche" folgende Tabelle:
Berechnung für das Jahr 2022:
Die Differenz von Euro 14.879 werde für die Jahre ab 2006 angesetzt mit 17*14.879. Die Miete werde jährlich um Euro 550 gekürzt und die Kosten um 15%. Der Herstellungsaufwand bis 2020 betrage Euro 368.874.
Mit Vorlagebericht vom 24.4.2018 legte das Finanzamt die Beschwerde der Bf., soweit diese die o.e. endgültigen Nichtfeststellungsbescheide betreffend der Jahre 2005 bis 2012, sämtliche vom 31.7.2017 betraf, dem BFG zur Entscheidung vor und beantragte in diesem unter Verweis auf die bisherigen Beschwerdevorentscheidungen deren Abweisung.
In der diesbezüglichen Stellungnahme führte das Finanzamt weiters aus, dass festzuhalten sei, dass der Miteigentümer Mag. Miteigentümer1 die Wohnung Top 4 (112,41 m²) selbst seit 2006 bewohne und dass dies in den bisherigen Erklärungen gem. EStRL 6529 auch nicht berücksichtigt worden sei.
Angemerkt wird, dass sich im Akt des Finanzamtes ein in Beantwortung eines Ergänzungsersuchens von der ehemaligen Vertreterin der Bf. erstelltes Schreiben vom 31.8.2011, in dem diese u.a. bekannt gab, dass die in Rede stehende Liegenschaft eine Totalsanierung erfahren habe und dass diese auch über das Land Niederösterreich gefördert worden sei und gefördert werde, befindet.
In diesem Akt befinden sich weiters die beiden o.e. und von der Betriebsprüfung angesprochenen Prognoserechnungen. Auf die von dieser erstellten diesbezüglichen Ausführungen wird an dieser Stelle verwiesen.
Angemerkt wird weiters, dass sich im Beiblatt zur Einkommensteuer 2006 hinsichtlich des Instandsetzungsaufwandes die Eintragungen "1/10 Instandsetzungsaufwand 2005 5.459,48" sowie "1/10 Instandsetzungsaufwand 2006 15.022,73" sowie hinsichtlich des Herstellungsaufwandes die Eintragung "1/15 Herstellungsaufwand 2006 6.346,30" befinden. Außerdem findet sich in diesem Beiblatt die Eintragung "1/20 Instandsetzung 2006 5.268,21".
Im Beiblatt zur Einkommensteuer 2009 befinden sich hinsichtlich des Instandsetzungsaufwandes die Eintragungen "1/10 Instandsetzungsaufwand 2005 5.459,48", "1/10 Instandsetzungsaufwand 2006 15.022,73" und "1/10 Instandsetzung 2007 2.236,23" sowie hinsichtlich des Herstellungsaufwandes die Eintragung "1/15 Herstellungsaufwand 2006 6.346,30". Außerdem findet sich in diesem Beiblatt die Eintragung "1/20 Instandsetzung 2006 5.268,21".
Im Beiblatt zur Einkommensteuer 2013 befinden sich hinsichtlich des Instandsetzungsaufwandes die Eintragungen "1/10 Instandsetzungsaufwand 2005 5.459,48", "1/10 Instandsetzungsaufwand 2006 15.022,73", "Instandsetzung 2007 2.236,23" sowie "Instandsetzung 2011 3.609,90". Hinsichtlich des Herstellungsaufwandes finden sich in diesem Schriftstück die Eintragungen "1/15 Herstellungsaufwand 2006 6.346,30" sowie "1/15 Herstellungsaufwand 2011 866,67". Außerdem findet sich in diesem Beiblatt die Eintragung "1/20 Instandsetzung 2006 5.268,21".
Im Akt des Finanzamtes befinden sich weiters fünf Mietverträge. Aus diesen geht u.a. hervor, dass Mietpreise zwischen Euro 6,67/m2 und Euro 8,00/m2 zwischen der Bf. und deren Mietern vereinbart wurden. Angemerkt wird diesbezüglich, dass die in dem mit dem Miteigentümer Mag. Miteigentümer1 am 4.7.2006 abgeschlossenen Vertrag rund Euro 8,00/m2 (Hauptmietzins Euro 884,00 für 110,55m2) beträgt und dass diese Wohnung eine Fläche von 110,55m2 umfasst.
Die übrigen sich im Akt befindlichen Mietverträge wurden am 31.3.2011 (Hauptmietzins Euro 260,00 für 38,43m2), am 24.1.2003 (Hauptmietzins Euro 290,00 für 41m2), mit unbekanntem Datum (Hauptmietzins Euro 396,80 für 59,44m2) und im Jahre 2007 (Monat nicht erkennbar, Hauptmietzins Euro 540 für 76,13 m2) abgeschlossen.
In sämtlichen o.a. Mietverträgen wurde eine Wertsicherungsklausel vereinbart und außerdem festgeschrieben, dass der Dachboden und der Hof nicht mitvermietet seien, dass der Hof jedoch den Mietern für die Deponierung von Müll in den Containern und zur Reinigung von Gegenständen und Kleidern zur Verfügung stehe.
Angemerkt wird schlussendlich, dass die Bf. in der Ladung zur mündlichen Verhandlung um Vorlage von Nachweisen hinsichtlich des von ihr in ihren Beschwerden zum Ansatz gebrachten Ausmaßes der erzielbaren fiktiven Marktmieten (Euro 10,50 bzw. Euro 12 pro m2) aufgefordert wurde.
In der am 22.9.2022 auf Antrag der Bf. durchgeführten mündlichen Verhandlung beantwortete der steuerliche Vertreter die Frage des Richters, wer nunmehr die Bf. bilde, damit, dass diese von Mag. Miteigentümer1 sowie der Verlassenschaft nach Mag. Miteingentümber2 gebildet werde. Weiters gab der steuerliche Vertreter bekannt, dass die Verlassenschaft seines Wissens nach noch nicht eingeantwortet sei.
Weiters übergab der steuerliche Vertreter dem Richter die Überschussrechnung betreffend des Jahres 2021 (Die Überschussrechnungen 2016 bis 2020 lägen laut FINDOK vor). Beide Parteien verzichteten auf die Verlesung der dort festgeschriebenen Beträge.
Der Vertreter der Bf. übergab dem Gericht weiters ein Aktenkonvolut, das u.a. drei frei vereinbarte Mieten und zwar pro m² mit € 8,50, eine weitere mit € 9,00 und eine weitere mit € 9,5, beinhaltet. Der steuerliche Vertreter führte diesbezüglich aus, dass die vorgenannten Mietpreise die erzielbaren Mieten im Jahr 2007 dargestellt hätten und dass in der Folge diese mit dem VPI 2005 valorisiert worden seien.
In diesem Konvolut befinden sich drei auf Grundlage der im vorigen Absatz aufscheinenden Parameter erstellte Prognoserechnungen. Die Berechnung auf Basis einer Miete von € 8,50 ergibt einen Gesamtüberschuss von € 116.478,00. Bereinigt um den Herstellungsaufwand bis 2030 ergibt sich ein Überschuss vom € 292.129,00. Für den Fall, dass eine Herausrechnung der Miteigentümer erfolge, ergibt sich ein Überschuss von € 336.307,00.
Die weitere auf Basis der im vorletzten Absatz angeführten Parameter erstellte Berechnung der eine Marktmiete von € 9,00 zugrunde gelegt wurde, ergibt einen Gesamtüberschuss von € 187.657,00. Bereinigt um den Herstellungsaufwand ergibt sich ein Überschuss von € 364.108,00, für den Fall der Einberechnung des Miteigentümers ergibt sich ein Überschuss von € 407.486.
Die im vorigen Absatz angeführten Werte betragen bei einer Marktmiete von € 9,50 € 257.479, € 433.930,00 und € 477.308,00.
Der steuerliche Vertreter führte hinsichtlich dieser Neuberechnungen aus, dass die von ihm in der Beschwerde zum Ansatz gebrachten Miethöhen von € 10,50 bzw. € 12,00 vom Finanzamt als nicht richtig befunden worden seien. Ausserdem sei es im Jahre 2022 nicht möglich gewesen, der Aufforderung in der Ladung um Vorlage von Nachweisen hinsichtlich dieser Mietpreise nachzukommen.
