§ 20.
(1) Bei Therapiebecken ist der Förderstrom wie folgt zu berechnen:
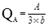
entspricht QA = A
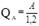
- 2. beim Aufbereitungsverfahren gemäß § 14 Z 2 lit. a nach der Formel:
entspricht
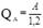
(2) Für die Personengruppe „inkontinent“ oder „erhöht infektionsgefährdet (z. B. immunsupprimiert)“ ist nur das Aufbereitungsverfahren gemäß § 14 Z 2 lit. a zulässig und nach folgender Formel zu berechnen:
entspricht
Das gesamte Beckenwasservolumen muss jedoch mindestens ein Mal pro Stunde umgewälzt werden.
(3) Der Förderstrom eines Therapiebeckens muss ≥ 16 m³/h betragen.
Zuletzt aktualisiert am
13.05.2026
Gesetzesnummer
20008002
Dokumentnummer
NOR40277719
Lizenziert vom RIS (ris.bka.gv.at - CC BY 4.0 DEED)
