Anhang X
Regeln für die Berechnung des Beitrags von Biokraftstoffen und des entsprechenden Vergleichswerts für fossile Brennstoffe zum Treibhauseffekt
A. Typische Werte und Standardwerte für Biokraftstoffe und Biomethan bei Herstellung ohne Netto – CO 2-Emissionen infolge von Landnutzungsänderungen;
Herstellungsweg des Biokraftstoffs | Typische Werte für die Minderung von Treibhausgasemissionen | Standardwerte für die Minderung von Treibhausgasemissionen |
Ethanol aus Zuckerrüben (ohne Biogas aus Schlempe, Erdgas als Prozessbrennstoff in konventioneller Anlage) | 67% | 59% |
Ethanol aus Zuckerrüben (mit Biogas aus Schlempe, Erdgas als Prozessbrennstoff in konventioneller Anlage) | 77% | 73% |
Ethanol aus Zuckerrüben (ohne Biogas aus Schlempe, Erdgas als Prozessbrennstoff in KWK-Anlage (*)) | 73% | 68% |
Ethanol aus Zuckerrüben (mit Biogas aus Schlempe, Erdgas als Prozessbrennstoff in KWK-Anlage (*)) | 79% | 76% |
Ethanol aus Zuckerrüben (ohne Biogas aus Schlempe, Braunkohle als Prozessbrennstoff in KWK-Anlage (*)) | 58% | 47% |
Ethanol aus Zuckerrüben (mit Biogas aus Schlempe, Braunkohle als Prozessbrennstoff in KWK-Anlage (*)) | 71% | 64% |
Ethanol aus Mais (Erdgas als Prozessbrennstoff in konventionellen-Anlagen) | 48% | 40% |
Ethanol aus Mais (Erdgas als Prozessbrennstoff in KWK- Anlage (*)) | 55% | 48% |
Ethanol aus Mais (Braunkohle als Prozessbrennstoff in KWK-Anlage (*)) | 40% | 28% |
Ethanol aus Mais (forstwirtschaftliche Reststoffe als Prozessbrennstoff in KWK-Anlage (*)) | 69% | 68% |
Ethanol aus anderen Getreiden, ohne Mais (Erdgas als Prozessbrennstoff in konventioneller Anlage) | 47% | 38% |
Ethanol aus anderen Getreiden, ohne Mais (Erdgas als Prozessbrennstoff in KWK-Anlage (*)) | 53% | 46% |
Ethanol aus anderen Getreiden, ohne Mais (Braunkohle als Prozessbrennstoff in KWK-Anlage (*)) | 37% | 24% |
Ethanol aus anderen Getreiden, ohne Mais (forstwirtschaftliche Reststoffe als Prozessbrennstoff in KWK-Anlage (*)) | 67% | 67% |
Ethanol aus Zuckerrohr | 70% | 70% |
Ethyl-Tertiär-Butylether /ETBE), Anteil aus erneuerbaren Quellen | Wie beim Herstellungsweg für Ethanol | Wie beim Herstellungsweg für Ethanol |
Tertiär-Amyl-Ethyl-Ether /TAEE) Anteil aus erneuerbaren Quellen | Wie beim Herstellungsweg für Ethanol | Wie beim Herstellungsweg für Ethanol |
Biodiesel aus Raps | 52% | 47% |
Biodiesel aus Sonnenblumen | 57% | 52% |
Biodiesel aus Sojabohnen | 55% | 50% |
Biodiesel aus Palmöl (offenes Abwasserbecken) 32 % | 36% | 19% |
Biodiesel aus Palmöl (Verarbeitung mit Methanbindung an der Ölmühle) | 51% | 45% |
Biodiesel aus Altspeiseöl | 88% | 84% |
Biodiesel aus ausgelassenen tierischen Fetten (**) | 84% | 78% |
Hydriertes Rapsöl | 51% | 47% |
Hydriertes Sonnenblumenöl | 58% | 54% |
Hydriertes Sojaöl | 55% | 51% |
Hydriertes Palmöl (offenes Abwasserbecken) | 34% | 22% |
Hydriertes Palmöl (Verarbeitung mit Methanbindung an der Ölmühle) | 53% | 49% |
Hydriertes Altspeiseöl | 87% | 83% |
Hydrierte tierische Fette (**) | 83% | 77% |
Reines Rapsöl | 59% | 57% |
Reines Sonnenblumenöl | 65% | 64% |
Reines Sojaöl | 63% | 61% |
Reines Palmöl (offenes Abwasserbecken) | 40% | 30% |
Reines Palmöl (Verarbeitung mit Methanbindung an der Ölmühle) | 59% | 57% |
Reines Palmöl (Verarbeitung mit Methanbindung an der Ölmühle) | 59% | 57% |
Reines Altspeiseöl | 98% | 98% |
BIOMETHAN FÜR DEN VERKEHRSSEKTOR (*1) | |||
Biomethan-produktionssystem | Technologische Optionen | Typische Werte für die Minderung von Treibhausgasemissionen | Standardwerte für die Minderung von Treibhausgasemissionen |
Gülle | Offenes Gärrückstands-lager, keine Abgasverbrennung | 117 % | 72 % |
Offenes Gärrückstands-lager, Abgasverbrennung | 133 % | 94 % | |
Geschlossenes Gärrückstandslager, keine Abgasverbrennung | 190 % | 179 % | |
Geschlossenes Gärrückstandslager, Abgasverbrennung | 206 % | 202 % | |
Mais, gesamte Pflanze | Offenes Gärrückstands-lager, keine Abgasverbrennung | 35 % | 17 % |
Offenes Gärrückstands-lager, Abgasverbrennung | 51 % | 39 % | |
Geschlossenes Gärrückstandslager, keine Abgasverbrennung | 52 % | 41 % | |
Geschlossenes Gärrückstandslager, Abgasverbrennung | 68 % | 63 % | |
Bioabfall | Offenes Gärrückstands-lager, keine Abgasverbrennung | 43 % | 20 % |
Offenes Gärrückstands-lager, Abgasverbrennung | 59 % | 42 % | |
Geschlossenes Gärrückstandslager, keine Abgasverbrennung | 70 % | 58 % | |
Geschlossenes Gärrückstandslager, Abgasverbrennung | 86 % | 80 % | |
(*1) Die Treibhausgaseinsparungen für Biomethan beziehen sich ausschließlich auf komprimiertes Biomethan gegenüber dem Komparator für Fossilbrennstoffe im Verkehrssektor in Höhe von 94 gCO2eq/MJ. | |||
(*) Standardwerte für KWK-Verfahren gelten nur, wenn die gesamte Prozesswärme durch KWK erzeugt wird..
(**) Gilt nur für Biokraftstoffe aus tierischen Nebenprodukten, die in der Verordnung (EG) Nr. 1069/2009 des Europäischen Parlaments und des Ratesals Material der Kategorie 1 bzw. 2 eingestuft werden; in diesem Fall werden Emissionen im Zusammenhang mit der Entseuchung als Teil der Tierkörperverwertung nicht berücksichtigt.
BIOMETHAN — VERMISCHUNG VON MIST/GÜLLE UND MAIS (*1) | |||
Biomethan-produktions-system | Technologische Optionen | Typische Werte für die Minderung von Treibhausgasemissionen | Standardwerte für die Minderung von Treibhausgasemissionen |
Mist/Gülle — Mais 80 % — 20 % | Offenes Gärrückstandslager, keine Abgasverbrennung (1) | 62 % | 35 % |
Offenes Gärrückstandslager, Abgasverbrennung (2) | 78 % | 57 % | |
Geschlossenes Gärrückstandslager, keine Abgasverbrennung | 97 % | 86 % | |
Geschlossenes Gärrückstandslager, Abgasverbrennung | 113 % | 108 % | |
Mist/Gülle — Mais 70 % — 30 % | Offenes Gärrückstandslager, keine Abgasverbrennung | 53 % | 29 % |
Offenes Gärrückstandslager, Abgasverbrennung | 69 % | 51 % | |
Geschlossenes Gärrückstandslager, keine Abgasverbrennung | 83 % | 71 % | |
Geschlossenes Gärrückstandslager, Abgasverbrennung | 99 % | 94 % | |
Mist/Gülle — Mais 60 % – 40 % | Offenes Gärrückstandslager, keine Abgasverbrennung | 48 % | 25 % |
Offenes Gärrückstandslager, Abgasverbrennung | 64 % | 48 % | |
Geschlossenes Gärrückstandslager, keine Abgasverbrennung | 74 % | 62 % | |
Geschlossenes Gärrückstandslager, Abgasverbrennung | 90 % | 84 % | |
(*1) Die Treibhausgaseinsparungen für Biomethan beziehen sich ausschließlich auf komprimiertes Biomethan gegenüber dem Komparator für Fossilbrennstoffe im Verkehrssektor in Höhe von 94 gCO2eq/MJ. (1) Diese Kategorie umfasst die folgenden technologischen Kategorien zur Aufbereitung von Biogas zu Biomethan: Druckwechsel-Adsorption (Pressure Swing Adsorption — PSA), Druckwasserwäsche (Pressurised Water Scrubbing — PWS), Membrantrenntechnik, kryogene Trennung und physikalische Absorption mit einem organischen Lösungsmittel (Organic Physical Scrubbing — OPS). Dies schließt die Emission von 0,03 MJ CH4/MJ Biomethan für die Emission von Methan in den Abgasen ein. (2) Diese Kategorie umfasst die folgenden technologischen Kategorien zur Aufbereitung von Biogas zu Biomethan: Druckwasserwäsche (Pressurised Water Scrubbing — PWS), sofern das Wasser aufbereitet wird, Druckwechsel-Adsorption (Pressure Swing Adsorption — PSA), chemische Absorption (Chemical Scrubbing), physikalische Absorption mit einem organischen Lösungsmittel (Organic Physical Scrubbing — OPS), Membrantrenntechnik und kryogene Trennung. Für diese Kategorie werden keine Methanemissionen berücksichtigt (das Methan im Abgas verbrennt gegebenenfalls). | |||
- B. Geschätzte typische Werte und Standardwerte für künftige Biokraftstoffe, die im Januar 2016 nicht oder nur in vernachlässigbaren Mengen auf dem Markt waren, bei Herstellung ohne Netto-CO2-Emission infolge von Landnutzungsänderungen
Herstellungsweg des Biokraftstoffs | Typische Werte für die Minderung von Treibhausgasemissionen | Standardwerte für die Minderung von Treibhausgasemissionen |
Ethanol aus Weizenstroh | 85% | 83% |