Über Vorhalt des Richters, dass sich aus den in der Beschwerde angeführten Berechnungen beim Ansatz von 10,50 pro m² eine ungefähre jährlich erzielbare Miete von rund € 45.000 und bei Ansatz von € 12,00 pro m² eine ungefähre jährliche Miete von € 52.000,00 ergeben hätte und dass die nunmehr zum Ansatz gebrachten Mieten (beispielsweise für 2010) bei Ansatz von € 8,50, € 41.082,00 betrage, und 2010 bei Ansatz von € 9,50, € 45.880,00 betrage, und dass somit die in der Beschwerde zum Ansatz gebrachte Prognoserechnung hinsichtlich der Einnahmen nunmehr unterschritten werde, gab der steuerliche Vertreter bekannt, dass diese Berechnungen nunmehr die aktuelle Prognoserechnung darstelle. Weiters wies der steuerliche Vertreter auf die im o.e. Aktenkonvolut enthaltenen diesbezüglichen Tabellen - Nähreres siehe unten - darauf hin, dass im Jahr 2020 höhere Mieten zu erzielen seien.
Die Frage des Richters, ob die im Zuge des Beschwerdeverfahrens vorgelegten Prognoserechnungen nunmehr obsolet seien, verneinte der steuerliche Vertreter und wies diesbezüglich darauf hin, dass sich bei einer Gesamtbetrachtung diesbezüglich eine Plausibilität ergebe und dass die nunmehr erstellten Berechnungen sozusagen eine Begründung für den Durchschnittswert der bisherigen Prognoserechnungen darstellten.
Im oben angesprochenen Aktenkonvolut befindet sich u.a. ein Schreiben der gerichtlich beeideten Sachverständigen Dr. A indem diese ausführt, dass für das gegenständliche Objekt € 9,00 bis € 10,00 bei der Erstvermietung 2007 erzielbar gewesen seien.
In diesem Aktenkonvolut befindet sich weiters ein Mietspiegel Hinterbrühl - 8/2022, sowie eine Liste der mietrechtlichen Richtwerte ab dem 1.4.2003.
Die FA-Vertretung gab hinsichtlich des im vorletzten Absatz erwähnten Schreibens an, dass die dort ebenalls aufscheinenden Mietpreise von € 12 bzw. € 14,00 bis € 16,00 in den Berechnungen nicht zum Ansatz gebracht worden seien.
Der steuerliche Vertreter entgegnete, dass sich aufgrund der in diesen Tabellen vorgenommenen Valorisierungen, beispielsweise im Jahr 2010, eine Miete von € 10,00 und im Jahr 2023 eine Miete von € 14,00 ergebe.
Über Vorhalt des Richters, wonach in den Mietverträgen nur eine eingeschränkte Benutzung des Hofes festgeschrieben sei, gab der steuerliche Vertreter an, dass dieser Umstand aufgrund der nunmehr vorgelegten Berechnungen nicht weiter beachtlich sei.
Über Vorhalt des Richters, wonach hinsichtlich der jährlichen AfA vom Gebäudewert teilweise von 1,5%, teilweise von 2% bzw. teilweise von einer Restnutzungsdauer von 67 Jahren die Rede gewesen sei, gab der steuerliche Vertreter an, dass die AfA im Ausmaß von 2% vorgenommen werde bzw. jährlich € 6.482,00 betrage und dass dieser Betrag den in Rede stehenden Prognoserechnungen zugrunde gelegt worden sei und zugrunde zu legen ist.
Die weitere Frage des Richters, gestellt unter Bezugnahme auf ein Schreibens der vormaligen Vertreterin der Bf. vom 31.8.2011, wie hoch die vom Land NÖ bereitgestellten Förderungen hinsichtlich der Totalsanierung des gegenständlichen Objektes gewesen seien, beantwortete der steuerliche Vertreter damit, dass er dies nicht wisse. Dies gehe auch nicht aus den vorgelegten Erklärungen der Jahre 2003 bis 2015 hervor.
Über Vorhalt des Richters, wonach in der Beschwerde ausgeführt worden sei, dass die vom Finanzamt zur Anwendung gebrachten laufenden Kosten in Höhe von € 8.040,00 völlig überzogen seien und wonach der Umstand, dass diesbezüglich völlig überzogene Kosten vorlägen, mit den erklärten übrigen Werbungskosten laut Erklärungen in Höhe von rund € 14.000,00 (2016), 11.000 (2017), 13600 (2019) und 14.500 (2020) im Widerspruch stünden, gab der Vertreter der Bf. bekannt, dass die zuletzt angeführten Beträge nicht nur das beschwerdegegenständliche Objekt in der Straße in Ort betreffe, sondern auch die Liegenschaft in Ort2 sowie die Betriebskosten.
Anhand der Überschussrechnung des Jahres 2017 bzw. des Jahres 2018 stellte der Richter fest, dass die in der nunmehrigen Prognoserechnung zum Ansatz gebrachten übrigen Werbungskosten bzw. sonstigen Werbungskosten von € 6.362,00 im Jahr 2017 und 4.338,00 im Jahr 2018 den Tatsachen entsprechen.
Der steuerliche Vertreter gab diesbezüglich weiters an, dass sonstige Kosten üblicherweise 8% der Einnahmen beträgen.
Auf Seite 3 des oben angesprochenen Konvolutes fänden sich die Mieteinnahmen und die Betriebskosten der Jahre 2016 bis 2021, beispielsweise hätten im Jahre 2016 die Mieten zu 10% € 32.191,00 und jene zu 20% 7.599,00 betragen. Dabei handelte es sich um die Nettomieten ohne Betriebskosten. Die Bruttomieten dieses Jahres beträgen € 43.932,08. Dieser Betrag sei auch zur Einkommensteuer erklärt worden.
Über Befragen des Richters, aus welchem Grund der steuerliche Vertreter sämtliche Zehntel und 15tel-Absetzungen als auf Herstellungsaufwendungen zurück zu führende Aufwendungen ansehe, gab der steuerliche Vertreter an, dass es sich gegenständlich um eine Totalsanierung gehandelt habe und aus Gründen der Einheitlichkeit sämtliche Sanierungsaufwendungen Herstellungsaufwendungen dargestellt hätten. Mauerversetzungen und Kategorieanhebungen stellten immer Herstellungsaufwendungen dar. Kategorieanhebungen führten ebenfalls zu Herstellungskosten.
Im das o.e. Aktenkonvolut betreffenden Begleitschreiben, datiert mit dem 19.9.2022, führte der steuerliche Vertreter der Bf. einleitend aus, dass die vorgelegte Rentabilitätsberechnung ür die Verhandlung vor dem BFG zur Sicherzeit bis zum Jahr 2030 (Ablauf der 25 Jahre) ergänzt werde und dass eine Berechnung verschiedener Varianten erfolge, um die Plausibilität der vorgelegten Berechnungen zu untermauern.
Es folgende Berechnungen seien erstellt worden:
1. Berechnung des tatsächlichen Ergebnisses ohne Kürzung um den halben Anteil der auf den Miteigentümer Mag. Miteigentümer1 entfiele; mit Umrechnung des Herstellungsaufwandes und Ansatz der Mietdifferenz ergäbe dies einen Gesamtüberschuss von 378.400 €;
2. Berechnung mit Valorisierung der jährlichen Mieten um den VPI 2005 ergäbe einen Gesamtüberschuss von 333.440 €; mit Kürzung der Einnahmen um durchschnittlich 500 € und der Ausgaben um 15% ergäbe dies einen Gesamtüberschuss von 376.820 €;
3. Berechnung: es werde für 2007 die frei vereinbarte Miete mit 8,5 € angesetzt und mit dem VBI 2005 valorisiert; dies ergäbe Gesamtüberschuss von 292.930; mit Kürzung der Einnahmen um durchschnittlich 500 € und der Ausgaben um 15% ergäbe dies einen Gesamtüberschuss von 336.300;
4. Berechnung: es werde für 2007 die frei vereinbarte Miete mit 9 € angesetzt und mit dem VPI 2005 valorisiert; dies ergäbe Gesamtüberschuss von 364.100; mit Kürzung der Einnahmen um durchschnittlich 500 € und der Ausgaben um 15% ergäbe dies einen Gesamtüberschuss von 407.500;
5. Berechnung: es werde für 2007 die frei vereinbarte Miete mit 9,5 € auf Grund des Schreibens der gerichtlich beeideten Sachverständigen Dr. A angesetzt und mit dem VPI 2005 valorisiert; dies ergäbe einen Gesamtüberschuss von 433.930 €; mit Kürzung der Einnahmen um durchschnittlich 500 € und der Ausgaben um 15% ergäbe dies einen Gesamtüberschuss von 477.308 €.
Berechnung der Mietendifferenz:
Der Unterschied zur fiktiven Marktmiete sei in der Beschwerde mit durchschnittlich 14.879 angenommen worden.
