vorheriges Dokument
nächstes Dokument

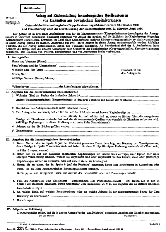
Anlage Doppelbesteuerung – Vereinbarung über die Durchführung der Rückerstattung der im Abzugswege an der Quelle erhobenen Steuern von Einkünften aus beweglichem Kapitalvermögen (Luxemburg)

Aktuelle FassungIn Kraft seit 11.7.1964

Anlage

Zuletzt aktualisiert am

26.05.2023

Gesetzesnummer

10003975

Dokumentnummer

NOR12044588

alte Dokumentnummer

N3196435853J

Lizenziert vom RIS (ris.bka.gv.at - CC BY 4.0 DEED)