Fischer-Tropsch-Diesel aus Abfallholz in Einzelanlage | 83% | 83% |
Fischer-Tropsch-Diesel aus Kulturholz in Einzelanlage | 82% | 82% |
Fischer-Tropsch-Ottokraftstoff aus Abfallholz in Einzelanlage | 83% | 83% |
Dimethylether (DME) aus Abfallholz in Einzelanlage | 84% | 84% |
DME aus Kulturholz in Einzelanlage | 83% | 83% |
Methanol aus Abfallholz in Einzelanlage | 84% | 84% |
Methanol aus Kulturholz in Einzelanlage | 83% | 83% |
Fischer-Tropsch-Diesel aus der Vergasung von Schwarzlauge, integriert in Zellstofffabrik | 89% | 89% |
Fischer-Tropsch-Ottokraftstoff aus der Vergasung von Schwarzlauge, integriert in Zellstofffabrik | 89% | 89% |
Dimethylether (DME) aus der Vergasung von Schwarzlauge, integriert in Zellstofffabrik | 89% | 89% |
Methanol aus der Vergasung von Schwarzlauge, integriert in Zellstofffabrik | 89% | 89% |
Methyl-Tertiär-Butylether (MTBE), Anteil aus erneuerbaren Quellen | Wie beim Herstellungsweg für Methanol | Wie beim Herstellungsweg für Methanol |
C. Methodologie
- 1. Die Treibhausgasemissionen bei der Herstellung und Verwendung von Kraftstoffen, Biokraftstoffen und Biomethan werden wie folgt berechnet:
- a) Treibhausgasemissionen bei der Produktion und Verwendung von Biokraftstoffen werden wie folgt berechnet:
- /Dokumente/Bundesnormen/NOR40248949/hauptdokument.img1is.png
wobei | |
E | = Gesamtemissionen bei der Verwendung des Kraftstoffs |
eec | = Emissionen bei der Gewinnung oder beim Anbau der Rohstoffe; |
el | = auf das Jahr umgerechnete Emissionen aufgrund von Kohlenstoffbestandsänderungen infolge von Landnutzungsänderungen; |
ep | = Emissionen bei der Verarbeitung; |
etd | = Emissionen bei Transport und Vertrieb; |
eu | = Emissionen bei der Nutzung des Kraftstoffs; |
esca | = Emissionseinsparung durch Akkumulierung von Kohlenstoff im Boden infolge besserer landwirtschaftlicher Bewirtschaftungspraktiken; |
eccs | = Emissionseinsparung durch Abscheidung und geologische Speicherung von Kohlendioxid; |
eccr | =.Emissionseinsparung durch Abscheidung und Ersetzung von Kohlendioxid |
|
|
Die mit der Herstellung der Anlagen und Ausrüstungen verbundenen Emissionen werden nicht berücksichtigt. | |
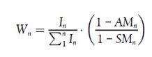
- b) Bei der Co-Vergärung verschiedener Substrate in einer Biogas-Anlage zur Produktion von Biogas oder Biomethan werden die typischen Werte und die Standardwerte für Treibhausgasemissionen wie folgt berechnet:
Dabei sind:
E =Treibhausgasemissionen pro MJ Biogas oder Biomethan, das mittels Co-Vergärung einer bestimmten Mischung von Substraten produziert wird
Sn =Rohstoffanteil n am Energiegehalt En =Emissionen in gCO2/MJ für Option n gemäß Teil D dieses Anhangs (*)
Dabei sind:
Pn =Energieausbeute [MJ] pro Kilogramm Flüssiginput des Rohstoffs n (**)
Wn =Gewichtungsfaktor des Substrats n, definiert als:
Dabei sind:
In =jährliches Input in den Vergärer des Substrats n [Tonne Frischmasse]
AMn =jährliche Durchschnittsfeuchte des Substrats n [kg Wasser/kg Frischmasse]
SMn =Standardfeuchte des Substrats n (***)
(*) Bei Verwendung von Mist/Gülle als Substrat wird ein Bonus von 45 gCO2eq/MJ Gülle (– 54 kg
CO2 eq/t Frischmasse) für die verbesserte landwirtschaftliche und Mist-/Güllebewirtschaftung angerechnet.
(**) Für die Berechnung der typischen Werte und der Standardwerte werden die folgenden Werte für Pn verwendet: P(Mais): 4,16 [MJBiogas/kg Feuchtmais @ 65 % Feuchte] P(Mist/Gülle): 0,50 [MJBiogas/kg Gülle @ 90 % Feuchte] P(Bioabfall): 3,41 [MJBiogas/kg Feuchtbioabfall @ 76 % Feuchte]
(***) Die folgenden Standardfeuchtewerte werden für Substrat SMn verwendet: SM(Mais): 0,65 [kg Wasser/kg Frischmasse] SM(Mist/Gülle): 0,90 [kg Wasser/kg Frischmasse] SM(Bioabfall): 0,76 [kg Wasser/kg Frischmasse]
c) Bei der Co-Vergärung von n-Substraten in einer Biogas-Anlage zur Produktion von Elektrizität oder Biomethan werden die tatsächlichen Treibhausgasemissionen des Biogases oder Biomethans wie folgt berechnet:
Dabei sind:
E=Gesamtemissionen bei der Produktion des Biogases oder Biomethans vor der Energieumwandlung;
Sn =Rohstoffanteil n am Anteil des Inputs in den Vergärer;
eec,n =Emissionen bei der Gewinnung oder beim Anbau des Rohstoffs n;
etd,Rohstoff,n =Emissionen beim Transport des Rohstoffs n zum Vergärer;
el,n =auf das Jahr umgerechnete Emissionen durch Kohlenstoffbestandsänderungen infolge von Landnutzungsänderungen für Rohstoff n;
esca =Emissionseinsparung infolge besserer landwirtschaftlicher Bewirtschaftungspraktiken des Rohstoffs n (*);
ep =Emissionen bei der Verarbeitung;
etd,Produkt =Emissionen bei Transport und Vertrieb des Biogases und/oder Biomethans;
eu =Emissionen bei der Nutzung des Brennstoffs, d. h. bei der Verbrennung emittierte Treibhausgase;
eccs =Emissionseinsparung durch Abscheidung und geologische Speicherung von CO2; und
eccr =Emissionseinsparung durch Abscheidung und Ersetzung von CO2.
(*) Bei Verwendung von Mist/Gülle als Substrat für die Produktion von Biogas und Biomethan wird ein Bonus von 45 gCO2eq/MJ Mist/Gülle für die verbesserte landwirtschaftliche und Mist-/Güllebewirtschaftung auf esca angerechnet.
- 2. Die durch Biokraftstoffe oder Biomethan verursachten Treibhausgasemissionen E werden in CO2-Äquivalent in g/MJ (Gramm CO2-Äquivalent pro Megajoule Kraftstoff) angegeben.
Werden Treibhausgasemissionen durch die Gewinnung oder den Anbau von Rohstoffen (eec) als Einheit gCO2eq/Tonne Trockenrohstoff angegeben, wird die Umwandlung in gCO2eq/MJ (Gramm CO2-Äquivalent pro Megajoule Brennstoff) wie folgt berechnet(1)
wobei:
Die Emissionen pro Tonne Trockenrohstoff werden wie folgt berechnet:
(1) Die Formel, mit der die Treibhausgasemissionen durch die Gewinnung oder den Anbau von Rohstoffen eec berechnet werden, beschreibt Fälle, in denen Rohstoffe in einem Schritt in Biokraftstoffe umgewandelt werden. Bei komplizierteren Versorgungsketten sind Anpassungen notwendig, damit auch die Treibhausgasemissionen eec berechnet werden, die durch die Gewinnung oder den Anbau von Rohstoffen für Zwischenprodukte verursacht werden.
- 3. Die durch die Verwendung von Biokraftstoffen oder Biomethan erzielte Einsparung bei den Treibhausgasemissionen wird wie folgt berechnet:
- EINSPARUNG = (EF(t) – EB)/EF(t)
- dabei sind:
- EB = Gesamtemissionen bei der Verwendung des Biokraftstoffs;
- EF(t) = Gesamtemissionen des Komparators für Fossile Kraftstoffe.
- 4. Die für die unter Nummer 1 genannten Zwecke berücksichtigten Treibhausgase sind CO2, N2O und CH4. Zur Berechnung der CO2-Äquivalenz werden diese Gase wie folgt gewichtet:
CO2: | 1 |
N2O: | 296 |
CH4: | 25 |
- 5. Die Emissionen bei der Gewinnung oder beim Anbau der Rohstoffe (eec) schließen die Emissionen des Gewinnungs- oder Anbauprozesses selbst, beim Sammeln der Rohstoffe, aus Abfällen und Leckagen sowie bei der Herstellung der zur Gewinnung oder zum Anbau verwendeten Chemikalien oder sonstigen Produkten ein. Die CO2-Bindung beim Anbau der Rohstoffe wird nicht berücksichtigt Alternativ zu den tatsächlichen Werten können für die Emissionen beim Anbau landwirtschaftlicher Biomasse anhand der regionalen Durchschnittswerte für die Emissionen aus dem Anbau entsprechend den in Artikel 31 Absatz 4 der Richtlinie (EU) 2018/2001 genannten Berichten oder aus den Angaben zu den disaggregierten Standardwerten für Emissionen aus dem Anbau in diesem Anhang abgeleitet werden. Alternativ zu den tatsächlichen Werten können in Ermangelung einschlägiger Informationen in diesen Berichten die Durchschnittswerte auf der Grundlage von lokalen landwirtschaftlichen Praktiken, beispielsweise anhand von Daten einer Gruppe landwirtschaftlicher Betriebe, berechnet werden. Alternativ zu den tatsächlichen Werten können für die Emissionen beim Anbau und bei der Ernte forstwirtschaftlicher Biomasse anhand der auf nationaler Ebene für geografische Gebiete berechneten Durchschnittswerte für die Emissionen aus dem Anbau und der Ernte Schätzungen abgeleitet werden.