Die Richtwertmieten der fremd vermieteten Wohnungen beträgen nach der gesetzlichen Erhöhung der Richtwertmieten im Jänner 2022 2.106 € (3245,24-1139,35) für 257,28 m2 (367,83-110,55) daher nur 8,19 € (2.106/257,28).
Differenz 2022:
Der Mietpreisspiegel für Hinterbrühl (ab 2016) zeige ohne Gartenmitbenützung eine durchschnittliche Miete von 11,92 bis 12,37 € aus. Dies wären daher für 2022 eine Differenz von 12,37-8,19=4,18. Dies wäre allein für das Jahr 2022 eine jährliche Mietendifferenz für die fremd vermieteten Teile sowie für die halbe Wohnung bf von 14.327€ (4,18*257,28*12 +2,37*50*12).
Differenz 2017:
Tatsächliche Miete 3.135-1.100 bf ergäbe 2.035, durchschnittlich 7,91 (2.035/257,28). Dies wäre daher für 2017 eine Differenz von 12,56-7,91= 4,65. Dies wäre für das Jahr 2017eine jährliche Mietendifferenz für die fremd vermieteten Teile sowie für die halbe Wohnung bf von 15.892 € (4,65*257,28*12+2,56*50*12).
Differenz 2012:
Tatsächliche Miete 31347/12= 2.612-1.000 bf ergäbe 1.612, durchschnittlich 6,27 (1.612/257,28). Dies wäre daher für 2012 eine Differenz von 11,00-6,27= 4,73. Dies wäre für das Jahr 2012 eine jährliche Mietendifferenz für die fremd vermieteten Teile sowie für die halbe Wohnung bf von 15.203 € (4,73*257,28*12+1*50*12).
Auf Grund der Vermietung von Wohnungen in einer Villa mit Gartenbenützung seien auf jeden Fall 1,5 bis 2 € hinzuzurechnen. Damit wäre Differenz wie folgt zu berechnen:
Für das Jahr 2022 eine jährliche Mietendifferenz für die fremd vermieteten Teile sowie für die halbe Wohnung bf von 21.701 € (6,18*257,28*12+4,37*50*12).
Für das Jahr 2017 eine jährliche Mietendifferenz für die fremd vermieteten Teile sowie für die halbe Wohnung bf von 23.267 € (6,65*257,28*12+4,56*50*12).
Für das Jahr 2012 eine jährliche Mietendifferenz für die fremd vermieteten Teile sowie für die halbe Wohnung bf von 21.978 € (6,73*257,28*12+2*50*12).
In der Folge erstellte der steuerliche Vertreter die nachstehend dargestellten Berechnungen:
Mieteinnahmen und Betriebskosten ab 2016:
I. MEG bf Hinterbrühl Gesamtüberschussberechnung tatsächlich ohne BK ab 2019 ohne der Wohnung Ort2:
Berechnung für das Jahr 2030 mit tatsächlicher Richtwertmiete ohne Kürzung Miteigentümer: Der Herstellungsaufwand bis 2030 betrage 371.475.
Berechnung für das Jahr 2030 mit tatsächlicher Richtwertmiete und Kürzung:
Die Wohnung von Mag. bf umfasse 110,55 m2 und damit 30% (110,55/367,83%). Die Miete betrage durchschnittlich 1.000 €, daher würden die Einnahmen monatlich um 500 € gekürzt werden und die Kosten um 15%. Der Herstellungsaufwand bis 2030 betrage 371.475.
Berechnung für das Jahr 2030 mit fiktiver Marktmiete:
Die Differenz von 14.879 € werde für die Jahre ab 2006 angesetzt mit 25*14.879. Die Miete werde jährlich um 6.000 € gekürzt und die Kosten um 15%. Der Herstellungsaufwand bis 2030 betrage 371.475.
II. MEG bf Hinterbrühl Gesamtüberschussberechnung valorisiert mit VPI 2005:
Berechnung für das Jahr 2030 mit tatsächlicher Richtwertmiete ohne Kürzung Miteigentümer:
Der Herstellungsaufwand bis 2030 betrage 371.475.
Berechnung für das Jahr 2030 mit tatsächlicher Richtwertmiete und Kürzung:
Die Wohnung von Mag. bf umfasse 110,55 m2 und damit 30% (1 10,55/367,83%). Die Miete betrage durchschnittlich 1.000 €, daher würden die Einnahmen monatlich um 500 € gekürzt werden und die Kosten um 15%. Der Herstellungsaufwand bis 2030 betrage 371.475.
III. MEG bf Hinterbrühl Gesamtüberschussberechnung valorisiert mit VPI 2005:
Annahme ab 2007 zu Marktmieten von 8,5 € vermietet; Miete 367,83*8,5= 3126,56*12=37518,72.
Berechnung für das Jahr 2030 mit tatsächlicher Richtwertmiete ohne Kürzung Miteigentümer:
Der Herstellungsaufwand bis 2030 betrage 371.475.
Berechnung für das Jahr 2030 mit Valorisierung VPI 2000:
Die Miete werde jährlich um 6.000 € (durchschnittliche Selbstnutzung der 15%) gekürzt und die Kosten um 15%. Der Herstellungsaufwand bis 2030 betrage 371.475.
IV. MEG bf Hinterbrühl Gesamtüberschussberechnung valorisiert mit VPI 2005:
Annahme ab 2007 zu Marktmieten von 9 € vermietet; Miete 367,83*9= 3310,47*12=
39726.
Berechnung für das Jahr 2030 mit tatsächlicher Richtwertmiete ohne Kürzung Miteigentümer:
Der Herstellungsaufwand bis 2030 betrage 371.475.
Berechnung für das Jahr 2030 mit Valorisierung VPI 2000:
Die Miete wird jährlich um 6.000 € (durchschnittliche Selbstnutzung der 15%) gekürzt und die Kosten um 15%. Der Herstellungsaufwand bis 2030 beträgt 371.475.
V. MEG bf Hinterbrühl Gesamtüberschussberechnung valorisiert mit VPI 2005;
Annahme ab 2007 zu Marktmieten von 9.5 € vermietet; Miete 367,83*9,5= 3494,39*12= 41932,68
Berechnung für das Jahr 2030 mit tatsächlicher Richtwertmiete ohne Kürzung Miteigentümer:
Der Herstellungsaufwand bis 2030 beträgt 371.475.
Berechnung für das Jahr 2030 mit Valorisierung VPI 2000:
Die Miete werde jährlich um 6.000 € (durchschnittliche Selbstnutzung der 15%) gekürzt und die Kosten um 15%. Der Herstellungsaufwand bis 2030 beträgt 371.475.
Im o.a. Aktenkonvolut findet sich weiters ein von Dr. A an den steuerlichen Vertreter der Bf. gerichtetes Schreiben vom 19.9.2022 mit dem Betreff "Entwicklung der Mietpreise in guten Lagen Raum Ort", in dem diese ausführte, dass sich in der Gegend Ort, Hinterbrühl und Perchtoldsdorf in etwa ab dem Jahr 2003 die Preise der Immobilien, nicht nur was den Kauf/Verkauf betreffe, sondern auch die Vermietung anbelangt, stark erhöht hätten. Ab diesem Jahr, auch bedingt durch die Einführung des Euro und Generalsanierungen der Liegenschaften, aber auch aufgrund von spezielleren Immobilien wie etwa auf Wohnungen umgebaute Villen und kleinere Objekte im Luxusbereich habe sich der Mietpreis auf ca. 9 bis 10 Euro eingependelt. Sodann sei es stetig bergauf gegangen. 2010 sei der m2-Preis für die Vermietung derartiger Objekte bereits bei etwa 12 Euro gelegen. Nun seien es 14 bis 16 Euro (alles Nettomieten).
Die Verkaufspreise in dieser Gegend seien alleine letztes Jahr um ca. 30 % gestiegen.
Weiters finden sich im in Rede stehenden Aktenkonvolut eine Graphik, die von der Internetadresse https://immopreise.at/Preisentwicklung/Niederoesterreich/Moedling/Wohnung stammt. Aus dieser Graphik geht hervor, dass die aktuellen Immobilienpreise für Wohnungen in Ort in den Monaten 03/2022 bis 09/2022 knapp unter Euro 14/m2 betrugen.
In o.e. Aktenkonvolut findet sich weiters ein Mietspiegel für Hinterbrühl betreffend den Monat August 2022. Gemäß diesem lag der mittlere Mietpreis in Hinterbrühl in diesem Monat bei Euro 10,60/m2. Dort wird außerdem ausgeführt, dass die Miete für eine in Hinterbrühl gelegene Wohnung von 60m2 2022 Euro 11,03 beträgt.
