ANHANG I
GUNDLEGENDE ANFORDERUNGEN
A. Grundlegende Anforderungen in Bezug auf Entwurf und Bau der in § 2 Absatz 1 genannten Erzeugnisse
Erläuterungen:
B. Grundlegende Anforderungen in Bezug auf Abgasemissionen von Antriebsmotoren
Antriebsmotoren müssen den in diesem Teil angegebenen grundlegenden Anforderungen in Bezug auf Abgasemissionen genügen.
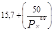
Dabei sind A, B und n Konstanten gemäß der Tabelle, PN ist die Motornennleistung in kW.
Die notifizierten Stellen können akzeptieren, dass die Prüfungen anhand anderer Prüfzyklen vorgenommen werden, soweit sie in einer harmonisierten Norm angegeben und für den Belastungszyklus des Motors anwendbar sind.
Der Bezugskraftstoff für die Abgasemissionsprüfung muss folgende Merkmale aufweisen:
Die notifizierten Stellen können Prüfungen akzeptieren, die auf der Grundlage anderer, in einer harmonisierten Norm angegebener Bezugskraftstoffe durchgeführt wurden.
C. Grundlegende Anforderungen in Bezug auf Geräuschemissionen
Anlage1
Sportboote mit Innenbordmotoren oder Motoren mit Z-Antrieb ohne integriertes Abgassystem, Wassermotorrad-Motoren und Außenbordmotoren und Motoren mit Z-Antrieb und integriertem Abgassystem müssen den in diesem Teil angegebenen grundlegenden Anforderungen in Bezug auf Geräuschemissionen genügen.
- 1. GERÄUSCHPEGEL
- 1.1. Sportboote mit Innenbordmotoren oder Motoren mit Z-Antrieb ohne integriertes Abgassystem, Wassermotorrad-Motoren und Außenbordmotoren und Motoren mit Z-Antrieb und integriertem Abgassystem sind so zu entwerfen, herzustellen und zu montieren, dass die Geräuschemissionen die in folgender Tabelle angeführten Grenzwerte nicht übersteigen.
Nennleistung (des einzelnen Motors) in kW | Maximaler Schalldruck- pegel = LpASmax in dB |
PN ≤ 10 | 67 |
10 < PN ≤ 40 | 72 |
PN > 40 | 75 |
Dabei entspricht PN der Nennleistung in kW eines einzelnen Motors bei Nenndrehzahl und LpASmax dem maximalen Schalldruckpegel in dB.
Für zwei- und mehrmotorige Aggregate aller Motortypen kann der Grenzwert um 3 dB erhöht werden.
- 1.2. Als Alternative zu Geräuschmessungen gelten bei Sportbooten mit Innenbordmotoren oder Motoren mit Z-Antrieb ohne integriertes Abgassystem die Geräuschanforderungen nach Z 1.1 auch dann als erfüllt, wenn diese eine Froude-Zahl ≤ 1,1 und ein Verhältnis Leistung/Verdrängung ≤ 40 aufweisen und der Motor und das Abgassystem nach den Vorgaben des Motorenherstellers eingebaut werden.
- 1.3. Die „Froude-Zahl“ Fn wird berechnet durch Division der Höchstgeschwindigkeit des Sportbootes V (m/s) durch das Produkt aus der Quadratwurzel der Wasserlinienlänge lwl (m) und einer gegebenen Konstante der Schwerebeschleunigung (g = 9,8 m/s2).
Das „Verhältnis Leistung/Verdrängung“ errechnet sich durch Division der Motornennleistung PN (kW) durch die Verdrängung des Sportbootes D (t).
Verhältnis Leistung/Verdrängung = PN/D
- 2. EIGNERHANDBUCH
Bei Sportbooten mit Innenbordmotoren oder Motoren mit Z-Antrieb ohne integriertes Abgassystem und bei Wassermotorrädern enthält das nach Teil A Z 2.5 vorgeschriebene Eignerhandbuch die erforderlichen Angaben, um das Sportboot und das Abgassystem in einem Zustand zu erhalten, mit dem nach Möglichkeit sichergestellt ist, dass bei normalem Betrieb die festgelegten Grenzwerte für Geräuschemissionen eingehalten werden.
Bei Außenbordmotoren und bei Motoren mit Z-Antrieb mit integriertem Abgassystem enthält das nach Teil B Z 4 vorgeschriebene Eignerhandbuch die erforderlichen Anweisungen, um den Motor in einem Zustand zu erhalten, mit dem nach Möglichkeit sichergestellt ist, dass bei normalem Betrieb die festgelegten Grenzwerte für Geräuschemissionen eingehalten werden.
- 3. LANGZEITVERHALTEN
Die Bestimmungen über das Langzeitverhalten in Teil B Z 3 gelten sinngemäß für die Einhaltung der Anforderungen für Geräuschemissionen in Z 1.
Zusatzdokumente: image001, image002, image003
Lizenziert vom RIS (ris.bka.gv.at - CC BY 4.0 DEED)