- 6. Für die Zwecke der in Nummer 1 Buchstabe a genannten Berechnungen werden Treibhausgasemissionseinsparungen infolge besserer landwirtschaftlicher Bewirtschaftungspraktiken (esca), wie infolge der Umstellung auf eine reduzierte Bodenbearbeitung oder eine Nullbodenbearbeitung, verbesserter Fruchtfolgen, der Nutzung von Deckpflanzen, einschließlich Bewirtschaftung der Ernterückstände, sowie des Einsatzes natürlicher Bodenverbesserer (z. B. Kompost, Rückstände der Mist-/Güllevergärung), nur dann berücksichtigt, wenn zuverlässige und überprüfbare Nachweise dafür vorgelegt werden, dass mehr Kohlenstoff im Boden gebunden wurde, oder wenn vernünftigerweise davon auszugehen ist, dass dies in dem Zeitraum, in dem die betreffenden Rohstoffe angebaut wurden, der Fall war; dabei ist gleichzeitig jenen Emissionen Rechnung zu tragen, die aufgrund des vermehrten Einsatzes von Dünger und Pflanzenschutzmitteln bei derartigen Praktiken entstehen (1).
- 7. Die auf Jahresbasis umgerechneten Emissionen aus Kohlenstoffbestandsänderungen infolge von Landnutzungsänderungen (el) werden durch gleichmäßige Verteilung der Gesamtemissionen über 20 Jahre berechnet. Diese Emissionen werden wie folgt berechnet:
- /Dokumente/Bundesnormen/NOR40248949/hauptdokument.img10is.png
dabei sind:
- el = auf das Jahr umgerechnete Treibhausgasemissionen aus Kohlenstoffbestandsänderungen infolge von Landnutzungsänderungen (gemessen als Masse (Gramm) an CO2-Äquivalent pro Energieeinheit (Megajoule) Biokraftstoff); „Kulturflächen“ (3) und „Dauerkulturen“ (4) sind als eine einzige Landnutzungsart zu betrachten;
- CSR= der mit der Bezugsfläche verbundene Kohlenstoffbestand pro Flächeneinheit (gemessen als Masse (Tonnen) an Kohlenstoff pro Flächeneinheit einschließlich Boden und Vegetation). Die Referenzlandnutzung ist die Landnutzung im Januar 2008 oder 20 Jahre vor der Gewinnung des Rohstoffs, je nachdem, welcher Zeitpunkt der spätere ist;
- CSA =.der mit der tatsächlichen Landnutzung verbundene Kohlenstoffbestand pro Flächeneinheit (gemessen als Masse (Tonnen) an Kohlenstoff pro Flächeneinheit einschließlich Boden und Vegetation). Wenn sich der Kohlenstoffbestand über mehr als ein Jahr akkumuliert, gilt als CSA-Wert der geschätzte Kohlenstoffbestand pro Flächeneinheit nach 20 Jahren oder zum Zeitpunkt der Reife der Pflanzen, je nachdem, welcher Zeitpunkt der frühere ist;
- P = die Pflanzenproduktivität (gemessen als Energie des Biokraftstoffs pro Flächeneinheit und Jahr) und
- eB = Bonus von 29 CO2-Äquivalent in g/MJ Biokraftstoff, wenn die Biomasse unter den in Nummer 8 genannten Bedingungen auf wiederhergestellten degradierten Flächen gewonnen wird
(1) Bei einem solchen Nachweis kann es sich um Messungen des Kohlenstoffs im Boden handeln, beispielsweise in Form einer ersten Messung vor dem Anbau und anschließender regelmäßiger Messungen im Abstand von mehreren Jahren. In diesem Fall würde für den Anstieg des Bodenkohlenstoffs, solange der zweite Messwert noch nicht vorliegt, anhand repräsentativer Versuche oder Bodenmodelle ein Schätzwert ermittelt. Ab der zweiten Messung würden die Messwerte als Grundlage dienen, um zu ermitteln, ob und in welchem Maß der Bodenkohlenstoff steigt.
(2) Der durch Division des Molekulargewichts von CO2 (44,010 g/mol) durch das Molekulargewicht von Kohlenstoff (12,011 g/mol) gewonnene Quotient ist gleich 3,664.
(3) Kulturflächen im Sinn der Definition des IPCC
(4) Dauerkulturen sind definiert als mehrjährige Kulturpflanzen, deren Stiel normalerweise nicht jährlich geerntet wird (z. B. Niederwald mit Kurzumtrieb und Ölpalmen).
- 8. Der Bonus von 29 CO2-Äquivalent in g/MJ wird gewährt, wenn der Nachweis erbracht wird, dass die betreffende Fläche
- a) im Januar 2008 nicht landwirtschaftlich oder zu einem anderen Zweck genutzt wurde und
- b) aus stark degradierten Flächen einschließlich früherer landwirtschaftlicher Nutzflächen besteht.
- Der Bonus von 29 CO2-Äquivalent in g/MJ gilt für einen Zeitraum von bis zu 20 Jahren ab dem Zeitpunkt der Umwandlung der Fläche in eine landwirtschaftliche Nutzfläche, sofern ein kontinuierlicher Anstieg des Kohlenstoffbestands und ein nennenswerter Rückgang der Erosion auf unter Buchstabe b fallenden Flächen gewährleistet werden
- 9. „Stark degradierte Flächen“ sind Flächen, die während eines längeren Zeitraums entweder in hohem Maße versalzt wurden oder die einen besonders niedrigen Gehalt an organischen Stoffen aufweisen und stark erodiert sind;
- 10. Für die Zwecke dieser Verordnung erfolgt die Berechnung des Bodenkohlenstoffbestands auf der Grundlage der von der Kommission auf der Basis von Band 4 der IPPC-Leitlinien für nationale Treibhausgasinventare aus dem Jahr 2006 sowie im Einklang mit der Verordnung (EU) Nr. 525/2013 und der Verordnung (EU) 2018/841 des Europäischen Parlaments und des Rates vom 30. Mai 2018 über die Einbeziehung der Emissionen und des Abbaus von Treibhausgasen aus Landnutzung, Landnutzungsänderungen und Forstwirtschaft (LULUCF) in den Rahmen für die Klima- und Energiepolitik bis 2030 und zur Änderung der Verordnung (EU) Nr. 525/2013 erstellten Leitlinien für die Berechnung des Bodenkohlenstoffbestands (Beschluss der Kommission 2010/335/EU über Leitlinien für die Berechnung des Kohlenstoffbestands im Boden für die Zwecke des Anhangs V der Richtlinie 2009/28/EG , ABl. Nr. L 151 vom 17.06.2010 S.19).
- 11. Die Emissionen bei der Verarbeitung (ep) schließen die Emissionen bei der Verarbeitung selbst, aus Abfällen und Leckagen sowie bei der Herstellung der zur Verarbeitung verwendeten Chemikalien oder sonstigen Produkte ein, einschließlich der CO2-Emissionen, die dem Kohlenstoffgehalt fossiler Inputs entsprechen, unabhängig davon, ob sie bei dem Prozess tatsächlich verbrannt werden. Bei der Berücksichtigung des Verbrauchs an nicht in der Anlage zur Kraftstoffherstellung erzeugter Elektrizität wird angenommen, dass die Treibhausgasemissionsintensität bei Erzeugung und Verteilung dieser Elektrizität der durchschnittlichen Emissionsintensität bei der Produktion und Verteilung von Elektrizität in einer bestimmten Region entspricht. Abweichend von dieser Regel gilt: Die Produzenten können für die von einer einzelnen Elektrizitätserzeugungsanlage erzeugte Elektrizität einen Durchschnittswert verwenden, falls diese Anlage nicht an das Elektrizitätsnetz angeschlossen ist. Die Emissionen bei der Verarbeitung schließen gegebenenfalls Emissionen bei der Trocknung von Zwischenprodukten und -materialien ein.
- 12. Die Emissionen beim Transport und Vertrieb (etd) schließen die beim Transport und der Lagerung von Rohstoffen und Halbfertigerzeugnissen sowie bei der Lagerung und dem Vertrieb von Fertigerzeugnissen anfallenden Emissionen ein. Die Emissionen beim Transport und Vertrieb, die unter Nummer 5 berücksichtigt werden, fallen nicht unter diese Nummer.
- 13. Die CO2 Emissionen bei der Nutzung des Kraftstoffs (eu) werden für Biokraftstoffe und Biomethan mit null angesetzt. Die Emissionen von anderen Treibhausgasen als CO2 (CH2 und N2O) bei der Nutzung von Biokraftstoffen werden in den eu-Faktor einbezogen.
- 14. Die Emissionseinsparung durch Abscheidung und geologische Speicherung von Kohlendioxid (eccs), die nicht bereits in ep berücksichtigt wurde, wird auf die durch Abscheidung und Sequestrierung von emittiertem CO2 vermiedenen Emissionen begrenzt, die unmittelbar mit der Gewinnung, dem Transport, der Verarbeitung und dem Vertrieb von Kraftstoff verbunden sind, sofern die Speicherung im Einklang mit der Richtlinie 2009/31/EG über die geologische Speicherung von Kohlendioxid erfolgt.
- 15. Die Emissionseinsparung durch CO2-Abscheidung und -ersetzung (eccr) steht in unmittelbarer Verbindung mit der Produktion des Biokraftstoffs oder Biomethans, dem sie zugeordnet wird, und wird begrenzt auf die durch Abscheidung von CO2 vermiedenen Emissionen, wobei der Kohlenstoff aus Biomasse stammt und bei der Produktion von Handelsprodukten und bei Dienstleistungen anstelle des CO2 fossilen Ursprungs verwendet wird.
- 16. Erzeugt eine Kraft-Wärme-Kopplungsanlage, die Wärme und/oder Elektrizität für ein Kraftstoffproduktionsverfahren liefert, für das Emissionen berechnet werden, überschüssige Elektrizität und/oder Nutzwärme, werden die Treibhausgasemissionen entsprechend der Temperatur der Wärme (die deren Nutzen widerspiegelt) auf die Elektrizität und die Nutzwärme aufgeteilt. Der Nutzanteil der Wärme ergibt sich durch Multiplikation ihres Energiegehalts mit dem Carnot'schen Wirkungsgrad Ch, der wie folgt berechnet wird:
wobei:
- Th =Temperatur, gemessen als absolute Temperatur (Kelvin) der Nutzwärme am Lieferort
- T0 =Umgebungstemperatur, festgelegt auf 273,15 Kelvin (0 °C)
- Wenn die überschüssige Wärme zur Beheizung von Gebäuden ausgeführt wird, kann Ch für eine Temperatur unter 150 °C (423,15 Kelvin) alternativ wie folgt definiert werden:
- Ch =Carnot'scher Wirkungsgrad für Wärme bei 150 °C (423,15 Kelvin) = 0,3546
- Für die Zwecke dieser Berechnung ist der tatsächliche Wirkungsgrad zu verwenden, der als jährlich produzierte mechanische Energie, Elektrizität bzw. Wärme dividiert durch die jährlich eingesetzte Energie definiert wird.