Weiters wird in diesem Mietspiegel unter dem Titel "Mietpreise Vergleich im Jahr 2011 - 2022" ausgeführt, dass die Mietpreise in der Hinterbrühl für Mietwohnungen mit 60m2 im Jahre 2021 Euro 12,37, im Jahre 2020 Euro 12,07, im Jahre 2019 Euro 11,22, im Jahre 2018 Euro 10,65, im Jahre 2017 Euro 12,56, im Jahre 2016 Euro 11,92 sowie für 100m2 umfassende Mietwohnungen im Jahre 2021 Euro 9,81, im Jahre 2020 Euro 9,03, im Jahre 2019 Euro 10,00, im Jahre 2018 Euro 9,93, im Jahre 2017 Euro 9,49 und im Jahre 2016 Euro 9,78 betragen hätten.
Außerdem enthält das in Rede stehende Aktenkonvolut eine Liste der Richtwerte gem. § 2 RichtWG für Jahre 1994 bis 2022. Gemäß dieser betragen die Richtwerte für Niederösterreich zwischen 2003 Euro 4,43 und 2022 Euro 6,31.
Weiters wird angemerkt, dass die vom steuerlichen Vertreter dem Gericht übergebenen Überschussrechnungen der Jahre 2017, 2018, 2020 und 2021 aufscheinenden sonstigen Werbungskosten - sonstigen Aufwendungen - in dessen o.e. Gesamtüberschussrechnungen berücksichtigt wurden. Auf dessen diesbezüglich in der mündlichen Verhandlung erstellten Ausführungen wird an dieser Stelle verwiesen.
Abschließend wird angemerkt, dass vom Richter nach Durchführung der mündlichen Verhandlung hinsichtlich der von der Bf. ab dem Jahr 2006 für vor allem im Zusammenhang mit dem Einbau von Küchen geltend gemachten, o.e., "1/20 Instandsetzungsaufwendungen 2006 5.268,21" im Arbeitsbogen der BP angestellte Recherchen ergaben, dass der damaligen steuerlichen Vertreterin in Ansehung der Bezug habenden Aufwendungen - siehe die nachstehende Darstellung - ein Rechenfehler insofern unterlief, als diese jährlich nicht Euro 5.268,21 sondern korrekterweise Euro 1.317,05 (26.341,06:20) betragen.
Über die Beschwerde wurde erwogen:
Das Bundesfinanzgericht stellt auf Basis des geschilderten Verwaltungsgeschehens sowie der aktenkundigen Unterlagen folgenden entscheidungswesentlichen Sachverhalt fest:
Im beschwerdegegenständlichen Zeitraum waren an der Bf., einer Hausgemeinschaft, Mag. Miteigentümer1 sowie der zwischenzeitlich verstorbene Mag. Miteingentümber2 jeweils im Ausmaß von 50% beteiligt. Die Bf. vermietete ab dem Jahre 2003 die Liegenschaft ***2***, ***3*** Ort, ein dem Vollanwendungsbereich des MRG unterliegendes und fünf Wohnungen mit einer Gesamtnutzungsfläche von 367,83 m2 umfassendes Gebäude, das in diesem Jahr von den beiden Genannten im Erbrechtsweg erworben wurde.
Da sich das in Rede stehende Gebäude nach dessen Übernahme durch die Bf. in einem desolaten Zustand befand, erfolgte ab dem Jahr 2005 eine Totalsanierung, die teilweise mit Fördermitteln in unbekannter Höhe des Landes Niederösterreich bewerkstelligt wurde.
Im Rahmen dieser Sanierung entstanden der Bf. insgesamt Instandsetzungsaufwendungen iHv Euro 263.283, davon im Jahre 2005 solche iHv Euro 54.595, im Jahre 2006 solche iHv Euro 150.227, im Jahre 2007 solche iHv Euro 22.362 und im Jahre 2011 solche iHv Euro 36.099 für die sie in der Folge Zehntelabsetzungen gem. § 28 Abs 2 EStG 1988 geltend machte. Zusätzlich entstanden der Bf. dabei Herstellungsaufwendungen iHv insgesamt Euro 108.194, davon solche im Jahre 2006 iHv Euro 95.194 sowie solche iHv Euro 13.000 im Jahre 2011 für die sie in der Folge Fünfzehntelabsetzungen gem. § 28 Abs 3 EStG 1988 geltend machte. Hinsichtlich der diesbezüglich in den einzelnen Jahren erfolgten Abschreibungen wird auf die obige Darstellung der Bezug habenden und mit den Worten "MFG bf Hinterbrühl Aufstellung 1/10 und 1/15 lt Erklärungen Beilage 1" übertitelte Tabelle hingewiesen.
Im Jahre 2006 erfolgte im Zuge der Sanierungsaktivitäten außerdem der Einbau Möbeln - größtenteils von Küchenmöbeln - in zwei sanierten Wohnungen. Deren Anschaffungskosten betrugen insgesamt Euro 26.341,06. Dafür machte die Bf., beginnend mit dem Jahr 2006, jährliche und als "1/20 Herstellungsaufwand" bezeichnete Aufwendungen iHv Euro 5.268,21 geltend.
Betreffend der in Rede stehenden Sanierung ist schlussendlich anzumerken, dass in deren Zuge die sukzessive Absiedelung einiger Altmieter erfolgte, um in den frei werdenden Wohnungen Sanierungsarbeiten durchführen zu können.
Hinsichtlich der von der Bf. in den Jahren 2003 bis 2021 erzielten Mieteinnahmen wird auf die die obige Darstellung der mit den Worten "II. MEG bf Hinterbrühl Gesamtüberschussberechnung valorisiert mit VPI 2005" übertitelten Tabelle, soweit diese die Spalte "Miete" betrifft, hingewiesen. Dieser sind auch die in den genannten Jahren angefallenen sonstigen Ausgaben, Zinsen sowie die für das in Rede stehende Gebäude geltend gemachten AfA-Beträge, soweit diese das gegenständliche Gebäude betreffen, zu entnehmen.
Betreffend des Inhaltes der fünf im Zuge des Beschwerdeverfahrens vorgelegten Mietverträge wird auf die obigen diesbezüglichen Ausführungen verwiesen. Das von der Bf. im mit dem Miteigentümer - Mag. Miteigentümer1 - des gegenständlichen Gebäudes abgeschlossenen Mietvertrag vereinbarte Mietentgelt hält einem Fremdvergleich stand.
Der in der Ladung zur mündlichen Verhandlung ergangenen Aufforderung um Vorlage von Nachweisen hinsichtlich des von der Bf. in ihren Beschwerden zum Ansatz gebrachten Ausmaßes der erzielbaren fiktiven Marktmieten (Euro 10,50 bzw. Euro 12,00 pro m2) in der mündlichen Verhandlung kam diese insofern nach, als sie in dieser das o.e. Aktenkonvolut vorlegte. Auf die umfangreichen obigen, Bezug habenden Ausführungen wird verwiesen.
Hinsichtlich der Erlassung der Bescheide betreffend Nichtfeststellung der Einkünfte gem. § 188 BAO der Jahre 2005 bis 2012 vom 27.3.2017 wird auf die diesbezügliche Darstellung des Verwaltungsgeschehens verwiesen.
Beweiswürdigung:
Die Feststellung, wonach, die Höhe der vom Land Niederösterreich zwecks der gegenständlichen Sanierung bereitgestellten Fördermitteln nicht bekannt ist, ergibt sich einerseits daraus, dass im gesamten Akt kein diesbezüglicher Hinweis auf deren Gesamtsumme enthalten ist sowie andererseits aus den diesbezüglichen Ausführungen des steuerlichen Vertreters in der mündlichen Verhandlung, wonach er dies nicht wisse.
