297. Verordnung der Finanzmarktaufsichtsbehörde (FMA) über die Rückstellung für Kapitalanlagerisiken bei der prämienbegünstigten Zukunftsvorsorge, die über die Kapitalanlagerisiken der Lebensversicherung hinausgehen (Prämienbegünstigte Zukunftsvorsorge-Zusatzrückstellungs-Verordnung - PZV-ZRV)
Auf Grund des § 152 Abs. 2 des Versicherungsaufsichtsgesetzes 2016 - VAG 2016, BGBl. I Nr. 34/2015, zuletzt geändert durch das Bundesgesetz BGBl. I Nr. 112/2015, wird verordnet:
Anwendungsbereich
§ 1. Für Verträge der prämienbegünstigten Zukunftsvorsorge gemäß den §§ 108g bis 108i des Einkommensteuergesetzes 1988 - EStG 1988, BGBl. Nr. 400/1988, in der Fassung des Bundesgesetzes BGBl. I Nr. 118/2015 (PZV), ist eine zusätzliche Rückstellung mindestens in der Höhe gemäß § 5 zu bilden, soweit die der prämienbegünstigten Zukunftsvorsorge zugeordneten Vermögenswerte einen nicht abgesicherten Aktienanteil beinhalten.
Begriffsbestimmungen
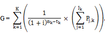
§ 2. (1) Die abgelaufene Vertragsdauer von Vertrag k bis zum aktuellen Bilanzstichtag, zu dem die in dieser Verordnung geregelten Berechnungen durchzuführen sind, wird mit tk bezeichnet.
(2) Die Mindestbindefrist des Vertrages k wird mit nk bezeichnet. Nach Ablauf der Mindestbindefrist und Weiterbestehen des Vertrages ist nk = tk + 1 zu setzen.
(3) Der Marktwert des gesamten Portfolios der prämienbegünstigten Zukunftsvorsorge zum Bilanzstichtag, zu dem die zusätzliche Rückstellung zu bilden ist, wird mit W bezeichnet.
(4) Der Marktwert des nicht abgesicherten Aktienanteils des gesamten Portfolios der prämienbegünstigten Zukunftsvorsorge zum Bilanzstichtag, zu dem die zusätzliche Rückstellung zu bilden ist, wird mit bezeichnet.
(5) Zur Bestimmung des Abzinsungsfaktors ist ein Zinssatz von maximal i = 1,75% zulässig.
(6) Die j-te Prämieneinzahlung bei Vertrag k wird mit Pj, k bezeichnet.
(7) Sigma bezeichnet die Jahres-Volatilität (in Prozent) eines anerkannten Aktien-Index jener Börse, an welcher der größte Anteil des Portfolios im Jahresdurchschnitt des Geschäftsjahres angelegt ist, zu dessen Ende die zusätzliche Rückstellung zu bilden ist. Für die Ermittlung des Jahresdurchschnitts sind die Zeitwerte der Vermögenswerte an den Monatsenden des Geschäftsjahres heranzuziehen.
Berechnung des maximalen Verlustes
§ 3. Der maximale Verlust L zum Bilanzstichtag ist das Minimum, also der kleinere Wert von und
Berechnung des Garantiebetrages
§ 4. (1) Der Garantiebetrag G zum Bilanzstichtag, zu dem die zusätzliche Rückstellung zu bilden ist, wird jeweils aus der abgezinsten Summe der bisherigen Prämieneinzahlungen ermittelt, wobei Jk die Anzahl der bisherigen Prämieneinzahlungen von Vertrag k und K die Gesamtanzahl der Verträge der prämienbegünstigten Zukunftsvorsorge angeben:
(2) Zusätzliche Garantiebeträge bzw. während der Laufzeit zugeteilte Gewinnanteile sind dem Garantiebetrag gemäß Abs. 1 hinzuzurechnen, wobei der Zeitpunkt des Entstehens des Anspruchs auf die jeweilige Leistung zu berücksichtigen ist.
Berechnung der zusätzlichen Rückstellung
§ 5. Der Mindestbetrag der zusätzlichen Rückstellung Vzus ergibt sich aus dem Maximum des Verlustes L gemäß § 3 zuzüglich des Garantiebetrags G gemäß § 4 abzüglich des Marktwertes des gesamten Portfolios W gemäß § 2 Abs. 3 und null:
Bedeckung der zusätzlichen Rückstellung
§ 6. Die zusätzliche Rückstellung gemäß § 5 ist im Deckungsstock gemäß § 300 Abs. 1 Z 1 VAG 2016 zu bedecken.
Inkrafttreten
§ 7. Diese Verordnung tritt mit 1. Jänner 2016 in Kraft.
Ettl Kumpfmüller
Lizenziert vom RIS (ris.bka.gv.at - CC BY 4.0 DEED)