- Für die Zwecke dieser Berechnung bezeichnet der Begriff
- a) „Kraft-Wärme-Kopplung“ die gleichzeitige Erzeugung thermischer Energie und elektrischer und/oder mechanischer Energie in einem Prozess;
- b) „Nutzwärme“ die in einem KWK-Prozess zur Befriedigung eines wirtschaftlich vertretbaren Wärme- oder Kältebedarfs erzeugte Wärme;
- c) „wirtschaftlich vertretbarer Bedarf“ den Bedarf, der die benötigte Wärme- oder Kälteleistung nicht überschreitet und der sonst zu Marktbedingungen gedeckt würde.
- 17. Werden bei einem Kraftstoffproduktionsverfahren neben dem Kraftstoff, für den die Emissionen berechnet werden, weitere Erzeugnisse („Nebenerzeugnisse“) produziert, so werden die anfallenden Treibhausgasemissionen zwischen dem Kraftstoff oder dessen Zwischenerzeugnis und den Nebenerzeugnissen nach Maßgabe ihres Energiegehalts (der bei anderen Nebenerzeugnissen als Elektrizität durch den unteren Heizwert bestimmt wird) aufgeteilt. Die Treibhausgasintensität überschüssiger Nutzwärme und Elektrizität entspricht der Treibhausgasintensität der für ein Kraftstoffherstellungsverfahren gelieferten Wärme oder Elektrizität; sie wird durch Berechnung der Treibhausgasintensität aller Inputs in die Kraft-Wärme-Kopplungs-, konventionelle oder sonstige Anlage, die Wärme oder Elektrizität für ein Kraftstoffproduktionsverfahren liefert, und der Emissionen der betreffenden Anlage, einschließlich der Rohstoffe sowie CH4- und N2O-Emissionen, bestimmt. Im Falle der Kraft-Wärme-Kopplung erfolgt die Berechnung entsprechend Nummer 16.
- 18. Für die Zwecke der Berechnung nach Nummer 17 sind die aufzuteilenden Emissionen eec + el + esca + die Anteile von ep, etd eccs und eccr, die bis einschließlich zu dem Verfahrensschritt anfallen, bei dem ein Nebenprodukt erzeugt wird. Wurden in einem früheren Verfahrensschritt Emissionen Nebenprodukten zugewiesen, so wird für diesen Zweck anstelle der Gesamtemissionen der Bruchteil dieser Emissionen verwendet, der im letzten Verfahrensschritt dem Zwischenerzeugnis zugeordnet wird.
- Im Falle von Biokraftstoffen und Biomethan werden sämtliche Nebenerzeugnisse, für die Zwecke der Berechnung berücksichtigt, Abfällen und Reststoffen werden keine Emissionen zugeordnet. Für die Zwecke der Berechnung wird der Energiegehalt von Nebenprodukten mit negativem Energiegehalt mit null angesetzt. Die Lebenszyklus-Treibhausgasemissionen von Abfällen und Reststoffen, einschließlich Baumspitzen und Ästen, Stroh,, Hülsen, Maiskolben und Nussschalen sowie Reststoffen aus der Verarbeitung einschließlich Rohglycerin (nicht raffiniertes Glycerin) und Bagasse werden bis zur Sammlung dieser Materialien auf null angesetzt, unabhängig davon, ob sie vor der Umwandlung ins Endprodukt zu Zwischenprodukten verarbeitet werden.
- Bei Kraftstoffen, die in anderen Raffinerien als einer Kombination von Verarbeitungsbetrieben mit konventionellen oder Kraft-Wärme-Kopplungsanlagen, die dem Verarbeitungsbetrieb Wärme und/oder Elektrizität liefern, hergestellt werden, ist die Analyseeinheit für die Zwecke der Berechnung nach Nummer 17 die Raffinerie.
- 19. Bei Biokraftstoffen und Biomethan ist für die Zwecke der Berechnung nach Nummer 3 die fossile Vergleichsgröße EF(t) 94 gCO2eq/MJ.
D. 1. Disaggregierte Standardwerte für Biokraftstoffe
Disaggregierte Standardwerte für den Anbau: „eec“ gemäß Definition in Teil C dieses Anhangs einschließlich N2O- Bodenemissionen
Herstellungsweg der Biokraftstoffe | Typische Treibhausgasemissionen (CO2-Äquivalent in g/MJ) | Standardtreibhausgasemissionen (CO2-Äquivalent in g/MJ) |
Ethanol aus Zuckerrüben | 9,6 | 9,6 |
Ethanol aus Mais | 25,5 | 25,5 |
Ethanol aus anderen Getreiden, ohne Mais | 27 | 27 |
Ethanol aus Zuckerrohr | 17,1 | 17,1 |
ETBE, Anteil aus erneuerbaren Quellen | Wie beim Herstellungsweg für Ethanol |
|
TAEE, Anteil aus erneuerbaren Quellen | Wie beim Herstellungsweg für Ethanol |
|
Biodiesel aus Raps | 32 | 32 |
Biodiesel aus Sonnenblumen | 26,1 | 26,1 |
Biodiesel aus Sojabohnen | 21,2 | 21,2 |
Biodiesel aus Palmöl | 26,0 | 26,0 |
Biodiesel aus Altspeiseöl | 0 | 0 |
Biodiesel aus ausgelassenen tierischen Fetten(**) | 0 | 0 |
Hydriertes Rapsöl | 33,4 | 33,4 |
Hydriertes Sonnenblumenöl | 26,9 | 26,9 |
Hydriertes Sojaöl | 22,1 | 22,1 |
Hydriertes Palmöl | 27,3 | 27,3 |
Hydriertes Altspeiseöl | 0 | 0 |
Hydriertes Tierische Fette (**) | 0 | 0 |
Reines Rapsöl | 33,4 | 33,4 |
Reines Sonnenblumenöl | 27,2 | 27,2 |
Reines Sojaöl | 22,2 | 22,2 |
Reines Rapsöl | 27,1 | 27,1 |
Reines Palmöl | 0 | 0 |
- (**) Gilt nur für Biokraftstoffe aus tierischen Nebenprodukten, die in der Verordnung (EG) Nr. 1069/2009 als Material der Kategorie 1 bzw. 2 eingestuft werden; in diesem Fall werden Emissionen im Zusammenhang mit der Entseuchung als Teil der Tierkörperverwertung nicht berücksichtigt.
Disaggregierte Standardwerte für den Anbau: „eec“ — ausschließlich für N2O-Bodenemissionen (diese sind bereits in den disaggregierten Werten in Tabelle „eec“ für Emissionen aus dem Anbau enthalten) Herstellungsweg der Biokraftstoffe
Produktionsweg der Biokraftstoffe und flüssigen Biobrennstoffe | Treibhausgasemissionen — typischer Wert (gCO2eq/MJ) | Treibhausgasemissionen — Standardwert (gCO2eq/MJ) |
Ethanol aus Zuckerrüben | 4,9 | 4,9 |
Ethanol aus Mais | 13,7 | 13,7 |
Ethanol aus anderen Getreiden, ohne Mais | 14,1 | 14,1 |
Ethanol aus Zuckerrohr | 2,1 | 2,1 |
ETBE, Anteil aus erneuerbaren Quellen | Wie beim Produktionsweg für Ethanol | |
TAEE, Anteil aus erneuerbaren Quellen | Wie beim Produktionsweg für Ethanol | |
Biodiesel aus Raps | 17,6 | 17,6 |
Biodiesel aus Sonnenblumen | 12,2 | 12,2 |
Biodiesel aus Sojabohnen | 13,4 | 13,4 |
Biodiesel aus Palmöl | 16,5 | 16,5 |
Biodiesel aus Altspeiseöl | 0 | 0 |
Biodiesel aus ausgelassenen tierischen Fetten (*1) | 0 | 0 |
Hydriertes Rapsöl | 18,0 | 18,0 |
Hydriertes Sonnenblumenöl | 12,5 | 12,5 |
Hydriertes Sojaöl | 13,7 | 13,7 |
Hydriertes Palmöl | 16,9 | 16,9 |
Hydriertes Altspeiseöl | 0 | 0 |
Hydrierte tierische Fette (*1) | 0 | 0 |
Reines Rapsöl | 17,6 | 17,6 |
Reines Sonnenblumenöl | 12,2 | 12,2 |
Reines Sojaöl | 13,4 | 13,4 |
Reines Palmöl | 16,5 | 16,5 |
Reines Altspeiseöl | 0 | 0 |
(*1) Gilt nur für Biokraftstoffe aus tierischen Nebenprodukten, die in der Verordnung (EG) Nr. 1069/2009 als Material der Kategorie 1 bzw. 2 eingestuft werden; in diesem Fall werden Emissionen im Zusammenhang mit der Entseuchung als Teil der Tierkörperverwertung nicht berücksichtigt. | ||
Disaggregierte Standardwerte für die Verarbeitung: „ep“ gemäß Definition in Teil C dieses Anhangs
| Produktionsweg der Biokraftstoffe und flüssigen Biobrennstoffe | Treibhausgasemissionen — typischer Wert (gCO2eq/MJ) | Treibhausgasemissionen — Standardwert (gCO2eq/MJ) |
| Ethanol aus Zuckerrüben (ohne Biogas aus Schlempe, Erdgas als Prozessbrennstoff in konventioneller Anlage) | 18,8 | 26,3 |
Ethanol aus Zuckerrüben (mit Biogas aus Schlempe, Erdgas als Prozessbrennstoff in konventioneller Anlage) | 9,7 | 13,6 | |
| Ethanol aus Zuckerrüben (ohne Biogas aus Schlempe, Erdgas als Prozessbrennstoff in KWK-Anlage (*1)) | 13,2 | 18,5 |
| Ethanol aus Zuckerrüben (mit Biogas aus Schlempe, Erdgas als Prozessbrennstoff in KWK-Anlage (*1)) | 7,6 | 10,6 |
| Ethanol aus Zuckerrüben (ohne Biogas aus Schlempe, Braunkohle als Prozessbrennstoff in KWK-Anlage (*1)) | 27,4 | 38,3 |
| Ethanol aus Zuckerrüben (mit Biogas aus Schlempe, Braunkohle als Prozessbrennstoff in KWK-Anlage (*1)) | 15,7 | 22,0 |
| Ethanol aus Mais (Erdgas als Prozessbrennstoff in konventioneller Anlage) | 20,8 | 29,1 |
| Ethanol aus Mais (Erdgas als Prozessbrennstoff in KWK-Anlage (*1)) | 14,8 | 20,8 |