Die Feststellung, wonach der Bf. im Zuge der in Rede stehenden Sanierung Instandsetzungsaufwendungen iHv insgesamt Euro 263.283 sowie Herstellungsaufwendungen iHv insgesamt Euro 108.194 entstanden, ergibt sich bereits aus den von der Bf. im Zuge der Veranlagungen der Jahre 2005 bis 2015 vorgelegten Erklärungen, die das Finanzamt den o.e. und gemäß § 200 Abs 1 BAO vorläufig erlassenen Bescheiden über die Feststellung von Einkünften gem. § 188 BAO betreffend der Jahre 2005 bis 2015 zugrunde legte. Dementsprechend übertitelte der nunmehrige steuerliche Vertreter die in der Beschwerde diesbezüglich von ihm erstellte Tabelle mit den Worten "MFG bf Hinterbrühl Aufstellung 1/10 und 1/15 lt Erklärungen Beilage 1". Umstände, wonach die Erklärungen der Jahre 2005 bis 2015 nicht der Realität entsprochen hätten, sind aufgrund der Aktenlage nicht ersichtlich. Zudem erfolgte auch keine Vorlage derartiger Nachweise. Abschließend ist hinsichtlich des als erwiesen angenommenen Ausmaßes der Instandsetzungsaufwendungen und der Herstellungsaufwendungen darauf zu verweisen, dass deren Absetzung in Form von Zehntel- und Fünfzehntelbeträgen gemäß § 28 Abs 2 EStG 1988 bzw. gem. Abs 3 leg. cit. Bezug habende Anträge vorangehen.
Die Feststellung, wonach die Anschaffungskosten der gegenständlichen Küchen- und Möbeleinbauten insgesamt Euro 26.341,06 betrugen, ergibt sich aus den diesbezüglich im Arbeitsbogen der BP angestellten Recherchen. Das Ausmaß der in den o.e. Beiblättern zur Einkommensteuer Jahre 2006, 2009 und 2013 diesbezüglich angeführten jährlichen Instandsetzungsaufwendungen iHv Euro 5.268,21 entspricht nicht den Tatsachen. Dieses beträgt im Hinblick darauf, dass die von der damaligen steuerlichen Vertreterin der Bf. hinsichtlich dieser Möbel zum Ansatz gebrachten Nutzungsdauer von 20 Jahren den Erfahrungen des täglichen Lebens entspricht, korrekterweise jährlich Euro 1.317,05 (26.341,06:20). Auf das oben diesbezüglich Gesagte sowie auf die obige, Bezug habende, Darstellung wird an dieser Stelle verwiesen.
Die Feststellung, wonach der vom o.e. Miteigentümer an der Bf. mit dieser abgeschlossene Mietvertrag als zu fremdüblichen Bedingungen abgeschlossen zu beurteilen ist, ergibt sich bereits daraus, dass das in diesem vereinbarte Mietentgelt von rund Euro 8,00/m2 höher ist, als jenes, das in den anderen vier vorgelegten Mietverträgen - auf die obigen diesbezüglichen Ausführungen wird verwiesen - festgesetzt wurde. Diesbezüglich wird außerdem auf die unten im Rahmen der Liebhabereibeurteilung erstellten, Ausführungen hinsichtlich der am Markt erzielbaren Mieten verwiesen. Dazu kommt, dass die im von der Bf. mit dem o.e. Miteigentümer abgeschlossenen Vertrag festgeschriebenen Bedingungen jenen, die in den übrigen vier Mietverträgen vereinbart wurden, gleichen.
Im Übrigen ergibt sich der festgestellte Sachverhalt aus der unstrittigen Aktenlage sowie den als glaubhaft zu beurteilenden Ausführungen des steuerlichen Vertreters der Bf.
Vor diesem Hintergrund durfte das Bundesfinanzgericht die obigen Sachverhaltsfeststellungen gem. § 167 Abs 2 BAO als erwiesen annehmen.
Nach Feststellung des obigen Sachverhaltes hat das BFG über die vorliegende Beschwerde rechtlich erwogen:
1. Bescheide betreffend Aufhebung gem. § 299 BAO der vorläufigen Feststellungsbescheide gem. § 188 BAO betreffend der Jahre 2012 bis 2015 vom 2.6.2016, Bescheide betreffend Nichtfeststellung der Einkünfte gem. § 188 BAO vom 27.3.2017 soweit diese die Jahre 2013 bis 2015 betrifft sowie endgültige Bescheide betreffend Nichtfeststellung der Einkünfte gem. § 188 BAO betreffend der Jahre 2005 bis 2012 vom 31.7.2017
Rechtsgrundlagen/Allgemeines:
§ 2 Abs. 1 und 2 EStG 1988 lauten:
"(1) Der Einkommensteuer ist das Einkommen zugrunde zu legen, das der Steuerpflichtige innerhalb eines Kalenderjahres bezogen hat.
(2) Einkommen ist der Gesamtbetrag der Einkünfte aus den im Abs. 3 aufgezählten Einkunftsarten nach Ausgleich mit Verlusten, die sich aus den einzelnen Einkunftsarten ergeben, und nach Abzug der Sonderausgaben (§ 18) und außergewöhnlichen Belastungen (§§ 34 und 35) sowie der Freibeträge nach den §§ 104, 105 und 106a."
Gemäß § 2 Abs. 3 Z 6 EStG 1988 unterliegen der Einkommensteuer unter anderem Einkünfte aus Vermietung und Verpachtung gemäß § 28 EStG 1988.
Aus dem Begriff des Einkommens sowie der Umschreibung der Einkünfte als Gewinn bzw. Überschuss der Einnahmen über die Werbungskosten wird abgeleitet, dass nur eine Tätigkeit, die auf Dauer ein positives wirtschaftliches Gesamtergebnis erbringt, als Einkunftsquelle in Betracht kommt. Das Gesetz sieht eine menschliche Betätigung nur dann als Einkunftsquelle an, wenn sie mit einem Streben nach einem Reinertrag verbunden und nach den Verhältnissen des einzelnen Falles geeignet ist, auf Dauer nachhaltig einen Gewinn oder einen Überschuss der Einnahmen über die Werbungskosten abzuwerfen (VwGH 03.07.1996, 93/13/0171). Ist dies nicht der Fall, ist die Betätigung als Liebhaberei im steuerrechtlichen Sinne anzusehen.
Die Frage der Liebhaberei ist nach der Liebhabereiverordnung (LVO, BGBl. II 33/1993 idF BGBl. II 358/1997 und BGBl. II 15/1999) zu beurteilen.
Gemäß § 1 Abs. 1 LVO liegen Einkünfte vor bei einer Betätigung (einer Tätigkeit oder einem Rechtsverhältnis), die
- durch die Absicht veranlasst ist, einen Gesamtgewinn oder einen Gesamtüberschuss der Einnahmen über die Werbungskosten (§ 3) zu erzielen, und
- nicht unter Abs. 2 fällt.
Voraussetzung ist, dass die Absicht anhand objektiver Umstände (§ 2 Abs. 1 und 3) nachvollziehbar ist. Das Vorliegen einer derartigen Absicht ist für jede organisatorisch in sich geschlossene und mit einer gewissen Selbständigkeit ausgestattete Einheit gesondert zu beurteilen.
Nach dieser Bestimmung ist also das Vorliegen von Einkünften zu vermuten bei einer Betätigung, die durch die Absicht veranlasst ist, einen Gesamtgewinn oder einen Gesamtüberschuss der Einnahmen über die Werbungskosten (§ 3) zu erzielen, und nicht unter Abs. 2 fällt. Die Vermutung kann widerlegt werden, wenn die Absicht nicht anhand objektiver Umstände (§ 2 Abs. 1 und 3) nachvollziehbar ist.
§ 1 Abs. 2 LVO behandelt die Annahme von Liebhaberei bei Betätigungen mit besonderem Bezug zur Lebensführung.
§ 2 LVO legt in Abs. 1 für die durch § 1 Abs. 1 LVO erfassten Betätigungen mit Einkunftsquellenvermutung Kriterien fest, an Hand welcher das Vorliegen einer Absicht im Sinne des § 1 Abs. 1 zu prüfen ist. Abs. 2 sieht für diese Betätigungen einen dort näher definierten Anlaufzeitraum vor.
Für unter § 1 Abs. 1 LVO fallende entgeltliche Gebäudeüberlassungen (sog. "große Vermietungen") sieht § 2 Abs. 3 LVO einen anderen Modus zur Feststellung der Gewinnerzielungsabsicht vor:
"Abs. 2 gilt nicht für Betätigungen im Zusammenhang mit der entgeltlichen Überlassung von Gebäuden. Das Vorliegen einer Absicht im Sinn des § 1 Abs. 1 ist in diesem Fall nach dem Verhältnis des Zeitraumes, innerhalb dessen ein Gesamtgewinn oder Gesamtüberschuss geplant ist, zu einem absehbaren Zeitraum zu beurteilen. Als absehbarer Zeitraum gilt ein Zeitraum von 25 Jahren ab Beginn der entgeltlichen Überlassung, höchstens 28 Jahren ab dem erstmaligen Anfallen von Aufwendungen (Ausgaben)."
Aus dieser Bestimmung ist nach ständiger Rechtsprechung des Verwaltungsgerichtshofes abzuleiten, dass die Vermietung eines Gebäudes dann als Liebhaberei zu qualifizieren ist, wenn nach der konkret ausgeübten Art der Vermietung ein Gesamtgewinn bzw. Gesamt-Einnahmenüberschuss innerhalb eines absehbaren Zeitraumes nicht erzielbar ist (VwGH 24.10.2013, 2011/15/0182; VwGH 22.03.2010, 2010/15/0036). Beginnt der Steuerpflichtige mit der Vermietung eines Gebäudes und führt dies zum Entstehen von Jahresverlusten, erfolgt sohin die Prüfung, ob Liebhaberei vorliegt, nicht anhand einer Kriterienprüfung nach § 2 Abs. 1 LVO. Bei einer solchen Vermietung (in Form der sog. "großen Vermietung" nach § 1 Abs. 1 LVO) kommt es ausschließlich darauf an, ob die Betätigung (in der konkret gewählten Bewirtschaftungsart) geeignet ist, innerhalb des absehbaren Zeitraumes einen Gesamtgewinn bzw. Gesamt-Einnahmenüberschuss zu erwirtschaften (VwGH 24.10.2013, 2011/15/0182; VwGH 15.09.2011, 2011/15/0117; VwGH 29.03.2017, Ra 2015/15/0042).
Zum Zwecke der Beurteilung der Ertragsfähigkeit einer Gebäudevermietung innerhalb dieses absehbaren Zeitraumes ist eine Prognose anzustellen. Es obliegt dem Vermieter, der Abgabenbehörde mittels einer Planung iSd § 2 Abs. 3 LVO objektiv nachvollziehbar zu vermitteln, dass seiner Vermietungstätigkeit eine Einnahmenüberschusserzielungsabsicht zugrunde liegt. § 2 Abs. 3 LVO schränkt damit im Ergebnis die für den Bereich des § 1 Abs. 1 LVO grundsätzlich geltende Einkunftsquellenvermutung ein und bürdet dem Vermieter eine Nachweispflicht auf (BFG 06.03.2015, RV/2100702/2006, unter Verweis auf VwGH 06.07.2006, 2002/15/0170). Gegenstand der Prognose sind nicht Wunschvorstellungen der Vermieter, sondern wirtschaftliche Ergebnisse, die bei der gegebenen Bewirtschaftungsart realistischerweise erzielbar sind (VwGH 25.11.2013, 2011/15/0182; VwGH 29.03.2017, Ra 2015/15/0042).
Die Prognose muss mit ihren Sachverhaltsannahmen ausreichend gesichert sein (VwGH 28.06.2006, 2002/13/0036; VwGH 24.05.2012, 2009/15/0075). Außerdem darf eine Prognoserechnung, aus der auf die Ertragsfähigkeit einer Vermietung geschlossen werden soll, nicht von den zu Beginn der Vermietung tatsächlich bestehenden Verhältnissen losgelöst sein (VwGH 28.02.2012, 2009/15/0192). Bei Beurteilung der konkreten Art der Bewirtschaftung und der Erstellung der Prognose ist auf die tatsächlichen Umstände Bedacht zu nehmen, die sich in einem Beobachtungszeitraum eingestellt haben (VwGH 23.11.2004, 2002/15/0024). Selbst ein die Prognose bestätigendes Gutachten kann nicht die Ertragsfähigkeit der Vermietung in der vom Steuerpflichtigen konkret ausgeübten Art der Bewirtschaftung belegen, wenn es nicht bei den tatsächlich zu Beginn der Vermietung bestehenden Verhältnissen seinen Ausgangspunkt nimmt (VwGH 30.10.2003, 2003/15/0028). Der Beobachtungszeitraum dient der Gewinnung von Erkenntnissen über die konkret gewählte Bewirtschaftungsart. Die Richtigkeit der - auf den Zeitpunkt des Beginnes der Betätigung erstellten - Prognose ist im Hinblick auf die sich in diesem Zeitraum tatsächlich einstellenden Umstände zu prüfen (VwGH 21.09.2005, 2011/13/0278; VwGH 24.10.2013, 2011/15/0182; VwGH 29.03.2017, Ra 2015/15/0042). Das bedeutet, dass das Zurückbleiben der tatsächlichen Einnahmen wie auch das Auftreten höherer Werbungskosten, als sie in der Prognose angesetzt sind, im Rahmen der Entscheidung über die Frage des Vorliegens von Liebhaberei zu beachten ist (VwGH 19.03.2013, 2010/15/0106; VwGH 24.03.1998, 93/14/0028).
Bei einem Mietobjekt mit gesetzlichen Mietzinsbeschränkungen wie Kategoriemietzins und Richtwertmietzins sind nach der Rechtsprechung des Verwaltungsgerichtshofes fiktive marktkonforme Mieten zu unterstellen. Mit Erkenntnis vom 9.12.1992, 92/13/0077, sprach der VwGH aus, dass die Beurteilung eines Hausbesitzes als Liebhaberei nicht dadurch beeinflusst werden dürfe, dass die Ertragslage durch preisrechtliche Zwangsvorschriften auf dem Wohnungssektor hervorgerufen worden sei. Die Prognose über die Erzielung eines wirtschaftlichen Gesamterfolges sie unter Heranziehung fiktiver marktkonformer Mieten zu erstellen, wobei davon auszugehen sei, dass der Steuerpflichtige den durch preisrechtliche Zwangsvorschriften vorgegebenen Rahmen im Wesentlichen ausschöpft.
Begünstigter Herstellungsaufwand (Zehntel- bis Fünfzehntelabschreibungen gemäß § 28 Abs. 3 EStG 1988) ist gemäß § 16 Abs. 1 Z 8 EStG 1988 auf eine "Normal-AfA" umzustellen (Doralt/Kirchmayr/Mayr/Zorn, EStG, Liebhabereiverordnung Rz 398f; VwGH 22.01.1985, 84/14/0048; 26.06.1990, 89/14/0294). Eine solche Umrechnung ist hingegen nicht bezüglich der von der Bf. laut den Erklärungen laufend getätigten Zehntelabschreibungen gemäß § 28 Abs. 2 EStG 1988 vorzunehmen, da diese keinen Herstellungsaufwand betreffen (UFS 16.10.2008, RV/0461-I/05; 17.11.2011, RV/0128-L/07). Bei nicht regelmäßig anfallenden Instandhaltungs- bzw. Instandsetzungsaufwendungen im Sinne des § 28 Abs. 2 erster Satz EStG 1988 findet demgemäß keine Umlegung auf eine "Normal-AfA" statt, sondern der Ansatz erfolgt wie bei der steuerlichen Überschussermittlung mittels Geltendmachung im Kalenderjahr der Verausgabung oder Verteilung auf zehn Jahre (VwGH 22.01.1985, 84/14/0048; 26.06.1990, 89/14/0295; UFS 12.07.2005, RV/0164-K/04; 16.10.2008, RV/0461-I/05; Rauscher/Grübler2, Rz 525 f).
Wertsicherungsklauseln sind einnahmenseitig bei der Prognose zu berücksichtigen sind, wenn sie in bestehenden Mietverträgen auch tatsächlich vereinbart sind (Rauscher/Grübler2, Rz 264).
Die Vermietung von Zinshäusern ist nach einhelliger Lehre und Rechtsprechung dem Bereich des § 1 Abs. 1 LVO ("große Vermietung") zuzuordnen (BFG 06.03.2015, RV/2100702/2006). Auch gegenständlich liegt unbestritten eine Vermietung gemäß § 1 Abs. 1 LVO vor und wird dies auch von keiner der beiden Verfahrensparteien angezweifelt.
Bei einer "großen Vermietung" hat die Liebhabereibeurteilung nach ständiger Rechtsprechung des Verwaltungsgerichtshofes - Näheres siehe oben - ausschließlich danach zu erfolgen, ob aus der in der konkret gewählten Bewirtschaftungsart betriebenen Betätigung innerhalb eines absehbaren Zeitraumes ein Gesamteinnahmenüberschuss erwirtschaftet werden kann.
Erlässe oder Richtlinien des Bundesministers für Finanzen bilden keine für das Bundesfinanzgericht maßgebende Rechtsquelle (vgl. zB VwGH vom 22.4.2009, 2007/15/0143, mwN).