| Ethanol aus Mais (Braunkohle als Prozessbrennstoff in KWK-Anlage (*1)) | 28,6 | 40,1 |
| Ethanol aus Mais (forstwirtschaftliche Reststoffe als Prozessbrennstoff in KWK-Anlage (*1)) | 1,8 | 2,6 |
| Ethanol aus anderen Getreiden, ohne Mais (Erdgas als Prozessbrennstoff in konventioneller Anlage) | 21,0 | 29,3 |
| Ethanol aus anderen Getreiden, ohne Mais (Erdgas als Prozessbrennstoff in KWK-Anlage (*1)) | 15,1 | 21,1 |
| Ethanol aus anderen Getreiden, ohne Mais (Braunkohle als Prozessbrennstoff in KWK-Anlage (*1)) | 30,3 | 42,5 |
| Ethanol aus anderen Getreiden, ohne Mais (forstwirtschaftliche Reststoffe als Prozessbrennstoff in KWK-Anlage (*1)) | 1,5 | 2,2 |
| Ethanol aus Zuckerrohr | 1,3 | 1,8 |
| ETBE, Anteil aus erneuerbaren Quellen | Wie beim Produktionsweg für Ethanol | |
| TAEE, Anteil aus erneuerbaren Quellen | Wie beim Produktionsweg für Ethanol | |
| Biodiesel aus Raps | 11,7 | 16,3 |
| Biodiesel aus Sonnenblumen | 11,8 | 16,5 |
| Biodiesel aus Sojabohnen | 12,1 | 16,9 |
| Biodiesel aus Palmöl (offenes Abwasserbecken) | 30,4 | 42,6 |
| Biodiesel aus Palmöl (Verarbeitung mit Methanbindung an der Ölmühle) | 13,2 | 18,5 |
| Biodiesel aus Altspeiseöl | 9,3 | 13,0 |
| Biodiesel aus ausgelassenen tierischen Fetten (*2) | 13,6 | 19,1 |
| Hydriertes Rapsöl | 10,7 | 15,0 |
| Hydriertes Sonnenblumenöl | 10,5 | 14,7 |
| Hydriertes Sojaöl | 10,9 | 15,2 |
| Hydriertes Palmöl (offenes Abwasserbecken) | 27,8 | 38,9 |
| Hydriertes Palmöl (Verarbeitung mit Methanbindung an der Ölmühle) | 9,7 | 13,6 |
| Hydriertes Altspeiseöl | 10,2 | 14,3 |
| Hydrierte tierische Fette (*2) | 14,5 | 20,3 |
| Reines Rapsöl | 3,7 | 5,2 |
| Reines Sonnenblumenöl | 3,8 | 5,4 |
| Reines Sojaöl | 4,2 | 5,9 |
| Reines Palmöl (offenes Abwasserbecken) | 22,6 | 31,7 |
| Reines Palmöl (Verarbeitung mit Methanbindung an der Ölmühle) | 4,7 | 6,5 |
| Reines Altspeiseöl | 0,6 | 0,8 |
| (*1) Standardwerte für KWK-Verfahren gelten nur, wenn die gesamte Prozesswärme durch KWK erzeugt wird. (*2) Hinweis: Gilt nur für Biokraftstoffe aus tierischen Nebenprodukten, die in der Verordnung (EG) Nr. 1069/2009 als Material der Kategorie 1 bzw. 2 eingestuft werden; in diesem Fall werden Emissionen im Zusammenhang mit der Entseuchung als Teil der Tierkörperverwertung nicht berücksichtigt | ||
Disaggregierte Standardwerte ausschließlich für die Ölgewinnung (diese sind bereits in den disaggregierten Werten in Tabelle „ep“ für Emissionen aus der Verarbeitung enthalten)
Produktionsweg der Biokraftstoffe und flüssigen Biobrennstoffe | Treibhausgasemissionen — typischer Wert (gCO2eq/MJ) | Treibhausgasemissionen — Standardwert (gCO2eq/MJ) |
Biodiesel aus Raps | 3,0 | 4,2 |
Biodiesel aus Sonnenblumen | 2,9 | 4,0 |
Biodiesel aus Sojabohnen | 3,2 | 4,4 |
Biodiesel aus Palmöl (offenes Abwasserbecken) | 20,9 | 29,2 |
Biodiesel aus Palmöl (Verarbeitung mit Methanbindung an der Ölmühle) | 3,7 | 5,1 |
Biodiesel aus Altspeiseöl | 0 | 0 |
Biodiesel aus ausgelassenen tierischen Fetten (*1) | 4,3 | 6,1 |
Hydriertes Rapsöl | 3,1 | 4,4 |
Hydriertes Sonnenblumenöl | 3,0 | 4,1 |
Hydriertes Sojaöl | 3,3 | 4,6 |
Reines Palmöl (offenes Abwasserbecken) | 21,9 | 30,7 |
Hydriertes Palmöl (Verarbeitung mit Methanbindung an der Ölmühle) | 3,8 | 5,4 |
Hydriertes Altspeiseöl | 0 | 0 |
Hydrierte tierische Fette (*1) | 4,3 | 6,0 |
Reines Rapsöl | 3,1 | 4,4 |
Reines Sonnenblumenöl | 3,0 | 4,2 |
Reines Sojaöl | 3,4 | 4,7 |
Reines Palmöl (offenes Abwasserbecken) | 21,8 | 30,5 |
Reines Palmöl (Verarbeitung mit Methanbindung an der Ölmühle) | 3,8 | 5,3 |
Reines Altspeiseöl | 0 | 0 |
(*1) Hinweis: Gilt nur für Biokraftstoffe aus tierischen Nebenprodukten, die in der Verordnung (EG) Nr. 1069/2009 als Material der Kategorie 1 bzw. 2 eingestuft werden; in diesem Fall werden Emissionen im Zusammenhang mit der Entseuchung als Teil der Tierkörperverwertung nicht berücksichtigt. | ||
Disaggregierte Standardwerte für den Transport und Vertrieb: „etd“ gemäß Definition in Teil C dieses Anhangs
Produktionsweg der Biokraftstoffe und flüssigen Biobrennstoffe | Treibhausgasemissionen — typischer Wert (gCO2eq/MJ) | Treibhausgasemissionen — Standardwert (gCO2eq/MJ) |
Ethanol aus Zuckerrüben (ohne Biogas aus Schlempe, Erdgas als Prozessbrennstoff in konventioneller Anlage) | 2,3 | 2,3 |
Ethanol aus Zuckerrüben (mit Biogas aus Schlempe, Erdgas als Prozessbrennstoff in konventioneller Anlage) | 2,3 | 2,3 |
Ethanol aus Zuckerrüben (ohne Biogas aus Schlempe, Erdgas als Prozessbrennstoff in KWK-Anlage (*1)) | 2,3 | 2,3 |
Ethanol aus Zuckerrüben (mit Biogas aus Schlempe, Erdgas als Prozessbrennstoff in KWK-Anlage (*1)) | 2,3 | 2,3 |
Ethanol aus Zuckerrüben (ohne Biogas aus Schlempe, Braunkohle als Prozessbrennstoff in KWK-Anlage (*1)) | 2,3 | 2,3 |
Ethanol aus Zuckerrüben (mit Biogas aus Schlempe, Braunkohle als Prozessbrennstoff in KWK-Anlage (*1)) | 2,3 | 2,3 |
Ethanol aus Mais (Erdgas als Prozessbrennstoff in KWK-Anlage (*1)) | 2,2 | 2,2 |
Ethanol aus Mais (Erdgas als Prozessbrennstoff in konventioneller Anlage) | 2,2 | 2,2 |
Ethanol aus Mais (Braunkohle als Prozessbrennstoff in KWK-Anlage (*1)) | 2,2 | 2,2 |
Ethanol aus Mais (forstwirtschaftliche Reststoffe als Prozessbrennstoff in KWK-Anlage (*1)) | 2,2 | 2,2 |
Ethanol aus anderen Getreiden, ohne Mais (Erdgas als Prozessbrennstoff in konventioneller Anlage) | 2,2 | 2,2 |
Ethanol aus anderen Getreiden, ohne Mais (Erdgas als Prozessbrennstoff in KWK-Anlage (*1)) | 2,2 | 2,2 |
Ethanol aus anderen Getreiden, ohne Mais (Braunkohle als Prozessbrennstoff in KWK-Anlage (*1)) | 2,2 | 2,2 |
Ethanol aus anderen Getreiden, ohne Mais (forstwirtschaftliche Reststoffe als Prozessbrennstoff in KWK-Anlage (*1)) | 2,2 | 2,2 |
Ethanol aus Zuckerrohr | 9,7 | 9,7 |
ETBE, Anteil aus erneuerbaren Quellen | Wie beim Produktionsweg für Ethanol | |
TAEE, Anteil aus erneuerbaren Quellen | Wie beim Produktionsweg für Ethanol | |
Biodiesel aus Raps | 1,8 | 1,8 |
Biodiesel aus Sonnenblumen | 2,1 | 2,1 |
Biodiesel aus Sojabohnen | 8,9 | 8,9 |
Biodiesel aus Palmöl (offenes Abwasserbecken) | 6,9 | 6,9 |
Biodiesel aus Palmöl (Verarbeitung mit Methanbindung an der Ölmühle) | 6,9 | 6,9 |
Biodiesel aus Altspeiseöl | 1,9 | 1,9 |
Biodiesel aus ausgelassenen tierischen Fetten (*2) | 1,6 | 1,6 |
Hydriertes Rapsöl | 1,7 | 1,7 |
Hydriertes Sonnenblumenöl | 2,0 | 2,0 |
Hydriertes Sojaöl | 9,2 | 9,2 |
Reines Palmöl (offenes Abwasserbecken) | 7,0 | 7,0 |
Hydriertes Palmöl (Verarbeitung mit Methanbindung an der Ölmühle) | 7,0 | 7,0 |
Hydriertes Altspeiseöl | 1,7 | 1,7 |
Hydrierte tierische Fette (*2) | 1,5 | 1,5 |
Reines Rapsöl | 1,4 | 1,4 |
Reines Sonnenblumenöl | 1,7 | 1,7 |
Reines Sojaöl | 8,8 | 8,8 |
Reines Palmöl (offenes Abwasserbecken) | 6,7 | 6,7 |
Reines Palmöl (Verarbeitung mit Methanbindung an der Ölmühle) | 6,7 | 6,7 |
Reines Altspeiseöl | 1,4 | 1,4 |
(*1) Standardwerte für KWK-Verfahren gelten nur, wenn die gesamte Prozesswärme durch KWK erzeugt wird. (*2) Hinweis: Gilt nur für Biokraftstoffe aus tierischen Nebenprodukten, die in der Verordnung (EG) Nr. 1069/2009; in diesem Fall werden Emissionen im Zusammenhang mit der Entseuchung als Teil der Tierkörperverwertung nicht berücksichtigt. | ||
Disaggregierte Standardwerte ausschließlich für den Transport und Vertrieb des fertigen Biokraftstoffs. Diese sind bereits in der Tabelle als Emissionen bei Transport und Vertrieb „etd“ gemäß Definition in Teil C dieses Anhangs enthalten; die folgenden Werte können jedoch hilfreich sein, wenn ein Wirtschaftsteilnehmer die tatsächlichen Transportemissionen nur für den Transport von Kulturpflanzen oder Öl angeben will.