Gemäß § 200 Abs. 1 BAO kann die Abgabenbehörde die Abgabe vorläufig festsetzen, wenn nach den Ergebnissen des Ermittlungsverfahrens die Abgabepflicht zwar noch ungewiss, aber wahrscheinlich oder wenn der Umfang der Abgabepflicht noch ungewiss ist. Die Ersetzung eines vorläufigen Bescheides durch einen vorläufigen Bescheid ist im Falle der teilweisen Beseitigung der Ungewissheit zulässig.
Nach § 200 Abs. 2 BAO ist bei Beseitigung der Ungewissheit eine vorläufige Abgabenfestsetzung durch eine endgültige Abgabenfestsetzung zu ersetzen. Gibt die Beseitigung der Ungewissheit zu einer Berichtigung der vorläufigen Festsetzung keinen Anlass, so ist ein Bescheid zu erlassen, der den vorläufigen Bescheid zum endgültigen erklärt.
In Ansehung des als erwiesen festgestellten Sachverhaltes sowie der vorstehenden Ausführungen ist die Frage, ob hinsichtlich der gegenständlichen Vermietungstätigkeit Liebhaberei vorliegt oder nicht wie folgt zu beurteilen:
Einnahmenseitig ist hinsichtlich der Jahre 2003 bis 2006 davon auszugehen, dass in Anbetracht der in diesen Jahren erfolgten sukzessiven Absiedelungen der Altmieter sowie den in diesen durchgeführten äußerst umfangreichen Sanierungstätigkeiten keine höheren Mieten als jene, die von der Bf. in diesem Zeitraum tatsächlich vereinbart wurden, erzielbar waren. Aus diesem Grund ist betreffend dieser Jahre auch kein Leerstehungsrisiko zu berücksichtigen. Dass dieser Zeitraum in Ansehung des Umstandes, dass der Vermietungsbeginn gegenständlich im Jahre 2003 erfolgte, in der anzustellenden Prognoserechnung zum Ansatz zu bringen ist, ergibt sich aus der Bestimmung des § 2 Abs 3 LVO.
Was die Einnahmen der Jahre 2007 bis 2027 betrifft, ist von den von der Bf. in der mündlichen Verhandlung vorgelegten, valorisierten, Gesamtüberschussrechungen auszugehen. Dies deshalb, da in diesen dem Gebot, wonach Wertsicherungsklauseln einnahmenseitig bei der Prognose zu berücksichtigen sind, wenn sie in bestehenden Mietverträgen auch tatsächlich vereinbart sind - dass dies gegenständlich der Fall ist, wurde oben ausgeführt - Rechnung getragen wurde. Die dort zum Ansatz gebrachten Marktmieten im Ausmaß von Euro 8,50/m2, Euro 9,00/m2 sowie Euro 9,50/m2 und die sich daraus ergebenden jährlich am Markt erzielbaren Mieteinnahmen iHv Euro 37.518 bzw. Euro 39.730 bzw. Euro 41.900 sieht das BFG bereits im Hinblick darauf, dass sich das in Rede stehende Mietobjekt in einer Grünruhelage, die in einer ausgezeichneten Wohngegend gelegen ist, befindet sowie im Hinblick auf den Inhalt des o.e. Schreibens von Dr. A als im Jahre 2007 realistisch erzielbar gewesen an.
Dass diese Gesamtüberschussrechungen durchaus den realen Gegebenheiten entsprechen, geht auch aus den beiden nachstehenden Berechnungen hervor:
W.o. ausgeführt, betrugen die Mietpreise laut Mietspiegel in der Hinterbrühl für Mietwohnungen mit 60m2 im Jahr 2016 Euro 11,92 und im Jahr 2021 Euro 12,37 und für Mietwohnungen mit 100m2 im Jahr 2016 Euro 9,78 und im Jahr 2021 Euro 9,81. eine Wohnung im gegenständlichen Mietobjekt umfassen 110,55m2, die Größe der übrigen Wohnungen beträgt zwischen 38,43 m2 und 76,13 m2. Die Fläche sämtlicher vermieteter Wohnungen beträgt 367,83 m2. Unter Ansatz dieser Parameter ergeben sich in den Jahren 2016 und 2021 Mieteinnahmen in folgender Höhe:
2016: 257,28 (367,83 - 110,55) x 11,92 = 3.066,78 x 12 Monate = 36.801,33 + 110,55 x 9,78 = 1.081,18 x 12 Monate 12.974,15 ergibt eine Gesamtmiete von Euro 49.775,48.
2021: 257,28 (367,83 - 110,55) x 12,37 = 3.182,55 x 12 Monate = 38.190,64 + 110,55 x 9,81 = 1.084,50 x 12 Monate 13.013,95 ergibt eine Gesamtmiete von Euro 51.204,59.
In den o.e. Gesamtüberschussberechungen scheinen folgende Marktmieten auf:
2016: Euro 45.884 bei einer Miete von 8,50/m2, 48.590 bei einer Miete von 9,00/m2 sowie 51.244 bei einer Miete von 9,50/m2
2021: Euro 50.574 bei einer Miete von 8,50/m2, 53.556 bei einer Miete von 9,00/m2 sowie 56.481 bei einer Miete von 9,50/m2
Ein Vergleich der erzielbaren Mieten laut Mietenspiegel mit jenen, die in den volorisierten Gesamtüberschussrechnungen ermittelt wurden ergibt, dass diese die Marktpreise widerspiegeln und somit bei der unten anzustellenden Prognoserechnung heranzuziehen sind.
Schlussendlich wird diesbezüglich auf den Umstand, dass die ehemalige steuerliche Vertreterin ab dem Jahre 2006 von am freien Markt erzielbaren Mieten iHv Euro 39.936 ohne Berücksichtigung von Leerstehungen sowie von solchen iHv Euro 37.939,20 unter Berücksichtigung von Leerstehungen - auf die obige diesbezügliche Darstellung wird verwiesen - ausging, verwiesen
Da die tatsächlich erzielten Mieteinnahmen in den einzelnen Jahren teilweise erhebliche Unterschiede aufwiesen, sind valorisierten Gesamtüberschussrechungen, was die Jahre 2007 bis 2027 betrifft, um Leerstehungseinbußen im Ausmaß von 5% zu korrigieren. Darauf, dass das Leerstehungsrisiko in der Beschwerde ebenfalls mit diesem zum Ansatz gebracht wurde, wird an dieser Stelle hingewiesen.
In Ansehung des vorstehend Gesagten sind in der zu erstellenden Prognoserechnung, ausgehend von den gegenständlichen vaolorisierten Gesamtüberschussrechnungen, Einnahmen in folgender Höhe in Ansatz zu bringen:
Summe der Einnahmen laut der o.e. valorisierten Gesamtüberschussrechungen betreffend der Jahre 2003 bis 2006: Euro 59.124
Summe der Einnahmen laut der o.e. valorisierten Gesamtüberschussrechungen betreffend der Jahre 2007 bis 2027:
bei Ansatz einer Marktmiete von Euro 8,50/m2: Euro 1,018.042 - Euro 50.902,10 (5% Leerstehung) = Euro 967.139,90
bei Ansatz einer Marktmiete von Euro 9,00/m2: Euro 1,078.072 - Euro 53.903,60 (5% Leerstehung) = Euro 1,024.168,40
bei Ansatz einer Marktmiete von Euro 9,50/m2: Euro 1,136.956 - Euro 56.847,80 (5% Leerstehung) = Euro 1,080.108,20
Einnahmen bei Ansatz einer Marktmiete von Euro 8,50/m2 gesamt: Euro 59.124 + Euro 967.139,90 ergibt: Euro 1.026.263,90
Einnahmen bei Ansatz einer Marktmiete von Euro 9,00/m2 gesamt: Euro 59.124 + Euro 1,024.168,40 ergibt: Euro 1.083.292,40
Einnahmen bei Ansatz einer Marktmiete von Euro 9,50/m2 gesamt: Euro 59.124 + Euro 1,080.108,20 ergibt: Euro 1.139.232,20
Ausgabenseitig ist in der zu erstellenden Prognoserechnung, soweit dies die sonstigen Aufwendungen, die Zinsen sowie die AfA für das in Rede stehende Gebäude betrifft, wiederum von den o.e. valorisierten Gesamtüberschussrechungen auszugehen. Hinsichtlich der die gegenständlichen Küchen- und Möbeleinbauten betreffenden AfA sind Anschaffungskosten iHv Euro 26.341,06 - auf die obigen diesbezüglichen Ausführungen wird verwiesen - zum Ansatz zu bringen. Die gegenständlichen Instandsetzungsaufwendungen im Sinne des § 28 Abs. 2 erster Satz EStG 1988 sind gemäß den Überschussermittlungen der Bf. zum Ansatz zu bringen. Diesbezüglich wird auf die im Zuge der Beschwerde in Beilage 1 erstellte und mit den Worten "MFG bf Hinterbrühl Aufstellung 1/10 und 1/15 lt Erklärungen Beilage 1" übertitelte Tabelle sowie auf die obigen, Bezug habenden, rechtlichen Ausführungen verwiesen. Hinsichtlich der den Jahren 2006 und 2013 angefallenen Herstellungsaufwendungen iHv Euro 95.194 sowie iHv Euro 13.000 hat - Näheres siehe wiederum oben - eine Umrechnung auf die "Normal-AfA" zu erfolgen.
Somit sind im Rahmen der Prognoserechnung Aufwendungen in folgender Höhe zu berücksichtigen:
Sonstige Aufwendungen: Euro 398.076
Zinsen: Euro 146.150
AfA Gebäude: 25 x 6.482 = Euro 162.050
AfA Küchen- und Möbeleinbauten 20 x 1.317,05 = Euro 26.341
Instandsetzungsaufwendungen: 54.595 + 150.227 +22.362 + 36.099 = Euro 263.283
Herstellungsaufwendungen: 1.903.88 x 22 = Euro 41.885,36 sowie 260 x 17 =Euro 4.420
Zu berücksichtigende Aufwendungen insgesamt: 398.076 + 146.150 + 162.050 + 26.341 + 263.283 + 41.885,36 + 4.420 = Euro 1,042.205,36
Ergebnis:
Die nach Maßgabe der obzitierten Judikatur sowie des obzitierten Schrifttums zu erstellende Prognoserechnung ergibt bei Ansatz einer Marktmiete von Euro 8,50/m2 einen Gesamtverlust iHv Euro 15.941,46 (1,026.263,90 - 1,042.205,36), bei Ansatz einer solchen von Euro 9,00/m2 einen Gesamtüberschuss iHv Euro 41.087,04 (1.083.292,40 - 1,042.205,36) und bei Ansatz einer solchen iHv Euro 9,50/m2 einen Gesamtüberschuss von Euro 97.026,84 (1,139.232,20 - 1,042.205,36). Da, w.o. ausgeführt, jeder dieser Ansätze als realistisch erzielbar zu beurteilen ist, vermag das BFG in Ansehung der sich aus den Ausführungen des vorigen Satzes ergebenden eindeutigen Tendenz nicht zu erkennen, dass die gegenständliche Vermietungstätigkeit in der in den Jahren 2005 bis 2015 konkret gewählten Bewirtschaftungsart nicht geeignet war, innerhalb eines absehbaren Zeitraumes von 25 Jahren einen Gesamteinnahmenüberschuss abzuwerfen. Somit ist gegenständlich nicht vom Vorliegen von Liebhaberei auszugehen.
Damit ist die Ungewissheit hinsichtlich des Bestehens- oder des Nichtbestehens der Abgabepflicht im vorliegenden Fall beseitigt und die vorläufige Abgabefestsetzung durch eine endgültige zu ersetzen.
Da die jährliche AfA für die o.e. Küchen- und Möbeleinbauten korrekterweise Euro 1.317,05 beträgt - auf die obigen, Bezug habenden Ausführungen wird verwiesen - sind die in den Jahren 2006 bis 2015 diesbezüglich erklärten Beträge von jeweils Euro 5.268,21 entsprechend zu berichtigen und wie folgt zu berechnen:
2006: Einkünfte lt. Bescheid - 130.327,05 + 3.951,16 ergibt Einkünfte aus Vermietung und Verpachtung iHv Euro - 126.375,89
2007: Einkünfte lt. Bescheid - 57.259,19 + 3.951,16 ergibt Einkünfte aus Vermietung und Verpachtung iHv Euro - 53.308,03
2008: Einkünfte lt. Bescheid - 38.288,20 + 3.951,16 ergibt Einkünfte aus Vermietung und Verpachtung iHv Euro - 34.337,04
2009: Einkünfte lt. Bescheid - 32.081,19 + 3.951,16 ergibt Einkünfte aus Vermietung und Verpachtung iHv Euro - 28.130,03
2010: Einkünfte lt. Bescheid - 35.937,41 + 3.951,16 ergibt Einkünfte aus Vermietung und Verpachtung iHv Euro - 31.986,25
2011: Einkünfte lt. Bescheid - 38.041,85 + 3.951,16 ergibt Einkünfte aus Vermietung und Verpachtung iHv Euro - 34.090,69
2012: Einkünfte lt. Bescheid - 30.606,96 + 3.951,16 ergibt Einkünfte aus Vermietung und Verpachtung iHv Euro - 26.655,80
2013: Einkünfte lt. Bescheid - 25.888,04 + 3.951,16 ergibt Einkünfte aus Vermietung und Verpachtung iHv Euro - 21.936,88
2014: Einkünfte lt. Bescheid - 19.179,45 + 3.951,16 ergibt Einkünfte aus Vermietung und Verpachtung iHv Euro - 15.228,29
2015: Einkünfte lt. Bescheid - 21.370,53 + 3.951,16 ergibt Einkünfte aus Vermietung und Verpachtung iHv Euro - 17.419,37
Auf Grund des Umstandes, dass das von der Bf. mit dem Miteigentümer Mag. Miteigentümer1 abgeschlossene Mietverhältnis, w.o. ausgeführt, als fremdüblich zu beurteilen ist, vermag das BFG keinen Grund dafür zu erkennen, die Feststellungen gem. § 188 BAO entgegen dem tatsächlichen Ausmaß der beiden Miteigentumsanteile vorzunehmen. Daher, sowie im Hinblick darauf, dass Erlässe oder Richtlinien des Bundesministers für Finanzen für das BFG in rechtlicher Hinsicht nicht relevant sind, war der vom Finanzamt in den Stellungnahmen der beiden Vorlageberichte diesbezüglich angeregten anderslautenden Vorgangsweise - auf die obigen diesbezüglichen Ausführungen wird wiederum verwiesen - nicht nachzukommen.
2.) Bescheide betreffend Nichtfeststellung der Einkünfte gem. § 188 BAO vom 27.3.2017 hinsichtlich der Jahre 2005 bis 2012:
§ 261 Abs. 2 BAO lautet:
"Wird einer Bescheidbeschwerde gegen einen gemäß § 299 Abs. 1 oder § 300 Abs. 1 aufhebenden Bescheid oder gegen einen die Wiederaufnahme des Verfahrens bewilligenden oder verfügenden Bescheid (§ 307 Abs. 1) entsprochen, so ist eine gegen den den aufgehobenen Bescheid ersetzenden Bescheid (§ 299 Abs. 2 bzw. § 300 Abs. 3) oder eine gegen die Sachentscheidung (§ 307 Abs. 1) gerichtete Bescheidbeschwerde mit Beschwerdevorentscheidung (§ 262) oder mit Beschluss (§ 278) als gegenstandslos zu erklären."
Im vorliegenden Fall wurden die angefochtenen Aufhebungsbescheide vom 2.6.2016 mit Beschwerdevorentscheidung vom 10.4.2017 aufgehoben. Damit sind die Nichteststellungsbescheide aus dem Rechtsbestand ausgeschieden.
Zu Spruchpunkt II. (Revision)
Gegen ein Erkenntnis des Bundesfinanzgerichtes ist die Revision zulässig, wenn sie von der Lösung einer Rechtsfrage abhängt, der grundsätzliche Bedeutung zukommt, insbesondere weil das Erkenntnis von der Rechtsprechung des Verwaltungsgerichtshofes abweicht, eine solche Rechtsprechung fehlt oder die zu lösende Rechtsfrage in der bisherigen Rechtsprechung des Verwaltungsgerichtshofes nicht einheitlich beantwortet wird.
Im gegenständlichen Fall war primär zu beurteilen, ob die gegenständliche Vermietung geeignet ist einen Gesamtgewinn zu erzielen. Diese Frage ist eine Tatfrage, die in freier Beweiswürdigung zu lösen war. Soweit hier rechtliche Fragen angesprochen wurden, sind diese von Lehre und Rechtsprechung hinreichend geklärt. Rechtsfragen von grundsätzlicher Bedeutung waren nicht zu lösen. Für die Zulässigkeit der Revision besteht somit kein Anlass.
Es war daher spruchgemäß zu entscheiden.
Wien, am 12. Oktober 2022
Zusatzinformationen | |
|---|---|
Materie: | Steuer |
betroffene Normen: | § 1 Abs. 1 Liebhabereiverordnung, BGBl. Nr. 33/1993 |