Produktionsweg der Biokraftstoffe und flüssigen Biobrennstoffe | Treibhausgasemissionen — typischer Wert (gCO2eq/MJ) | Treibhausgasemissionen — Standardwert (gCO2eq/MJ) |
Ethanol aus Zuckerrüben (ohne Biogas aus Schlempe, Erdgas als Prozessbrennstoff in konventioneller Anlage) | 1,6 | 1,6 |
Ethanol aus Zuckerrüben (mit Biogas aus Schlempe, Erdgas als Prozessbrennstoff in konventioneller Anlage) | 1,6 | 1,6 |
Ethanol aus Zuckerrüben (ohne Biogas aus Schlempe, Erdgas als Prozessbrennstoff in KWK-Anlage (*1)) | 1,6 | 1,6 |
Ethanol aus Mais (Erdgas als Prozessbrennstoff in KWK-Anlage (*1)) | 1,6 | 1,6 |
Ethanol aus Zuckerrüben (ohne Biogas aus Schlempe, Braunkohle als Prozessbrennstoff in KWK-Anlage (*1)) | 1,6 | 1,6 |
Ethanol aus Zuckerrüben (mit Biogas aus Schlempe, Braunkohle als Prozessbrennstoff in KWK-Anlage (*1)) | 1,6 | 1,6 |
Ethanol aus Mais (Erdgas als Prozessbrennstoff in konventioneller Anlage) | 1,6 | 1,6 |
Ethanol aus Mais (Erdgas als Prozessbrennstoff in KWK-Anlage (*1)) | 1,6 | 1,6 |
Ethanol aus Mais (Braunkohle als Prozessbrennstoff in KWK-Anlage (*1)) | 1,6 | 1,6 |
Ethanol aus Mais (forstwirtschaftliche Reststoffe als Prozessbrennstoff in KWK-Anlage (*1)) | 1,6 | 1,6 |
Ethanol aus anderen Getreiden, ohne Mais (Erdgas als Prozessbrennstoff in konventioneller Anlage) | 1,6 | 1,6 |
Ethanol aus anderen Getreiden, ohne Mais (Erdgas als Prozessbrennstoff in KWK-Anlage (*1)) | 1,6 | 1,6 |
Ethanol aus anderen Getreiden, ohne Mais (Braunkohle als Prozessbrennstoff in KWK-Anlage (*1)) | 1,6 | 1,6 |
Ethanol aus anderen Getreiden, ohne Mais (forstwirtschaftliche Reststoffe als Prozessbrennstoff in KWK-Anlage (*1)) | 1,6 | 1,6 |
Ethanol aus Zuckerrohr | 6,0 | 6,0 |
Ethyl-Tertiär-Butylether (ETBE), Anteil aus Ethanol aus erneuerbaren Quellen | Wird angesehen wie beim Produktionsweg für Ethanol | |
Tertiär-Amyl-Ethyl-Ether (TAEE), Anteil aus Ethanol aus erneuerbaren Quellen | Wird angesehen wie beim Produktionsweg für Ethanol | |
Biodiesel aus Raps | 1,3 | 1,3 |
Biodiesel aus Sonnenblumen | 1,3 | 1,3 |
Biodiesel aus Sojabohnen | 1,3 | 1,3 |
Biodiesel aus Palmöl (offenes Abwasserbecken) | 1,3 | 1,3 |
Biodiesel aus Palmöl (Verarbeitung mit Methanbindung an der Ölmühle) | 1,3 | 1,3 |
Biodiesel aus Altspeiseöl | 1,3 | 1,3 |
Biodiesel aus ausgelassenen tierischen Fetten (*2) | 1,3 | 1,3 |
Hydriertes Rapsöl | 1,2 | 1,2 |
Hydriertes Sonnenblumenöl | 1,2 | 1,2 |
Hydriertes Sojaöl | 1,2 | 1,2 |
Reines Palmöl (offenes Abwasserbecken) | 1,2 | 1,2 |
Hydriertes Palmöl (Verarbeitung mit Methanbindung an der Ölmühle) | 1,2 | 1,2 |
Hydriertes Altspeiseöl | 1,2 | 1,2 |
Hydrierte tierische Fette (*2) | 1,2 | 1,2 |
Reines Rapsöl | 0,8 | 0,8 |
Reines Sonnenblumenöl | 0,8 | 0,8 |
Reines Sojaöl | 0,8 | 0,8 |
Reines Palmöl (offenes Abwasserbecken) | 0,8 | 0,8 |
Reines Palmöl (Verarbeitung mit Methanbindung an der Ölmühle) | 0,8 | 0,8 |
Reines Altspeiseöl | 0,8 | 0,8 |
(*1) Standardwerte für KWK-Verfahren gelten nur, wenn die gesamte Prozesswärme durch KWK erzeugt wird. (*2) Hinweis: Gilt nur für Biokraftstoffe aus tierischen Nebenprodukten, die in der Verordnung (EG) Nr. 1069/2009 als Material der Kategorie 1 bzw. 2 eingestuft werden; in diesem Fall werden Emissionen im Zusammenhang mit der Entseuchung als Teil der Tierkörperverwertung nicht berücksichtigt. | ||
Insgesamt für Anbau, Verarbeitung, Transport und Vertrieb
Produktionsweg der Biokraftstoffe und flüssigen Biobrennstoffe | Treibhausgasemissionen — typischer Wert (gCO2eq/MJ) | Treibhausgasemissionen — Standardwert (gCO2eq/MJ) |
Ethanol aus Zuckerrüben (ohne Biogas aus Schlempe, Erdgas als Prozessbrennstoff in konventioneller Anlage) | 30,7 | 38,2 |
Ethanol aus Zuckerrüben (mit Biogas aus Schlempe, Erdgas als Prozessbrennstoff in konventioneller Anlage) | 21,6 | 25,5 |
Ethanol aus Zuckerrüben (ohne Biogas aus Schlempe, Erdgas als Prozessbrennstoff in KWK-Anlage (*1)) | 25,1 | 30,4 |
Ethanol aus Zuckerrüben (mit Biogas aus Schlempe, Erdgas als Prozessbrennstoff in KWK-Anlage (*1)) | 19,5 | 22,5 |
Ethanol aus Zuckerrüben (ohne Biogas aus Schlempe, Braunkohle als Prozessbrennstoff in KWK-Anlage (*1)) | 39,3 | 50,2 |
Ethanol aus Zuckerrüben (mit Biogas aus Schlempe, Braunkohle als Prozessbrennstoff in KWK-Anlage (*1)) | 27,6 | 33,9 |
Ethanol aus Mais (Erdgas als Prozessbrennstoff in konventioneller Anlage) | 48,5 | 56,8 |
Ethanol aus Mais (Erdgas als Prozessbrennstoff in KWK-Anlage (*1)) | 42,5 | 48,5 |
Ethanol aus Mais (Braunkohle als Prozessbrennstoff in KWK-Anlage (*1)) | 56,3 | 67,8 |
Ethanol aus Mais (forstwirtschaftliche Reststoffe als Prozessbrennstoff in KWK-Anlage (*1)) | 29,5 | 30,3 |
Ethanol aus anderen Getreiden, ohne Mais (Erdgas als Prozessbrennstoff in konventioneller Anlage) | 50,2 | 58,5 |
Ethanol aus anderen Getreiden, ohne Mais (Erdgas als Prozessbrennstoff in KWK-Anlage (*1)) | 44,3 | 50,3 |
Ethanol aus anderen Getreiden, ohne Mais (Braunkohle als Prozessbrennstoff in KWK-Anlage (*1)) | 59,5 | 71,7 |
Ethanol aus anderen Getreiden, ohne Mais (forstwirtschaftliche Reststoffe als Prozessbrennstoff in KWK-Anlage (*1)) | 30,7 | 31,4 |
Ethanol aus Zuckerrohr | 28,1 | 28,6 |
ETBE, Anteil aus erneuerbaren Quellen | Wie beim Produktionsweg für Ethanol | |
TAEE, Anteil aus erneuerbaren Quellen | Wie beim Produktionsweg für Ethanol | |
Biodiesel aus Raps | 45,5 | 50,1 |
Biodiesel aus Sonnenblumen | 40,0 | 44,7 |
Biodiesel aus Sojabohnen | 42,2 | 47,0 |
Biodiesel aus Palmöl (offenes Abwasserbecken) | 63,3 | 75,5 |
Biodiesel aus Palmöl (Verarbeitung mit Methanbindung an der Ölmühle) | 46,1 | 51,4 |
Biodiesel aus Altspeiseöl | 11,2 | 14,9 |
Biodiesel aus tierischen Fetten (*2) | 15,2 | 20,7 |
Hydriertes Rapsöl | 45,8 | 50,1 |
Hydriertes Sonnenblumenöl | 39,4 | 43,6 |
Hydriertes Sojaöl | 42,2 | 46,5 |
Hydriertes Palmöl (offenes Abwasserbecken) | 62,1 | 73,2 |
Hydriertes Palmöl (Verarbeitung mit Methanbindung an der Ölmühle) | 44,0 | 47,9 |
Hydriertes Altspeiseöl | 11,9 | 16,0 |
Hydrierte tierische Fette (*2) | 16,0 | 21,8 |
Reines Rapsöl | 38,5 | 40,0 |
Reines Sonnenblumenöl | 32,7 | 34,3 |
Reines Sojaöl | 35,2 | 36,9 |
Reines Palmöl (offenes Abwasserbecken) | 56,4 | 65,5 |
Reines Palmöl (Verarbeitung mit Methanbindung an der Ölmühle) | 38,5 | 40,3 |
Reines Altspeiseöl | 2,0 | 2,2 |
(*1) Standardwerte für KWK-Verfahren gelten nur, wenn die gesamte Prozesswärme durch KWK erzeugt wird. (*2) Hinweis: Gilt nur für Biokraftstoffe aus tierischen Nebenprodukten, die in der Verordnung (EG) Nr. 1069/2009 als Material der Kategorie 1 bzw. 2 eingestuft werden; in diesem Fall werden Emissionen im Zusammenhang mit der Entseuchung als Teil der Tierkörperverwertung nicht berücksichtigt. | ||
2. Disaggregierte Standardwerte für Biomethan
Biomethanproduktionssystem | Technologische Optionen | TYPISCHER WERT [gCO2eq/MJ] | STANDARDWERT [gCO2eq/MJ] | |||||||||||
Anbau | Verarbeitung | Aufbereitung | Transport | Kompression an der Tankstelle | Gutschrift für Mist-/Güllenutzung | Anbau | Verarbeitung | Aufbereitung | Transport | Kompression an der Tankstelle | Gutschrift für Mist-/ Güllenutzung | |||
Gülle | Offenes Gärrückstandslager | keine Abgasverbrennung | 0,0 | 84,2 | 19,5 | 1,0 | 3,3 | – 124,4 | 0,0 | 117,9 | 27,3 | 1,0 | 4,6 | – 124,4 |
Abgasverbrennung | 0,0 | 84,2 | 4,5 | 1,0 | 3,3 | – 124,4 | 0,0 | 117,9 | 6,3 | 1,0 | 4,6 | – 124,4 | ||
Geschlossenes Gärrückstandslager | keine Abgasverbrennung | 0,0 | 3,2 | 19,5 | 0,9 | 3,3 | – 111,9 | 0,0 | 4,4 | 27,3 | 0,9 | 4,6 | – 111,9 | |
Abgasverbrennung | 0,0 | 3,2 | 4,5 | 0,9 | 3,3 | – 111,9 | 0,0 | 4,4 | 6,3 | 0,9 | 4,6 | – 111,9 | ||
Mais, gesamte Pflanze | Offenes Gärrückstandslager | keine Abgasverbrennung | 18,1 | 20,1 | 19,5 | 0,0 | 3,3 | — | 18,1 | 28,1 | 27,3 | 0,0 | 4,6 | — |
Abgasverbrennung | 18,1 | 20,1 | 4,5 | 0,0 | 3,3 | — | 18,1 | 28,1 | 6,3 | 0,0 | 4,6 | — | ||
Geschlossenes Gärrückstandslager | keine Abgasverbrennung | 17,6 | 4,3 | 19,5 | 0,0 | 3,3 | — | 17,6 | 6,0 | 27,3 | 0,0 | 4,6 | — | |
Abgasverbrennung | 17,6 | 4,3 | 4,5 | 0,0 | 3,3 | — | 17,6 | 6,0 | 6,3 | 0,0 | 4,6 | — | ||
Bioabfall | Offenes Gärrückstandslager | keine Abgasverbrennung | 0,0 | 30,6 | 19,5 | 0,6 | 3,3 | — | 0,0 | 42,8 | 27,3 | 0,6 | 4,6 | — |
Abgasverbrennung | 0,0 | 30,6 | 4,5 | 0,6 | 3,3 | — | 0,0 | 42,8 | 6,3 | 0,6 | 4,6 | — | ||
Geschlossenes Gärrückstandslager | keine Abgasverbrennung | 0,0 | 5,1 | 19,5 | 0,5 | 3,3 | — | 0,0 | 7,2 | 27,3 | 0,5 | 4,6 | — | |
Abgasverbrennung | 0,0 | 5,1 | 4,5 | 0,5 | 3,3 | — | 0,0 | 7,2 | 6,3 | 0,5 | 4,6 | — | ||
Typische Werte und Standardwerte für Biomethan
Biomethanproduktionssystem | Technologische Optionen | Treibhausgas-emissionen — typischer Wert (gCO2eq/MJ) | Treibhausgas-emissionen — Standardwert (gCO2eq/MJ) |
Biomethan aus Gülle | Offenes Gärrückstandslager, keine Abgasverbrennung (1) | – 20 | 22 |
Offenes Gärrückstandslager, Abgasverbrennung (2) | – 35 | 1 | |
Geschlossenes Gärrück-standslager, keine Abgasverbrennung | – 88 | – 79 | |
Geschlossenes Gärrück-standslager, Abgasverbrennung | – 103 | – 100 | |
Biomethan aus Mais (gesamte Pflanze) | Offenes Gärrück-standslager, keine Abgasverbrennung | 58 | 73 |
Offenes Gärrück-standslager, Abgasverbrennung | 43 | 52 | |
Geschlossenes Gärrück-standslager, keine Abgasverbrennung | 41 | 51 | |
Geschlossenes Gärrück-standslager, Abgasverbrennung | 26 | 30 | |
Biomethan aus Bioabfall | Offenes Gärrück-standslager, keine Abgasverbrennung | 51 | 71 |
Offenes Gärrück-standslager, Abgasverbrennung | 36 | 50 | |
Geschlossenes Gärrück-standslager, keine Abgasverbrennung | 25 | 35 | |
Geschlossenes Gärrück-standslager, Abgasverbrennung | 10 | 14 | |
(1) Diese Kategorie umfasst die folgenden technologischen Kategorien zur Aufbereitung von Biogas zu Biomethan: Druckwechsel-Adsorption (Pressure Swing Adsorption — PSA), Druckwasserwäsche (Pressurised Water Scrubbing — PWS), Membrantrenntechnik, kryogene Trennung und physikalische Absorption mit einem organischen Lösungsmittel (Organic Physical Scrubbing — OPS). Dies schließt die Emission von 0,03 MJ CH4/MJ Biomethan für die Emission von Methan in den Abgasen ein. (2) Diese Kategorie umfasst die folgenden technologischen Kategorien zur Aufbereitung von Biogas zu Biomethan: Druckwasserwäsche (Pressurised Water Scrubbing — PWS), sofern das Wasser aufbereitet wird, Druckwechsel-Adsorption (Pressure Swing Adsorption — PSA), chemische Absorption (Chemical Scrubbing), physikalische Absorption mit einem organischen Lösungsmittel (Organic Physical Scrubbing — OPS), Membrantrenntechnik und kryogene Trennung. Für diese Kategorie werden keine Methanemissionen berücksichtigt (das Methan im Abgas verbrennt gegebenenfalls). | |||
Typische Werte und Standardwerte — Biomethan — Vermischung von Mist/Gülle und Mais: Treibhausgasemissionen mit Anteilsangaben auf Grundlage von Frischmasse
Biomethanproduktionssystem | Technologische Optionen | Typischer Wert | Standardwert |
(gCO2eq/MJ) | (gCO2eq/MJ) | ||
Mist/Gülle — Mais 80 % — 20 % | Offenes Gärrückstandslager, keine Abgasverbrennung | 32 | 57 |
Offenes Gärrückstandslager, Abgasverbrennung | 17 | 36 | |
Geschlossenes Gärrückstandslager, keine Abgasverbrennung | – 1 | 9 | |
Geschlossenes Gärrückstandslager, Abgasverbrennung | – 16 | – 12 | |
Mist/Gülle — Mais 70 % — 30 % | Offenes Gärrückstandslager, keine Abgasverbrennung | 41 | 62 |
Offenes Gärrückstandslager, Abgasverbrennung | 26 | 41 | |
Geschlossenes Gärrückstandslager, keine Abgasverbrennung | 13 | 22 | |
Geschlossenes Gärrückstandslager, Abgasverbrennung | – 2 | 1 | |
Mist/Gülle — Mais 60 % – 40 % | Offenes Gärrückstandslager, keine Abgasverbrennung | 46 | 66 |
Offenes Gärrückstandslager, Abgasverbrennung | 31 | 45 | |
Geschlossenes Gärrückstandslager, keine Abgasverbrennung | 22 | 31 | |
Geschlossenes Gärrückstandslager, Abgasverbrennung | 7 | 10 | |
Bei Biomethan, das in Form von komprimiertem Biomethan als Kraftstoff für den Verkehr verwendet wird, müssen zu den typischen Werten 3,3 gCO2eq/MJ Biomethan und zu den Standardwerten 4,6 gCO2eq/MJ Biomethan addiert werden.
- E. Geschätzte disaggregierte Standardwerte für künftige Biokraftstoffe, die im Januar 2016 nicht oder nur in vernachlässigbaren Mengen auf dem Markt waren
Disaggregierte Standardwerte für den Anbau: „eec“ gemäß Definition in Teil C dieses Anhangs einschließlich N2O- Emissionen (darunter Späne von Holzabfall oder Kulturholz)
Produktionsweg der Biokraftstoffe und flüssigen Biobrennstoffe | Treibhausgasemissionen — typischer Wert (gCO2eq/MJ) | Treibhausgasemissionen — Standardwert (gCO2eq/MJ) |
Ethanol aus Weizenstroh | 1,8 | 1,8 |
Fischer-Tropsch-Diesel aus Abfallholz in Einzelanlage | 3,3 | 3,3 |
Fischer-Tropsch-Diesel aus Kulturholz in Einzelanlage | 8,2 | 8,2 |
Fischer-Tropsch-Ottokraftstoff aus Abfallholz in Einzelanlage | 3,3 | 3,3 |
Fischer-Tropsch-Ottokraftstoff aus Kulturholz in Einzelanlage | 8,2 | 8,2 |
Dimethylether (DME) aus Abfallholz in Einzelanlage | 3,1 | 3,1 |
Dimethylether (DME) aus Kulturholz in Einzelanlage | 7,6 | 7,6 |
Methanol aus Abfallholz in Einzelanlage | 3,1 | 3,1 |
Methanol aus Kulturholz in Einzelanlage | 7,6 | 7,6 |
Fischer-Tropsch-Diesel aus der Vergasung von Schwarzlauge, integriert in Zellstofffabrik | 2,5 | 2,5 |
Fischer-Tropsch-Ottokraftstoff aus der Vergasung von Schwarzlauge, integriert in Zellstofffabrik | 2,5 | 2,5 |
Dimethylether (DME) aus der Vergasung von Schwarzlauge, integriert in Zellstofffabrik | 2,5 | 2,5 |
Methanol aus der Vergasung von Schwarzlauge, integriert in Zellstofffabrik | 2,5 | 2,5 |
MTBE, Anteil aus erneuerbaren Quellen | Wie beim Produktionsweg für Methanol | |
Disaggregierte Standardwerte für N2O-Bodenemissionen (diese sind bereits in den disaggregierten Werten in Tabelle „eec“ für Emissionen aus dem Anbau enthalten)
Produktionsweg der Biokraftstoffe und flüssigen Biobrennstoffe | Treibhausgasemissionen — typischer Wert (gCO2eq/MJ) | Treibhausgasemissionen — Standardwert (gCO2eq/MJ) |
Ethanol aus Weizenstroh | 0 | 0 |
Fischer-Tropsch-Diesel aus Abfallholz in Einzelanlage | 0 | 0 |
Fischer-Tropsch-Diesel aus Kulturholz in Einzelanlage | 4,4 | 4,4 |
Fischer-Tropsch-Ottokraftstoff aus Abfallholz in Einzelanlage | 0 | 0 |
Fischer-Tropsch-Ottokraftstoff aus Kulturholz in Einzelanlage | 4,4 | 4,4 |
Dimethylether (DME) aus Abfallholz in Einzelanlage | 0 | 0 |
Dimethylether (DME) aus Kulturholz in Einzelanlage | 4,1 | 4,1 |
Methanol aus Abfallholz in Einzelanlage | 0 | 0 |
Methanol aus Kulturholz in Einzelanlage | 4,1 | 4,1 |
Fischer-Tropsch-Diesel aus der Vergasung von Schwarzlauge, integriert in Zellstofffabrik | 0 | 0 |
Fischer-Tropsch-Ottokraftstoff aus der Vergasung von Schwarzlauge, integriert in Zellstofffabrik | 0 | 0 |
Dimethylether (DME) aus der Vergasung von Schwarzlauge, integriert in Zellstofffabrik | 0 | 0 |
Methanol aus der Vergasung von Schwarzlauge, integriert in Zellstofffabrik | 0 | 0 |
MTBE, Anteil aus erneuerbaren Quellen | Wie beim Produktionsweg für Methanol | |
Disaggregierte Standardwerte für die Verarbeitung: „ep“ gemäß Definition in Teil C dieses Anhangs
Produktionsweg der Biokraftstoffe und flüssigen Biobrennstoffe | Treibhausgasemissionen — typischer Wert (gCO2eq/MJ) | Treibhausgasemissionen — Standardwert (gCO2eq/MJ) |
Ethanol aus Weizenstroh | 4,8 | 6,8 |
Fischer-Tropsch-Diesel aus Abfallholz in Einzelanlage | 0,1 | 0,1 |
Fischer-Tropsch-Diesel aus Kulturholz in Einzelanlage | 0,1 | 0,1 |
Fischer-Tropsch-Ottokraftstoff aus Abfallholz in Einzelanlage | 0,1 | 0,1 |
Fischer-Tropsch-Ottokraftstoff aus Kulturholz in Einzelanlage | 0,1 | 0,1 |
Dimethylether (DME) aus Abfallholz in Einzelanlage | 0 | 0 |
Dimethylether (DME) aus Kulturholz in Einzelanlage | 0 | 0 |
Methanol aus Abfallholz in Einzelanlage | 0 | 0 |
Methanol aus Kulturholz in Einzelanlage | 0 | 0 |
Fischer-Tropsch-Diesel aus der Vergasung von Schwarzlauge, integriert in Zellstofffabrik | 0 | 0 |
Fischer-Tropsch-Ottokraftstoff aus der Vergasung von Schwarzlauge, integriert in Zellstofffabrik | 0 | 0 |
Dimethylether (DME) aus der Vergasung von Schwarzlauge, integriert in Zellstofffabrik | 0 | 0 |
Methanol aus der Vergasung von Schwarzlauge, integriert in Zellstofffabrik | 0 | 0 |
MTBE, Anteil aus erneuerbaren Quellen | Wie beim Produktionsweg für Methanol | |
Disaggregierte Standardwerte für den Transport und Vertrieb: „etd“ gemäß Definition in Teil C dieses Anhangs
Produktionsweg der Biokraftstoffe und flüssigen Biobrennstoffe | Treibhausgasemissionen — typischer Wert (gCO2eq/MJ) | Treibhausgasemissionen — Standardwert (gCO2eq/MJ) |
Ethanol aus Weizenstroh | 7,1 | 7,1 |
Fischer-Tropsch-Diesel aus Abfallholz in Einzelanlage | 12,2 | 12,2 |
Fischer-Tropsch-Diesel aus Kulturholz in Einzelanlage | 8,4 | 8,4 |
Fischer-Tropsch-Ottokraftstoff aus Abfallholz in Einzelanlage | 12,2 | 12,2 |
Fischer-Tropsch-Ottokraftstoff aus Kulturholz in Einzelanlage | 8,4 | 8,4 |
Dimethylether (DME) aus Abfallholz in Einzelanlage | 12,1 | 12,1 |
Dimethylether (DME) aus Kulturholz in Einzelanlage | 8,6 | 8,6 |
Methanol aus Abfallholz in Einzelanlage | 12,1 | 12,1 |
Methanol aus Kulturholz in Einzelanlage | 8,6 | 8,6 |
Fischer-Tropsch-Diesel aus der Vergasung von Schwarzlauge, integriert in Zellstofffabrik | 7,7 | 7,7 |
Fischer-Tropsch-Ottokraftstoff aus der Vergasung von Schwarzlauge, integriert in Zellstofffabrik | 7,9 | 7,9 |
Dimethylether (DME) aus der Vergasung von Schwarzlauge, integriert in Zellstofffabrik | 7,7 | 7,7 |
Methanol aus der Vergasung von Schwarzlauge, integriert in Zellstofffabrik | 7,9 | 7,9 |
MTBE, Anteil aus erneuerbaren Quellen | Wie beim Produktionsweg für Methanol | |
Disaggregierte Standardwerte nur für den Transport und Vertrieb des fertigen Brennstoffs. Diese sind bereits in der Tabelle als Emissionen bei Transport und Vertrieb „etd“ gemäß Definition in Teil C dieses Anhangs enthalten; die folgenden Werte können jedoch hilfreich sein, wenn ein Wirtschaftsteilnehmer die tatsächlichen Transportemissionen nur für den Rohstofftransport angeben will.
Produktionsweg der Biokraftstoffe und flüssigen Biobrennstoffe | Treibhausgasemissionen — typischer Wert (gCO2eq/MJ) | Treibhausgasemissionen — Standardwert (gCO2eq/MJ) |
Ethanol aus Weizenstroh | 1,6 | 1,6 |
Fischer-Tropsch-Diesel aus Abfallholz in Einzelanlage | 1,2 | 1,2 |
Fischer-Tropsch-Diesel aus Kulturholz in Einzelanlage | 1,2 | 1,2 |
Fischer-Tropsch-Ottokraftstoff aus Abfallholz in Einzelanlage | 1,2 | 1,2 |
Fischer-Tropsch-Ottokraftstoff aus Kulturholz in Einzelanlage | 1,2 | 1,2 |
Dimethylether (DME) aus Abfallholz in Einzelanlage | 2,0 | 2,0 |
Dimethylether (DME) aus Kulturholz in Einzelanlage | 2,0 | 2,0 |
Methanol aus Abfallholz in Einzelanlage | 2,0 | 2,0 |
Methanol aus Kulturholz in Einzelanlage | 2,0 | 2,0 |
Fischer-Tropsch-Diesel aus der Vergasung von Schwarzlauge, integriert in Zellstofffabrik | 2,0 | 2,0 |
Fischer-Tropsch-Ottokraftstoff aus der Vergasung von Schwarzlauge, integriert in Zellstofffabrik | 2,0 | 2,0 |
Dimethylether (DME) aus der Vergasung von Schwarzlauge, integriert in Zellstofffabrik | 2,0 | 2,0 |
Methanol aus der Vergasung von Schwarzlauge, integriert in Zellstofffabrik | 2,0 | 2,0 |
MTBE, Anteil aus erneuerbaren Quellen | Wie beim Produktionsweg für Methanol | |
Insgesamt für Anbau, Verarbeitung, Transport und Vertrieb
Produktionsweg der Biokraftstoffe und flüssigen Biobrennstoffe | Treibhausgasemissionen — typischer Wert (gCO2eq/MJ) | Treibhausgasemissionen — Standardwert (gCO2eq/MJ) |
Ethanol aus Weizenstroh | 13,7 | 15,7 |
Fischer-Tropsch-Diesel aus Abfallholz in Einzelanlage | 15,6 | 15,6 |
Fischer-Tropsch-Diesel aus Kulturholz in Einzelanlage | 16,7 | 16,7 |
Fischer-Tropsch-Ottokraftstoff aus Abfallholz in Einzelanlage | 15,6 | 15,6 |
Fischer-Tropsch-Ottokraftstoff aus Kulturholz in Einzelanlage | 16,7 | 16,7 |
Dimethylether (DME) aus Abfallholz in Einzelanlage | 15,2 | 15,2 |
Dimethylether (DME) aus Kulturholz in Einzelanlage | 16,2 | 16,2 |
Methanol aus Abfallholz in Einzelanlage | 15,2 | 15,2 |
Methanol aus Kulturholz in Einzelanlage | 16,2 | 16,2 |
Fischer-Tropsch-Diesel aus der Vergasung von Schwarzlauge, integriert in Zellstofffabrik | 10,2 | 10,2 |
Fischer-Tropsch-Ottokraftstoff aus der Vergasung von Schwarzlauge, integriert in Zellstofffabrik | 10,4 | 10,4 |
Dimethylether (DME) aus der Vergasung von Schwarzlauge, integriert in Zellstofffabrik | 10,2 | 10,2 |
Methanol aus der Vergasung von Schwarzlauge, integriert in Zellstofffabrik | 10,4 | 10,4 |
MTBE, Anteil aus erneuerbaren Quellen | Wie beim Produktionsweg für Methanol | |
Schlagworte
Abersetzung, Lebensmittel, Kraftstoff, Standardtreibhausemission, Standardtreibhausgasemission
Zuletzt aktualisiert am
14.12.2022
Gesetzesnummer
20008075
Dokumentnummer
NOR40248949
Lizenziert vom RIS (ris.bka.gv.at - CC BY 4.0 DEED)
